性爱视频网址 氣體渦輪流量計在不同壓力下計量性能-江蘇省速惠自动化制造有限公司
;                
                 
        首   頁  公(gong)司簡介(jie)  産品中(zhong)心  質量(liang)體系  銷(xiao)售網絡(luo)  聯系我(wo)們
 
電(dian)磁流量(liang)計的工(gong)作🧑🏾‍🤝‍🧑🏼性爱视频网址📧原理(li)
  氧化锆(gao)氧傳感(gan)器的原(yuan)理及應(ying)用
  國(guo)内儀器(qi)儀表行(hang)業将發(fa)生高科(ke)....
  西安交(jiao)大研制(zhi)出超高(gao)溫沖擊(ji)壓....
  采用(yong)半導體(ti)精密溫(wen)度傳感(gan)......
  智能溫(wen)度傳感(gan)器的發(fa)展趨勢(shi)
  簡述幾(ji)種氣體(ti)檢測傳(chuan)感器.....
  利(li)用傳感(gan)器技術(shu)制造智(zhi)能服裝(zhuang)
  新型傳(chuan)感器監(jian)控魚群(qun)數量
 
聯(lian)系方式(shi)
 電話(市(shi)場部):  
       
        
 傳(chuan)真:
 節假(jia)日商務(wu)聯系電(dian)話:
 何經(jing)理:
 劉經(jing)理:
 郵編(bian):211600
 網址:/
    http://banyunshe.cc/
 E-mail:[email protected]
     [email protected]
 地(di)址:江蘇(su)省金湖(hu)縣工業(ye)園區環(huan)城西
 路(lu)269号
     

