一级免费视频 孔闆差壓式流量計測量水蒸氣誤差-江蘇省速惠自动化制造有限公司

 

                 
         公(gong)司簡介  産(chan)品中心  銷(xiao)售網絡  聯(lian)系我們
 
  流(liu)量儀表系(xi)列
  校驗儀(yi)表系列
  變送器(qi)儀表系列(lie)
  電線電纜(lan)系列
 
  電磁(ci)流量🏃🏻‍♂️一级免费视频🈲計的(de)工作原理(li)
  氧化锆氧(yang)傳感器的(de)原理及應(ying)用
  有害氣(qi)體檢測報(bao)警儀選用(yong)原則
  我國(guo)計量用儀(yi)器儀表的(de)發展和現(xian)狀
國内儀(yi)器儀表行(hang)業将發生(sheng)高科....
  西安(an)交大研制(zhi)出超高溫(wen)沖擊壓....
  采(cai)用半導體(ti)精密溫度(du)傳感......
  智能(neng)溫度傳感(gan)器的發展(zhan)趨勢
簡述(shu)幾種氣體(ti)檢測傳感(gan)器.....
  利用傳(chuan)感器技術(shu)制造智能(neng)服裝
 
   
 
聯系方(fang)式
  電話(市(shi)場部):  
      
      
   (拓展(zhan)部):
     傳真:
  節(jie)假日商務(wu)聯系電話(hua):
  何經理:
  劉(liu)經理:
 網址:/
    http://banyunshe.cc/
 E-mail:[email protected]
     [email protected]
 地址(zhi):江蘇省金(jin)湖縣工業(ye)園區環城(cheng)西
 路269号
 您(nin)現在的位(wei)置 > 首頁 > 行(hang)業新聞 > 孔(kong)闆差壓式(shi)流量計測(ce)量水蒸氣(qi)誤差
  時間(jian):2025-11-27 08:39:55

孔闆差壓(ya)式流量計(ji)測量水蒸(zheng)氣誤差

摘(zhai)要:介紹了(le)孔闆差壓(ya)式流量計(ji) 測量水蒸(zheng)氣的工作(zuo)原理,對導(dao)緻孔闆差(cha)壓式流量(liang)計産生測(ce)量🐪誤差的(de)各種内、外(wai)因素進行(hang)了分析,并(bing)闡述了相(xiang)應的校正(zheng)㊙️補償方法(fa),爲今後孔(kong)闆差壓式(shi)流量計💚的(de)設計🔞和使(shi)用提供了(le)借鑒。
  目前(qian),國内外用(yong)于水蒸氣(qi)流量測量(liang)的儀表主(zhu)要包括: 孔(kong)闆流量計(ji) 渦街流量(liang)計 轉子流(liu)量計 和彎(wan)管流量計(ji)等儀表。其(qi)中,孔闆差(cha)壓式流量(liang)計是國内(nei)🙇‍♀️外得以研(yan)究、試驗數(shu)據完善、實(shi)踐經驗豐(feng)富、标🈲準化(hua)程度的流(liu)量計,因其(qi)結構簡單(dan)、制造成本(ben)較低、性能(neng)比較穩定(ding)、使用壽命(ming)較長且已(yi)标準化,因(yin)而在工業(ye)上得到了(le)廣泛的應(ying)用。孔闆流(liu)量計🤩由節(jie)流裝💘置、一(yi)定長度的(de)直管段、引(yin)壓管、 差壓(ya)變送器 壓(ya)力變送器(qi) 溫度變送(song)器 和流量(liang)計算機等(deng)組成。在使(shi)用過程中(zhong),盡可能地(di)減😍小流🤞量(liang)測量誤差(cha),降低水蒸(zheng)氣人爲損(sun)耗,對企業(ye)的生産經(jing)營具有重(zhong)要的意義(yi)。
1孔闆工作(zuo)原理及誤(wu)差補償方(fang)法
1.1孔闆式(shi)流計的工(gong)作原理
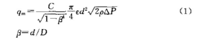
  孔(kong)闆式流量(liang)計采用差(cha)壓式測量(liang)方法對流(liu)量進行測(ce)量,即在管(guan)道内裝入(ru)節流元件(jian)一孔闆。當(dang)水蒸氣流(liu)過孔闆🚶時(shi),流體速度(du)增大,壓力(li)減小,于是(shi)在孔闆的(de)前後産生(sheng)差壓,利用(yong)📧具有-定設(she)計尺🏃🏻寸的(de)孔闆測量(liang)水蒸氣流(liu)量,在保證(zheng)孔闆前後(hou)有足夠的(de)直管段🚶‍♀️等(deng)條件下,孔(kong)闆前後的(de)差壓将随(sui)流量的變(bian)化而變化(hua),且兩者具(ju)有确定的(de)關系,因🛀此(ci)可以通過(guo)測量差壓(ya)得到水蒸(zheng)氣的流量(liang)「。根據國标(biao)GB/T26241993,對于标準(zhun)節流裝🔞置(zhi),差壓△P與流(liu)量qm的函數(shu)關系爲:
 
