亚洲黄色片 金屬管浮子流量計測量精度與保證措施-江蘇省速惠自动化制造有限公司
;              
                 
        首(shou)   頁│  公司(si)簡介  産(chan)品中心(xin)  質量體(ti)系  銷售(shou)網絡  聯(lian)系我們(men)
   

金(jin)屬管浮(fu)子流量(liang)計精度(du)保證措(cuo)施
發布(bu)時間:2020-4-22 08:24:09

摘(zhai)要:介紹(shao)了 浮子(zi)流量計(ji) 精度的(de)定義方(fang)法,在選(xuan)用該系(xi)列産品(pin)時有關(guan)精度方(fang)㊙️面的注(zhu)意事項(xiang)和在應(ying).用該産(chan)品時如(ru)何實現(xian)相應的(de)測量精(jing)度。
1. 簡述(shu)
  由于金(jin)屬管浮(fu)子流量(liang)計 的堅(jian)固可靠(kao)、測量穩(wen)定,并與(yu)測量介(jie)質的介(jie)電常數(shu)✊無關💜,同(tong)🌈時😘由于(yu)可以采(cai)用多種(zhong)耐腐蝕(shi)材料制(zhi)造測量(liang)傳感器(qi)等特點(dian),因✌️此,這(zhe)種産品(pin)可以廣(guang)泛應用(yong)于高溫(wen)、高壓或(huo)腐👈蝕性(xing)介質以(yi)及氣體(ti)和蒸汽(qi)的測量(liang)。
  但是,基(ji)于測量(liang)原理上(shang)的特點(dian),流量刻(ke)度與介(jie).質密度(du)和粘度(du)☔有關,實(shi)際應用(yong)過程中(zhong)介質條(tiao)件的變(bian)化又經(jing)常發生(sheng),因而實(shi)🈲際使用(yong)浮子流(liu)量計時(shi),如何保(bao)證測量(liang)精度的(de)準确就(jiu)♋顯得十(shi)分重要(yao)。
2. 測量原(yuan)理
  如圖(tu)1所示,相(xiang)對應測(ce)量介質(zhi)的某一(yi)流量,磁(ci).性浮子(zi)在🈲測量(liang)管中對(dui)應一個(ge)浮子位(wei)置,這個(ge)浮子位(wei)置通💞過(guo)指⛷️示器(qi)中的經(jing)過精密(mi)充磁的(de)磁耦合(he)系統帶(dai)動指針(zhen),由刻度(du)盤和指(zhi)針讀出(chu)相應的(de)流🌍量值(zhi)。
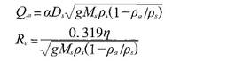
根據VDI/VDE3513 标(biao)準,浮子(zi)流量計(ji)流量計(ji)算公式(shi):


式中:Qm爲(wei)介質的(de)質量流(liu)量;
a爲與(yu)浮子形(xing)狀、介質(zhi)粘度有(you)關的系(xi)數;
Ds爲浮(fu)子直徑(jing);
Ms爲浮子(zi)質量;
g爲(wei)重力加(jia)速度;
ρa爲(wei)介質密(mi)度;
ρs爲浮(fu)子密度(du);
η爲介質(zhi)粘度。
由(you)公式可(ke)以看出(chu),流量刻(ke)度與介(jie)質密度(du)、浮子密(mi)度成比(bi)例,與介(jie)質粘度(du)有關。
3浮(fu)子流量(liang)計精度(du)的定義(yi)
  目前,在(zai)國内金(jin)屬管浮(fu)子流量(liang)計的市(shi)場上,有(you)兩種🐅定(ding)義💛精度(du)的方式(shi)。.
  一種是(shi)采用國(guo)家行業(ye)标準JB/T6844- 1993的(de)定義方(fang)式。在這(zhe)種方式(shi)中規定(ding)浮子流(liu)量計的(de)基本誤(wu)差如表(biao)1所示。