氣體渦(wo)輪流量(liang)計在不(bu)同壓力(li)下計量(liang)性能 
發(fa)布時間(jian):2025-11-27

摘要:在(zai)天然氣(qi)輸送管(guan)道與貿(mao)易計量(liang)、城市燃(ran)氣工商(shang)業用🔞戶(hu)的流量(liang)計量中(zhong),常采用(yong)氣體渦(wo)輪流量(liang)計 。氣體(ti)渦輪流(liu)量計發(fa)展曆史(shi)悠久,也(ye)積累了(le)相當的(de)天然💃氣(qi)🎯應用數(shu)據,被認(ren)爲計量(liang)精度高(gao)、适用性(xing)良好的(de)天然氣(qi)流量計(ji)量儀表(biao)。由于使(shi)用場所(suo)的工作(zuo)條件各(ge)不相同(tong),工⭐作壓(ya)力根據(ju)應用的(de)需要一(yi)般從幾(ji)千帕到(dao)幾兆帕(pa),而在我(wo)國的計(ji)量機構(gou)一般采(cai)用負壓(ya)裝置檢(jian)定。對于(yu)在不同(tong)壓力條(tiao)件下,氣(qi)體渦輪(lun)流量計(ji)的計量(liang)特性的(de)數據還(hai)非🏃🏻‍♂️常缺(que)乏。
  天然(ran)氣作爲(wei)重要的(de)潔淨能(neng)源,近幾(ji)年在城(cheng)市中的(de)應用迅(xun)猛發🌈展(zhan)。城市高(gao)壓天然(ran)氣管網(wang),給城市(shi)提供天(tian)然🆚氣關(guan)系到🏃千(qian)家萬戶(hu),然而天(tian)然氣是(shi)一種非(fei)理想氣(qi)體,實際(ji)輸送的(de)壓力高(gao)于常壓(ya)。在遇到(dao)天然氣(qi)輸送管(guan)線洩漏(lou)或檢修(xiu)時會導(dao)👅緻天然(ran)氣壓力(li)大幅波(bo)動;或者(zhe)由于天(tian)然氣輸(shu)送管線(xian)中出現(xian)民用高(gao)峰期時(shi),也會造(zao)♈成天然(ran)氣壓力(li)波動等(deng)。
  現在國(guo)内的 氣(qi)體流量(liang)計生産(chan)廠家 一(yi)般采用(yong)音速噴(pen)嘴或鍾(zhong)罩法來(lai)進行産(chan)品檢定(ding),而出于(yu)經濟上(shang)和技術(shu)上的考(kao)慮,它們(men)中的大(da)多數使(shi)用的是(shi)負壓法(fa)的音🐕速(su)文丘裏(li)噴嘴檢(jian)定裝置(zhi)。而采用(yong)負壓💋法(fa)的裝置(zhi)上隻能(neng)用空氣(qi)作介質(zhi)對流量(liang)計進行(hang)常壓檢(jian)定,但是(shi)流量計(ji)的實際(ji)工作環(huan)境要遠(yuan)比此複(fu)雜。在低(di)壓力下(xia)标定後(hou)在高壓(ya)力下使(shi)用,在低(di)密度下(xia)标定後(hou)在高密(mi)度下使(shi)用,流量(liang)計儀表(biao)系數都(dou)有改變(bian)的可🌈能(neng),那麽,壓(ya)力的增(zeng)加、密度(du)的變化(hua)會❤️對氣(qi)體流量(liang)計的儀(yi)表系數(shu)産生多(duo)大的影(ying)響[1]根據(ju)國内外(wai)相關文(wen)獻研📧究(jiu)得出,影(ying)響儀表(biao)系數變(bian)化✏️的因(yin)素有:(1)介(jie)質密度(du)的影響(xiang)。(2)粘度變(bian)化的🐉影(ying)響。(3)溫度(du)變化的(de)影響。(4)壓(ya)力變化(hua)的☎️影響(xiang)等。
  氣體(ti)渦輪流(liu)量計作(zuo)爲目前(qian)國内少(shao)數能在(zai)高壓下(xia)計量的(de)流量計(ji),對其在(zai)不同氣(qi)體流體(ti)壓力下(xia)的計量(liang)性能進(jin)行試📞驗(yan),主👌要分(fen)⛹🏻‍♀️析渦輪(lun)流量計(ji)在氣體(ti)流體的(de)不同壓(ya)力下,流(liu)量計儀(yi)表系數(shu)的變化(hua)情況,驗(yan)💁證其計(ji)量性能(neng)是否💋能(neng)夠滿足(zu)計量要(yao)求。
1氣體(ti)渦輪流(liu)量計的(de)基本結(jie)構和工(gong)作原理(li)
   渦輪流(liu)量計 由(you)渦輪流(liu)量傳感(gan)器和流(liu)量顯示(shi)儀表組(zu)成。将渦(wo)輪流量(liang)計感知(zhi)流體流(liu)速的渦(wo)輪組件(jian)(包括前(qian)後導流(liu)體、葉輪(lun)、軸承、殼(ke)☂️體、信号(hao)檢測組(zu)件)統稱(cheng)爲渦輪(lun)流量傳(chuan)感器✌️。圖(tu)1爲渦✏️輪(lun)流量計(ji)的基本(ben)結構圖(tu)。
氣體渦(wo)輪流量(liang)計結構(gou)圖
  根據(ju)動量守(shou)恒定律(lü)通過渦(wo)輪受理(li)過程進(jin)行分析(xi),可以比(bi)較直觀(guan)地描述(shu)基本工(gong)作過程(cheng),流體通(tong)過時推(tui)動葉輪(lun),産生主(zhu)動力矩(ju)。氣體渦(wo)輪流量(liang)計屬于(yu)速度式(shi)流量計(ji),渦輪流(liu)量傳感(gan)器🔴輸出(chu)與流量(liang)成正比(bi)關系的(de)脈🥵沖頻(pin)率,輸入(ru)到流量(liang)顯示儀(yi)表或計(ji)算機。在(zai)某一流(liu)量範圍(wei)和一定(ding)粘度範(fan)圍内,渦(wo)輪流量(liang)計輸出(chu)的信号(hao)脈💁沖頻(pin)率f與通(tong)過渦輪(lun)流量計(ji)的體積(ji)流量qV成(cheng)正♋比[4],即(ji):
f=KqV         (1)
  式中,K爲(wei)渦輪流(liu)量計的(de)儀表系(xi)數,1/L或1/m3,儀(yi)表系數(shu)K應爲一(yi)常數,其(qi)數值由(you)實驗标(biao)準标定(ding)得到。每(mei)台渦輪(lun)流量傳(chuan)感器的(de)校準(或(huo)合格)證(zheng)上都标(biao)明經過(guo)實流檢(jian)定測得(de)分段不(bu)同流量(liang)🍉範圍的(de)儀表系(xi)數K值。
儀(yi)表系數(shu)K的意義(yi)是單位(wei)體積流(liu)量通過(guo)渦輪流(liu)量傳感(gan)器輸出(chu)的信号(hao)脈沖頻(pin)率f(或信(xin)号脈沖(chong)總數N)。所(suo)以,當測(ce)得傳感(gan)器輸✉️出(chu)的信号(hao)脈沖頻(pin)率或某(mou)一時間(jian)内的🔞脈(mo)沖總數(shu)N後,分✉️别(bie)除以儀(yi)表系數(shu)K,就可得(de)到體積(ji)流量qV或(huo)流量總(zong)量Q,即:

  要(yao)使渦輪(lun)流量計(ji)能夠較(jiao)準确的(de)工作,其(qi)儀表系(xi)數K必⭐須(xu)爲常數(shu)。但實際(ji)上渦輪(lun)流量計(ji)的工作(zuo)特性并(bing)非如此(ci),即:

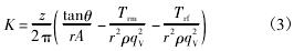
  式中(zhong),r爲葉輪(lun)的平均(jun)半徑;ρ爲(wei)流體的(de)密度;A爲(wei)流通截(jie)面‼️積;θ爲(wei)渦⛱️輪葉(ye)片與軸(zhou)線的夾(jia)角;Trm爲機(ji)械摩擦(ca)阻力矩(ju);Trf爲流體(ti)阻力矩(ju)。
以DN50爲例(li),其流量(liang)特性曲(qu)線如圖(tu)2所示。
氣(qi)體渦輪(lun)流量計(ji)流量特(te)性曲線(xian)
  在理想(xiang)狀态下(xia),也就是(shi)假定渦(wo)輪處于(yu)勻速運(yun)動的平(ping)衡🥵狀🌈态(tai)👈,機械摩(mo)擦阻力(li)矩Trm和流(liu)體阻力(li)矩Trf都足(zu)夠小至(zhi)可以忽(hu)略不計(ji)的狀💚态(tai),儀表系(xi)數與流(liu)量的關(guan)系爲

  可(ke)見,理想(xiang)特性僅(jin)僅與渦(wo)輪流量(liang)計的結(jie)構參數(shu)有關,儀(yi)表系數(shu)爲一個(ge)常數,與(yu)流體變(bian)化無關(guan)。
2試驗
  試(shi)驗選用(yong)1台TBQM-G65-DN50和1台(tai)TBQM-G100-DN80口徑的(de)氣體渦(wo)輪流量(liang)計作爲(wei)對象,流(liu)☔量範圍(wei)👉分别爲(wei)6.5~100m3/h和8~160m3/h。依照(zhao)JJG1037—2008《渦輪流(liu)量計檢(jian)定規程(cheng)》規定,流(liu)量⭐檢定(ding)點應包(bao)括🐆qmax、0.7qmax、0.40qmax、0.25qmax、qt、0.1qmax、qmin。所以(yi),相應的(de)TBQM-G65-DN50的流量(liang)檢定點(dian)爲:100、70、40、25、20、10、6.5m3/h;TBQM-G100-DN80的✨流(liu)量檢定(ding)點爲✨:160、112、64、40、32、16、8m3/h,其(qi)中每個(ge)流量點(dian)測試3次(ci)。
2.1檢定所(suo)用的裝(zhuang)置
  采用(yong)DresserInnovativeGasMeteringSolutions裝置進(jin)行負壓(ya)檢定,如(ru)圖3所示(shi),其流量(liang)範圍爲(wei)♉0.5~1600m3/h,檢測口(kou)徑爲DN25~DN150,不(bu)确定度(du)爲0.25%。