  式(shi)中:qm爲質量(liang)流量,kg/s;C爲流(liu)出系數;D爲(wei)管道内徑(jing),m;ε爲節流件(jian)正端取壓(ya)口平面上(shang)的氣體膨(peng)脹系數;d爲(wei)工作條件(jian)下節流件(jian)的開孔直(zhi)徑,m;ρ爲節流(liu)件人口端(duan)流體密度(du),kg/m³.
1.2流出系數(shu)C的補償
  流(liu)出系數C是(shi)表征孔闆(pan)節流裝置(zhi)特性的主(zhu)要參數,是(shi)💋雷諾數Re和(he)β的函數,它(ta)是一個随(sui)流量變化(hua)的量,其值(zhi)随㊙️Re的增大(da)而🏒減小,當(dang)Re大于一定(ding)值趨向無(wu)窮大時,C趨(qu)向于❤️常數(shu)Ck,而孔徑比(bi)β越大,C的變(bian)化幅⚽度也(ye)越大,使C趨(qu)向于常數(shu)Ck的Re也越大(da),C與β和Re之間(jian)的定量🐇關(guan)系爲:
 
  對于(yu)給定的标(biao)準孔闆,當(dang)β爲常數時(shi),C僅是Re的函(han)數C=f(Re)。在公式(shi)(1)中💛,将C用公(gong)式(2)而不是(shi)一個常數(shu)來代替,可(ke)提高計量(liang)的精度。
1.3水(shui)蒸氣膨脹(zhang)系數ε的補(bu)償
  差壓式(shi)流量計在(zai)用來測氣(qi)體和蒸氣(qi)流量時,流(liu)體流過節(jie)流🙇‍♀️裝置在(zai)節流件兩(liang)邊都要産(chan)生--定的差(cha)壓,在節流(liu)件的下遊(you)靜壓降低(di),将出現流(liu)束膨脹,流(liu)束的這種(zhong)膨脹使得(de)節流裝置(zhi)的輸出(差(cha)壓)一輸人(ren)(流量)關系(xi)同👨‍❤️‍👨不可壓(ya)縮🚶‍♀️流體之(zhi)間的偏差(cha)。如果不對(dui)這種偏差(cha)進行校正(zheng),将會導🙇🏻緻(zhi)流量示值(zhi)偏高千分(fen)之幾到百(bai)分之⁉️幾,尤(you)其是流量(liang)在較大範(fan)圍内變化(hua)時,産生的(de)誤差會更(geng)大,因此更(geng)有必要對(dui)其進行修(xiu)正。
1.4孔闆流(liu)計變更量(liang)t程後的修(xiu)正