另(ling)外一種(zhong)是采用(yong)德國工(gong)程師學(xue)會VDI/VDE3513的定(ding)義方式(shi)。在這種(zhong)⛱️方式✉️中(zhong)規定:
E,= (I/4E+3/4F ) xK/100
式(shi)中: E. 爲流(liu)量測量(liang)點絕對(dui)誤差;
E爲(wei)測量點(dian)流量;
F爲(wei)流量計(ji)滿度流(liu)量;
K爲精(jing)度等級(ji)。
由以上(shang)定義可(ke)以看出(chu):
(1)兩種定(ding)義的方(fang)式不同(tong)。在VDI/VDE标準(zhun)中,給出(chu)的各個(ge)測量點(dian)精度,都(dou)包含有(you)滿量程(cheng)刻度對(dui)各個測(ce)量點精(jing)度的影(ying)響,在同(tong)樣的測(ce)量點上(shang),與國家(jia)行業标(biao)準相比(bi),相應提(ti)🈲高了精(jing)度。
(2)意義(yi)不同。 在(zai)國家行(hang)業标準(zhun)中,明确(que)給出刻(ke)度是标(biao)校介質(zhi)的量程(cheng)(刻度),也(ye)就是說(shuo),此時的(de)測量精(jing)度就是(shi)标校條(tiao)件下的(de)測量精(jing)度,沒有(you)給出實(shi)際測量(liang)介質條(tiao)件下的(de)精度修(xiu)正或補(bu)償🤟。在VDIVDE标(biao)準中沒(mei)有明确(que)⚽說明測(ce)量介質(zhi)是标校(xiao)介質還(hai)是實際(ji)測✂️量介(jie)質。表⛷️2給(gei)出按照(zhao)VDIVDE3513計🔴算出(chu)的各個(ge)測量點(dian)上的相(xiang)對滿度(du)值🚶‍♀️誤差(cha)。