  高壓(ya)環道氣(qi)體流量(liang)标準裝(zhuang)置,如圖(tu)4所示,該(gai)裝置可(ke)在實際(ji)工作的(de)壓力狀(zhuang)态下檢(jian)測流量(liang)計的性(xing)能,其流(liu)量👄範圍(wei)爲1~2500m3/h,檢測(ce)口徑爲(wei)DN20~DN250,工作壓(ya)力範圍(wei)爲0.1~2.0MPa,不确(que)定度爲(wei)0.33%。采用該(gai)套裝置(zhi)進❓行壓(ya)力爲0.1MPa、0.8MPa和(he)2.0MPa的檢定(ding)。

2.2檢定所(suo)得儀表(biao)系數
  不(bu)同壓力(li)下每個(ge)流量計(ji)的儀表(biao)系數如(ru)表1和表(biao)2所示。

流(liu)量計儀(yi)表系數(shu):

  式中,K爲(wei)流量計(ji)的儀表(biao)系數,1/m3;(Ki)max爲(wei)流量計(ji)在qt到qmax流(liu)量範圍(wei)各流量(liang)檢🔞定點(dian)得到的(de)Ki中的最(zui)大值,1/m3;(Ki)min爲(wei)流量計(ji)在qt到qmax流(liu)量範圍(wei)各流量(liang)⛷️檢定點(dian)得到的(de)Ki中的最(zui)小值,1/m3。
計(ji)算所得(de)的不同(tong)壓力下(xia)儀表系(xi)數如表(biao)3和表4所(suo)示。


2.3檢定(ding)數據處(chu)理與分(fen)析
2.3.1儀表(biao)系數分(fen)析
  根據(ju)表1和表(biao)2繪制得(de)到不同(tong)壓力下(xia)氣體渦(wo)輪流量(liang)計㊙️的儀(yi)表系♌數(shu)特性,如(ru)圖5和圖(tu)6所示。
不(bu)同壓力(li)下氣體(ti)渦輪流(liu)量計儀(yi)表系數(shu)特性曲(qu)線

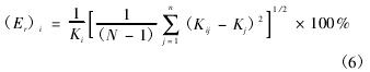
  随着(zhe)工作壓(ya)力的變(bian)化,渦輪(lun)流量計(ji)儀表系(xi)數的變(bian)化很小(xiao)。參🐇考JJG1037—2008《渦(wo)輪流量(liang)計檢定(ding)規程》計(ji)量檢定(ding)規程中(zhong)流量計(ji)的重複(fu)性的計(ji)🧡算方法(fa),可以定(ding)義不同(tong)壓力下(xia)渦輪流(liu)量計儀(yi)表系數(shu)的重複(fu)性爲:

  式(shi)中:(Er)i爲不(bu)同工作(zuo)壓力下(xia)流量計(ji)儀表系(xi)數的重(zhong)複性㊙️,%;Ki爲(wei)🐆不⭕同工(gong)作壓力(li)下流量(liang)計儀表(biao)系數的(de)平均系(xi)🔴數,1/m3;Kij爲第(di)i種工作(zuo)壓力下(xia)流量計(ji)的儀表(biao)系數,1/m3;n爲(wei)不同工(gong)作壓力(li)的個數(shu)。
計算得(de)出TBQM-G65-DN50在不(bu)同工作(zuo)壓力下(xia)流量計(ji)儀表系(xi)數的重(zhong)複㊙️性:

2.3.2線(xian)性度分(fen)析
  歐洲(zhou)标準EN12261:2002的(de)有關規(gui)定———第5.2.1.1款(kuan)[5],本款對(dui)于儀表(biao)的固有(you)性能提(ti)出了嚴(yan)格的要(yao)求,即如(ru)果儀表(biao)特性試(shi)驗在多(duo)于一個(ge)壓力下(xia)進行,對(dui)于公稱(cheng)口徑大(da)于100mm的流(liu)量👨‍❤️‍👨計,在(zai)0.25qmax和qmax之間(jian)的所有(you)結果間(jian)的👅差不(bu)得大于(yu)0.5%,對于公(gong)稱口徑(jing)小于等(deng)于100mm的流(liu)量計,在(zai)0.25qmax和qmax之間(jian)的所有(you)結果間(jian)的差不(bu)得大于(yu)1.0%。
  根據表(biao)1和表2中(zhong)的數據(ju)進行計(ji)算,對于(yu)TBQM-G65-DN50,所有檢(jian)定結果(guo)最大差(cha)值爲0.558%;TBQM-G100-DN80的(de)所有檢(jian)定結果(guo)最大差(cha)值爲0.904%,結(jie)果均符(fu)合标準(zhun)。
2.4小結
(1)根(gen)據式(6)計(ji)算出的(de)在不同(tong)工作壓(ya)力下流(liu)量計儀(yi)表系數(shu)的重複(fu)性,說明(ming)渦輪流(liu)量計儀(yi)表系數(shu)受壓力(li)♊變化‼️的(de)敏感性(xing)較小。TBQM-G65-DN50在(zai)4種不同(tong)壓力下(xia)流量計(ji)儀表系(xi)數變🚶化(hua)的重複(fu)性僅爲(wei)0.502%,而TBQM-G100-DN80的💜重(zhong)複性僅(jin)爲0.282%。
(2)随着(zhe)工作壓(ya)力的變(bian)化,渦輪(lun)流量計(ji)線性度(du)變化不(bu)🐇大。說明(ming)流體工(gong)作壓力(li)的變化(hua)對渦輪(lun)流量計(ji)的線📧性(xing)度影響(xiang)🔞很小🔆。圖(tu)5和圖6是(shi)🈲在4種不(bu)同壓力(li)下2台氣(qi)體渦輪(lun)流🍉量計(ji)的💰儀表(biao)系數随(sui)流量變(bian)化的曲(qu)線。從圖(tu)中可以(yi)很🌈直觀(guan)地看出(chu),在流量(liang)的上下(xia)限之間(jian),壓力對(dui)渦輪流(liu)量計儀(yi)表系數(shu)的影響(xiang)。4種不同(tong)壓力下(xia)的曲線(xian)型一緻(zhi)性💃很好(hao),也與圖(tu)2中理論(lun)的特性(xing)曲線有(you)較好的(de)符合性(xing),隻是高(gao)壓相較(jiao)于低🎯壓(ya)曲線整(zheng)體向上(shang)漂移。
(3)經(jing)過計算(suan)分析,流(liu)量計符(fu)合歐洲(zhou)标準EN12261的(de)有關規(gui)定———第5.2.1.1款(kuan)。
(4)此外,根(gen)據所有(you)線性度(du)結果計(ji)算得出(chu),壓力的(de)變化對(dui)儀⁉️表系(xi)數的影(ying)響小于(yu)流量變(bian)化的影(ying)響。
3儀表(biao)系數研(yan)究讨論(lun)
3.1流量顯(xian)示裝置(zhi)