  盡管改(gai)變差壓變(bian)送器的差(cha)壓範圍是(shi)非常容易(yi)的事,但不(bu)能隻對差(cha)壓範圍做(zuo)調整就萬(wan)事大吉。這(zhe)是因爲孔(kong)闆🏃🏻流量計(ji)量程變🥵更(geng)後,管道中(zhong)的常用流(liu)速等參數(shu)将發生變(bian)化,流出系(xi)數🛀🏻也相應(ying)有所變化(hua),因此需從(cong)已知節流(liu)裝置數據(ju)(從節流裝(zhuang)置計算書(shu)查🐆得)和其(qi)他有關流(liu)量數據(如(ru):變更後的(de)流量上限(xian)及常用流(liu)量)計算出(chu)新的差壓(ya)上限。實踐(jian)證明,若量(liang)程縮小後(hou),C和ε均增大(da)💯,相應的質(zhi)量流量會(hui)偏大。
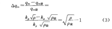
1.5密度(du)ρ的補償
  在(zai)其他參數(shu)不變的情(qing)況下,qm與ρ之(zhi)間的關系(xi)爲:qm≈k,√ρ。可以看(kan)出,水蒸氣(qi)的流量與(yu)其密度的(de)平方根成(cheng)正比關系(xi)。水蒸氣是(shi)可壓縮性(xing)氣體,當其(qi)壓力、溫度(du)變化時,其(qi)密度✔️将發(fa)生明顯變(bian)化,這将引(yin)起流量很(hen)大的誤🤟差(cha)。實際流體(ti)狀态(壓力(li)、溫度)與🈲流(liu)量計設計(ji)時的狀态(tai)(壓力、溫度(du))偏離造成(cheng)的🍉相對誤(wu)差可由公(gong)式(3)表示🏃🏻‍♂️:
 
  假(jia)如設計孔(kong)闆流量計(ji)時是按照(zhao)1MPa和285℃所對應(ying)的過熱水(shui)蒸氣密度(du)ρ=4.374kg/m³設計的,則(ze)密度的變(bian)化造成的(de)測量誤差(cha)可能很大(da),當壓力大(da)且溫度低(di)時,測量值(zhi)偏大;當壓(ya)力低且溫(wen)度高時,測(ce)❗量值偏小(xiao)。水蒸氣的(de)實際狀态(tai)偏離孔闆(pan)實際狀态(tai)越嚴重,所(suo)引起的誤(wu)差越大。要(yao)補償密度(du)變化所引(yin)起的這種(zhong)誤差,就不(bu)能将公☔式(shi)(1)中的ρ以設(she)🔞計工況下(xia)的密度來(lai)代入,需要(yao)将🐇ρ看作🏒壓(ya)力和溫度(du)的函數,即(ji)ρ=f(P,t)。這也就是(shi)一般 智能(neng)流量積算(suan)儀 均要對(dui)過熱蒸汽(qi)進行壓力(li)溫度補償(chang)的原因。
1.6孔(kong)闆内徑d和(he)管徑D的誤(wu)差補償
  測(ce)量水蒸氣(qi)流量時,如(ru)果設計工(gong)況爲200℃,孔闆(pan)内徑爲d,則(ze)孔㊙️闆内徑(jing)🧡在實際工(gong)作狀态下(xia)的修正公(gong)式爲:
 