4精度與(yu)刻度的(de)現狀
  不(bu)同的企(qi)業由于(yu)執行不(bu)同的産(chan)品标準(zhun),因此所(suo)制造的(de)🍓浮子流(liu)量計會(hui)有不同(tong)的刻度(du)顯示,同(tong)時産品(pin).的精度(du)也會産(chan)🧡生差💃異(yi)。目前,國(guo)内絕大(da)部分企(qi)業生産(chan)的浮子(zi)流量計(ji)是按♋照(zhao)國家标(biao)準或在(zai)國家标(biao)準基礎(chu)上制定(ding)自己的(de)企業标(biao)準,其精(jing)度與量(liang)程(刻度(du))是定義(yi)在标校(xiao)條件下(xia)的,也就(jiu)是說,精(jing)度和刻(ke)度是标(biao)校條件(jian)下水或(huo)空氣的(de)精度和(he)刻度。
  國(guo)内部分(fen)合資企(qi)業是按(an)照國外(wai)标準,由(you)于采用(yong)國外技(ji)術和設(she)備,特别(bie)是國外(wai)公司的(de)計算軟(ruan)件進行(hang)♈刻度轉(zhuan)換,在刻(ke)度轉換(huan)過程中(zhong)進行密(mi)度與粘(zhan)度的修(xiu)正和補(bu)償,此時(shi),浮子🧑🏽‍🤝‍🧑🏻流(liu)量計所(suo)顯示出(chu)的刻度(du)是實際(ji)測量介(jie)質的刻(ke)度.因此(ci)精度也(ye)是補償(chang)後的實(shi)際介質(zhi)刻度。
5選(xuan)型時應(ying)注意的(de)問題
(1)在(zai)選用浮(fu)子流量(liang)計時,首(shou)先要了(le)解浮子(zi)流量計(ji)制造企(qi)💚業所執(zhi)行的産(chan)品标準(zhun),特别是(shi)關于精(jing)度的規(gui)🥵定和顯(xian)示🐅刻度(du)的規定(ding),其次要(yao)了解産(chan)品的制(zhi)造和技(ji)術水平(ping)。同時,要(yao)結合流(liu)量測量(liang)中的工(gong)藝要求(qiu).特别是(shi)在測⭐量(liang)或控制(zhi)要求精(jing)度高、刻(ke)度顯示(shi)直觀、介(jie)🔞質粘度(du)高的情(qing)況下,要(yao)選擇能(neng)夠直接(jie)顯示介(jie)質流量(liang).具有密(mi)度和粘(zhan)度補償(chang)性能的(de)浮子流(liu)量計🏃‍♀️。
(2)掌(zhang)握準确(que)的工藝(yi)條件,提(ti)供準确(que)的介質(zhi)參數。因(yin)爲❄️刻度(du)的🏃‍♂️轉換(huan)與校驗(yan)是根據(ju)介質條(tiao)件完成(cheng)的。
(3)選用(yong)合适的(de)測量部(bu)件材質(zhi)。一般要(yao)選擇防(fang)腐蝕性(xing)能好的(de)測量材(cai)質。隻有(you)保證浮(fu)子和測(ce)量部件(jian)長時間(jian)不受介(jie),質的腐(fu)蝕,才能(neng)确保産(chan)品長期(qi)工作在(zai)出廠時(shi)的精度(du)要求。
(4)要(yao)選用能(neng)夠使正(zheng)常工作(zuo)流量在(zai)50%~80%的滿刻(ke)度的範(fan)圍内。正(zheng)常工作(zuo)流量低(di)于50%量程(cheng),使測量(liang)點上的(de)絕對誤(wu)👉差增大(da),不利于(yu)📧控制📧精(jing)度。
6保證(zheng)測量精(jing)度
(1)選型(xing)或訂貨(huo)時要提(ti)供準确(que)的介質(zhi)條件。對(dui)于具有(you)密度🌈和(he)粘度修(xiu)正能力(li)的制造(zao)企業,這(zhe)點尤其(qi)重要。因(yin)爲,密度(du)或粘度(du)的差異(yi),将直接(jie)影響流(liu)量刻度(du)的校驗(yan)。
(2)對于直(zhi)接顯示(shi)标校條(tiao)件下水(shui)或空氣(qi)流量刻(ke)度的流(liu)量計,盡(jin)可能要(yao)求制造(zao)企業提(ti)供校驗(yan)數據和(he)流量計(ji)算書,在(zai)實🏃際使(shi)用儀表(biao)時,要根(gen)據這些(xie)校驗數(shu)據和計(ji)算書手(shou)工進行(hang)密度修(xiu)正。修正(zheng)的方式(shi)可以🚩采(cai)用圖表(biao)法、表格(ge)法或在(zai)流量計(ji)算機或(huo)DCS上使用(yong)系數修(xiu)正法。
(3)保(bao)證儀表(biao)安裝正(zheng)确。垂直(zhi)度是浮(fu)子流量(liang)計安裝(zhuang)時經常(chang)被忽視(shi)的一點(dian),一般情(qing)況下,要(yao)保證垂(chui)直度在(zai)2度以内(nei)。
(4)對于要(yao)求具有(you)控制功(gong)能的浮(fu)子流量(liang)計,盡量(liang)選用帶(dai)有🏃‍♀️通訊(xun)功能的(de)産品。當(dang)介質條(tiao)件變化(hua)時,可以(yi)利💚用産(chan)品的通(tong)訊功能(neng),現場對(dui)信号進(jin)行調整(zheng),最大限(xian)度的保(bao)證産品(pin)精度。
(5)有(you)條件的(de)用戶,可(ke)以按照(zhao)流量計(ji)制造企(qi)業提供(gong)的💛流量(liang)計算書(shu)和校驗(yan)記錄重(zhong)新對儀(yi)表進行(hang)檢驗。
7周(zhou)期檢定(ding),保證精(jing)度的準(zhun)确
  要想(xiang)長期保(bao)證浮子(zi)流量計(ji)的測量(liang)精度,周(zhou)期對産(chan)品進行(hang)檢定是(shi)必不可(ke)少的手(shou)段。一般(ban)條件下(xia),浮子流(liu)量計的(de)檢定通(tong)常采用(yong)直接用(yong)水或空(kong)氣進行(hang)檢❌驗。有(you)兩個方(fang)面需要(yao)注意:
(1)如(ru)果流量(liang)計刻度(du).上的介(jie)質條件(jian)與檢定(ding)時的介(jie)質條件(jian)相♉同,可(ke)采用直(zhi)接進行(hang)流量比(bi)對以計(ji)算精度(du);
(2)如果兩(liang)者的介(jie)質條件(jian)不同,就(jiu)需了解(jie)該産品(pin)是否具(ju)有密度(du)和粘度(du)修正功(gong)能。如果(guo)沒有修(xiu)正功.能(neng),也要了(le)解刻度(du)變化的(de)條件或(huo)計算公(gong)式,根據(ju)相應的(de)公式,才(cai)💜可以進(jin)行系數(shu)計算。如(ru)果具有(you)密度和(he)粘度🐕修(xiu)正功能(neng),應要求(qiu)制造企(qi)業提供(gong)計算方(fang)🏃式或計(ji)算♊結果(guo),利用正(zheng)🌍确地計(ji)算結果(guo)對産品(pin)進♋行檢(jian)定。

以上(shang)内容源(yuan)于網絡(luo),如有侵(qin)權聯系(xi)即删除(chu)!

下篇文(wen)章: 蒸汽(qi)流量測(ce)量的比(bi)較與分(fen)析
 
江(jiang)蘇省速惠自动化制造有限公司是(shi)一家專(zhuan)業提供(gong) 渦街流(liu)量計 渦(wo)輪流量(liang)計 電磁(ci)流量計(ji) 的企業(ye),公司将(jiang)以優質(zhi)的服務(wu)優惠的(de)價格,服(fu)務新老(lao)客戶。
 版(ban)權所有(you):江蘇省(sheng)速惠自动化制造有限公司       技術支(zhi)持易品(pin)網絡

·