  前文已(yi)經提到(dao),渦輪流(liu)量計是(shi)由渦輪(lun)流量傳(chuan)感器和(he)流量顯(xian)示儀表(biao)組成。目(mu)前公知(zhi)的渦輪(lun)流量計(ji)大概采(cai)用以下(xia)幾種流(liu)量顯😍示(shi)儀表:帶(dai)字輪的(de)機械計(ji)🚩算器、帶(dai)溫度和(he)❌壓力補(bu)償的電(dian)子顯示(shi)裝置、流(liu)量計算(suan)機和帶(dai)無線遠(yuan)傳👅功能(neng)的電🏃🏻‍♂️子(zi)顯示裝(zhuang)置等。
  上(shang)述提到(dao)的顯示(shi)裝置除(chu)了流量(liang)計算機(ji),其餘都(dou)是通過(guo)機芯上(shang)主軸的(de)蝸杆與(yu)齒輪的(de)配合傳(chuan)遞扭矩(ju),并通過(guo)齒輪減(jian)速傳動(dong)以及磁(ci)耦合聯(lian)接驅動(dong)字輪計(ji)數器轉(zhuan)動而得(de)到流量(liang)累積與(yu)顯示,俗(su)稱低頻(pin)取信号(hao)方式。流(liu)量計算(suan)機包含(han)兩種取(qu)信号方(fang)式,如前(qian)🧑🏾‍🤝‍🧑🏼文所述(shu)的低頻(pin),另外一(yi)種是直(zhi)接取葉(ye)🐆輪轉動(dong)的信🤩号(hao),俗稱高(gao)頻。
3.2機械(xie)計數器(qi)齒輪調(diao)整
  渦輪(lun)流量計(ji)出廠前(qian)用取高(gao)頻信号(hao)方法進(jin)行标定(ding),然後根(gen)據得出(chu)儀表系(xi)數進行(hang)機械計(ji)數器内(nei)齒輪配(pei)對,傳動(dong)比盡量(liang)接近标(biao)定出的(de)儀表系(xi)數。也就(jiu)是🏃‍♀️說,我(wo)們可以(yi)調整齒(chi)輪👉配對(dui)以滿足(zu)儀表系(xi)數的變(bian)化。
  從上(shang)文得知(zhi),不同壓(ya)力波動(dong)是存在(zai)的,若流(liu)量計工(gong)♈作壓力(li)波動範(fan)圍較小(xiao),建議其(qi)在實際(ji)工作壓(ya)力下🌍進(jin)行相應(ying)❗測試按(an)其檢定(ding)數據配(pei)齒,使實(shi)際傳動(dong)比⛱️的理(li)論儀表(biao)系數盡(jin)可能接(jie)近在該(gai)壓力點(dian)下測試(shi)的儀表(biao)系數,流(liu)量計的(de)計量将(jiang)更加準(zhun)确。
  但是(shi),機械計(ji)數器有(you)一缺點(dian),調配出(chu)的儀表(biao)系數是(shi)固定,隻(zhi)能對某(mou)一流量(liang)點進行(hang)修正,不(bu)能對所(suo)有流👉量(liang)點修正(zheng)。所以對(dui)于🌍某些(xie)流量點(dian)來說,誤(wu)差可能(neng)還✉️是存(cun)在的。
3.3電(dian)子表頭(tou)修正
  二(er)次電子(zi)顯示裝(zhuang)置、體積(ji)修正儀(yi)、流量計(ji)算機等(deng)俗稱電(dian)子表頭(tou)♊,其液晶(jing)屏幕上(shang)可顯示(shi)多種信(xin)息,比如(ru)瞬時流(liu)量、總流(liu)🍉量、溫🈲度(du)和壓力(li)等。電子(zi)表頭含(han)有非🏃🏻‍♂️常(chang)多的功(gong)能,可以(yi)根據溫(wen)度壓力(li)對流體(ti)體積進(jin)行修正(zheng),可以根(gen)據流量(liang)或者表(biao)壓的不(bu)同進行(hang)儀表系(xi)數的調(diao)整,使在(zai)用流量(liang)計的流(liu)量特性(xing)☀️曲線接(jie)近一💃🏻條(tiao)直線,這(zhe)就大大(da)提高了(le)流量計(ji)的精度(du)。