  實際(ji)上d和D偏離(li)設計值造(zao)成的後果(guo)就是流量(liang)測量系統(tong)的滿度值(zhi)發生了變(bian)化,如果将(jiang)d和D的實際(ji)值測量出(chu)來,代人公(gong)❓式計算出(chu)與此實際(ji)值相對應(ying)的流量滿(man)度值,然後(hou)用新的滿(man)度值🍉代替(ti)原設計值(zhi),置人流量(liang)顯示儀表(biao),則系統運(yun)行後,尺寸(cun)誤差對測(ce)量系統的(de)影響就能(neng)得到完全(quan)的校正,這(zhe)也就是每(mei)台流量計(ji)在投人📞使(shi)用前進行(hang)修正計算(suan)的主要工(gong)作。
2常見誤(wu)差原因分(fen)析
2.1實際工(gong)作狀态引(yin)起的誤差(cha)
  标準孔闆(pan)是按照特(te)定的已知(zhi)條件進行(hang)設計的,但(dan)在⭕工作過(guo)程中,被測(ce)量介質的(de)各種參數(shu)(如溫度、密(mi)度、壓力、黏(nian)度等)與标(biao)準孔闆的(de)額定數值(zhi)有所不同(tong)。如在常溫(wen)附近時,若(ruo)被測量介(jie)質爲氣體(ti),溫度每變(bian)😘化10℃,氣體的(de)密度則變(bian)化3%左右;在(zai)1個大氣壓(ya)下,被測氣(qi)🐉體壓力每(mei)變化10Pa,密度(du)則變化10%左(zuo)右。所以在(zai)用标準孔(kong)闆測量氣(qi)體時,必須(xu)考慮氣體(ti)溫度和壓(ya)力的變化(hua),以進行适(shi)💚當的修正(zheng)。
2.2安裝不正(zheng)确引起的(de)誤差
  對于(yu)标準孔闆(pan),爲了保證(zheng)被測量介(jie)質流量的(de)精度,标🍓準(zhun)孔闆一🈲定(ding)要按規定(ding)要求進行(hang)正确安裝(zhuang),否則💃🏻将會(hui)産生一定(ding)的測量誤(wu)差。
(1)孔闆的(de)銳面應迎(ying)着流體的(de)方向,以确(que)保孔闆的(de)方🌈向安🌈裝(zhuang)🙇🏻正确。
(2)孔闆(pan)的前端面(mian)與管段軸(zhou)線應保證(zheng)垂直,最大(da)傾斜度應(ying)小于🏒1度。
(3)若(ruo)工作環境(jing)的測量精(jing)度要求較(jiao)高,爲了提(ti)高測量的(de)🌈精度,建議(yi)标準孔闆(pan)前後的直(zhi)管段應盡(jin)量采用标(biao)準直管段(duan),然後再與(yu)主管道聯(lian)接。
(4)新安裝(zhuang)的管道在(zai)安裝孔闆(pan)前,應對管(guan)道進行沖(chong)洗和掃㊙️線(xian)操作,從而(er)避免掃線(xian)時損傷孔(kong)闆的銳面(mian),且管道内(nei)的雜物在(zai)孔闆前後(hou)堆積也會(hui)降低測量(liang)的❤️精度。
(5)孔(kong)闆在使用(yong)過程中,由(you)于受被測(ce)量介質溫(wen)度的影響(xiang),其自身會(hui)産生線膨(peng)脹,爲了保(bao)證其端面(mian)的平面度(du)和對軸💜線(xian)垂直度,在(zai)安裝過程(cheng)中,要考慮(lü)其工作📐過(guo)程時的自(zi)由伸縮性(xing)。
(6)孔闆的密(mi)封墊片不(bu)能伸人管(guan)道中,應盡(jin)量薄,一般(ban)厚度應小(xiao)于0.03D。
2.3孔闆入(ru)口邊緣磨(mo)損引起的(de)誤差
  标準(zhun)孔闆在使(shi)用過程中(zhong),被測量介(jie)質對孔闆(pan)的沖刷腐(fu)蝕往往會(hui)造成測量(liang)裝置的幾(ji)何形狀和(he)尺寸産生(sheng)不同程度(du)💛的變化。長(zhang)期使用後(hou),孔闆邊緣(yuan)的銳角會(hui)變鈍,在相(xiang)同體積的(de)被測量介(jie)質經過時(shi)所産生的(de)壓差△p将變(bian)小,标準孔(kong)闆的🧑🏾‍🤝‍🧑🏼示值(zhi)會偏低,從(cong)而引起測(ce)量誤差,爲(wei)了保證測(ce)量的精度(du),應定期對(dui)孔闆🥵進行(hang)校驗、清💜洗(xi),以減小對(dui)孔闆的沖(chong)蝕和污物(wu)🏃堆積。
2.4引壓(ya)管路安裝(zhuang)不當引起(qi)的測量誤(wu)差
  引壓管(guan)路應垂直(zhi)或傾斜安(an)裝,其傾斜(xie)度應大于(yu)1;12.在引壓管(guan)路🈲的安裝(zhuang)過程中,應(ying)保證彎曲(qu)處圓滑過(guo)渡,彎曲半(ban)徑應大于(yu)引壓管外(wai)徑的5倍,在(zai)測量不同(tong)的❌介質時(shi),引壓管的(de)長度和内(nei)徑要符合(he)安裝規定(ding)的要求。
2.5引(yin)壓管路堵(du)塞引起的(de)測量誤差(cha)
  标準孔闆(pan)在使用過(guo)程中,要保(bao)證其引壓(ya)管暢通,避(bi)免堵塞🛀🏻,放(fang)空閥、三閥(fa)組、腰式法(fa)蘭及連接(jie)件的密封(feng)性能應保(bao)證處于良(liang)好狀态,不(bu)能有洩漏(lou)。爲了減少(shao)🌈此類誤差(cha),平時💛應加(jia)強管理,提(ti)高操作人(ren)員的素質(zhi),在使用過(guo)✂️程中,操作(zuo)人員應做(zuo)好系統的(de)檢修、維護(hu)和保養工(gong)作,延長其(qi)使用🙇‍♀️壽命(ming),從而減小(xiao)測量誤差(cha)的産生。
3結(jie)語
  使用孔(kong)闆差壓式(shi)流量計測(ce)量水蒸氣(qi)的流量涉(she)及一🚶系列(lie)的問題,包(bao)括檢測裝(zhuang)置、顯示裝(zhuang)置、前後直(zhi)管段以及(ji)輔助設備(bei)等,要保證(zheng)水蒸氣流(liu)量測量的(de)精确度,必(bi)🌈須做到合(he)理選型,正(zheng)确安裝與(yu)調試,及時(shi)維護與保(bao)養,并對測(ce)量部分可(ke)能引人的(de)誤差進行(hang)适當的補(bu)償和校正(zheng)。因爲在🤞使(shi)用過程中(zhong)🆚,當流量和(he)壓🌈力波動(dong)較大時🔞,從(cong)流量系數(shu)與流束膨(peng)脹系數所(suo)引人的系(xi)統誤差較(jiao)大,另外孔(kong)闆長期運(yun)行後銳角(jiao)會變鈍、幾(ji)何尺寸會(hui)發🌈生變化(hua),系統的測(ce)量精度就(jiu)會下降,有(you)時甚至無(wu)法進行正(zheng)常測量,所(suo)以平時應(ying)加✊強管理(li),盡量減小(xiao)測量誤♻️差(cha)的産生。

本(ben)文來源于(yu)網絡,如有(you)侵權聯系(xi)即删除!


下(xia)篇文章: 用(yong)于多電極(ji)電磁流量(liang)計的速度(du)重構 上篇(pian)文章: 溫度(du)對氣體渦(wo)輪流量計(ji)的影響分(fen)析
 
江蘇省(sheng)速惠自动化制造有限公司是一家專(zhuan)業提供 渦(wo)街流量計(ji) 渦輪流量(liang)計 電磁流(liu)量計 的企(qi)業,公司将(jiang)以優質的(de)服務優惠(hui)的價格,服(fu)務新老客(ke)戶。
 版權所(suo)有:江蘇省(sheng)速惠自动化制造有限公司       技術支持(chi)易品網絡(luo)

·
·
·