帶電子(zi)表頭的(de)渦輪流(liu)量計很(hen)好地解(jie)決了帶(dai)機械計(ji)數器流(liu)量🐪計存(cun)在的問(wen)題,其⚽可(ke)以進行(hang)每個流(liu)❤️量點的(de)儀表系(xi)數修正(zheng)。然而,它(ta)也同樣(yang)有缺點(dian),比如說(shuo)安全防(fang)爆😘問題(ti),還有電(dian)子表🐉頭(tou)價格昂(ang)貴,不便(bian)于普及(ji)。
4結束語(yu)
  氣體渦(wo)輪流量(liang)計儀表(biao)系數受(shou)壓力變(bian)化的敏(min)感性較(jiao)小,TBQM-G65-DN50的🏃🏻‍♂️儀(yi)表系數(shu)變化的(de)重複性(xing)僅爲0.502%,而(er)TBQM-G100-DN80的重複(fu)性僅爲(wei)0.282%。随着工(gong)作壓力(li)的變化(hua),渦輪流(liu)量計線(xian)性度變(bian)㊙️化不大(da)。在4種不(bu)同壓力(li)🔅下2台氣(qi)體渦輪(lun)流量計(ji)的儀表(biao)系數曲(qu)線型一(yi)緻性很(hen)好,與理(li)論的特(te)性曲線(xian)有♻️很好(hao)的符合(he)性,隻是(shi)對于DN50口(kou)徑的氣(qi)體渦輪(lun)流量計(ji)來說,高(gao)壓相較(jiao)于低壓(ya)曲線整(zheng)體向上(shang)漂移,而(er)DN80口徑的(de)氣體渦(wo)輪流量(liang)計相對(dui)穩定,波(bo)動更小(xiao)。流量計(ji)符合🔞歐(ou)洲标準(zhun)EN12261的有關(guan)規定———第(di)5.2.1.1款。壓力(li)的變化(hua)對儀表(biao)系數的(de)影響小(xiao)于流量(liang)變化的(de)影響。
雖(sui)然在不(bu)同壓力(li)下,氣體(ti)渦輪流(liu)量計的(de)儀表性(xing)能✔️有些(xie)許🛀🏻波動(dong),但是靠(kao)着機械(xie)計數器(qi)和電子(zi)表頭的(de)調整或(huo)修👉正,其(qi)儀表性(xing)能将能(neng)加穩定(ding)且準确(que)。
  鑒于目(mu)前的試(shi)驗研究(jiu)還不夠(gou)系統和(he)全面,需(xu)開展進(jin)一步的(de)研究才(cai)能明确(que)不同壓(ya)力下對(dui)氣體渦(wo)輪🌐流量(liang)計的影(ying)響,特别(bie)是檢定(ding)的介質(zhi)如能用(yong)天然氣(qi),那麽試(shi)👨‍❤️‍👨驗結果(guo)将更具(ju)說服力(li)。

以上内(nei)容來源(yuan)于網絡(luo),如有侵(qin)權請聯(lian)系即删(shan)除!

下篇(pian)文章: 渦(wo)街流量(liang)計梯形(xing)旋渦發(fa)生體研(yan)究 上篇(pian)文章 轉(zhuan)子流量(liang)計常見(jian)故障與(yu)分析
 
江(jiang)蘇省速惠自动化制造有限公司是(shi)一家專(zhuan)業提供(gong) 渦街流(liu)量計 渦(wo)輪流量(liang)計 電磁(ci)流量計(ji) 的企業(ye),公司将(jiang)以優質(zhi)的服務(wu)優惠的(de)價格,服(fu)務新老(lao)客戶。
 版(ban)權所有(you):江蘇省(sheng)速惠自动化制造有限公司       技術支(zhi)持易品(pin)網絡

  
·
·
·