渦(wo)輪流(liu)量計(ji)介紹(shao) 發布(bu)時間(jian):2025-11-26
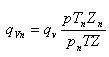
第一(yi)節 概(gai)論 渦(wo)輪流(liu)量計(ji) (以下(xia)簡稱(cheng)渦輪(lun)流量(liang)計)是(shi)葉輪(lun)式流(liu)量(流(liu)速)計(ji)的主(zhu)要品(pin)種,葉(ye)⛱️輪式(shi)流量(liang)計還(hai)有風(feng)速計(ji)、水表(biao)等。 在(zai)各種(zhong)流量(liang)計中(zhong)渦輪(lun)流量(liang)計、容(rong)積式(shi)流量(liang)計和(he)科🚶♀️氏(shi)質量(liang)流量(liang)計是(shi)三類(lei)重複(fu)性、精(jing)度最(zui)佳的(de)産品(pin),而渦(wo)輪💛流(liu)量計(ji)又具(ju)有自(zi)己的(de)特點(dian),如結(jie)構簡(jian)單、加(jia)工零(ling)部件(jian)少、重(zhong)量輕(qing)、維修(xiu)方便(bian)、流通(tong)能力(li)大(同(tong)樣口(kou)徑可(ke)通過(guo)的㊙️流(liu)量大(da))和可(ke)适應(ying)高參(can)數(高(gao)溫、高(gao)壓和(he)低溫(wen))等。至(zhi)今,這(zhe)類流(liu)量計(ji)産😍品(pin)可達(da)技術(shu)參數(shu):口徑(jing)4~750mm,壓力(li)達250MPa,溫(wen)度爲(wei)☔-240~700℃,像這(zhe)樣的(de)技術(shu)參數(shu)其他(ta)兩類(lei)流量(liang)計則(ze)是難(nan)以達(da)到的(de)。 渦輪(lun)流量(liang)計廣(guang)泛應(ying)用于(yu)以下(xia)一些(xie)測量(liang)對象(xiang):石油(you)、有機(ji)液體(ti)、無機(ji)液、液(ye)化氣(qi)、天然(ran)氣、煤(mei)氣和(he)低溫(wen)流體(ti)🧡等。在(zai)國外(wai)液化(hua)石油(you)氣、成(cheng)品油(you)和輕(qing)質原(yuan)油等(deng)的轉(zhuan)運及(ji)集輸(shu)站,大(da)型原(yuan)油輸(shu)送管(guan)線的(de)首末(mo)站都(dou)大量(liang)采用(yong)它進(jin)行貿(mao)易結(jie)算。在(zai)歐洲(zhou)和美(mei)國渦(wo)🔆輪流(liu)量計(ji)🤟是僅(jin)次于(yu)孔闆(pan)流量(liang)計的(de)天然(ran)氣計(ji)量儀(yi)表,僅(jin)荷蘭(lan)🈲在天(tian)然氣(qi)管線(xian)上就(jiu)采用(yong)了2600多(duo)🔞台各(ge)種尺(chi)寸,壓(ya)力從(cong)🌐0.8MPa到6.5MPa的(de)氣體(ti)♈渦輪(lun)流量(liang)計,他(ta)💛們已(yi)成爲(wei)優良(liang)的天(tian)然氣(qi)☎️流量(liang)計。 盡(jin)管渦(wo)輪流(liu)量計(ji)的優(you)良計(ji)量特(te)性受(shou)到人(ren)們的(de)青睐(lai),可是(shi)給人(ren)的印(yin)象是(shi)由活(huo)動部(bu)件,使(shi)用期(qi)短,在(zai)選用(yong)時不(bu)免⭐躊(chou)躇,經(jing)過人(ren)們的(de)不懈(xie)努力(li),應該(gai)說情(qing)況大(da)有改(gai)觀。 渦(wo)輪流(liu)量計(ji)作爲(wei)最通(tong)用的(de)流量(liang)計,其(qi)産品(pin)已發(fa)展爲(wei)多品(pin)種、全(quan)系列(lie)、多規(gui)格批(pi)量生(sheng)産的(de)規模(mo)。應該(gai)指出(chu),渦輪(lun)流量(liang)計🏃🏻除(chu)前📐述(shu)工業(ye)部門(men)大量(liang)應用(yong)外,在(zai)一些(xie)特殊(shu)部門(men)亦得(de)到廣(guang)泛應(ying)用,如(ru)科研(yan)實驗(yan)、國防(fang)科技(ji)、計量(liang)部門(men),這些(xie)領域(yu)的使(shi)用恰(qia)好避(bi)開了(le)其弱(ruo)點(不(bu)适于(yu)長期(qi)連續(xu)使用(yong)),充分(fen)發揮(hui)其特(te)點(精(jing)度佳(jia),重🐪複(fu)性好(hao),可用(yong)于高(gao)壓、高(gao)溫、低(di)溫及(ji)微流(liu)量等(deng)條😄件(jian))。在這(zhe)些領(ling)域,大(da)多是(shi)🔴根據(ju)被測(ce)對象(xiang)的㊙️特(te)殊要(yao)求進(jin)行👄專(zhuan)門的(de)結構(gou)設計(ji),它們(men)是專(zhuan)用儀(yi)表不(bu)進🤞行(hang)批量(liang)生💋産(chan)。 第二(er)節 工(gong)作原(yuan)理 圖1所(suo)示爲(wei)渦輪(lun)流量(liang)計傳(chuan)感器(qi)結構(gou)圖,由(you)圖可(ke)見,當(dang)被測(ce)流體(ti)流🈲過(guo)傳感(gan)器時(shi),在流(liu)體作(zuo)用下(xia),葉輪(lun)受力(li)旋轉(zhuan),其轉(zhuan)速與(yu)管道(dao)平均(jun)流速(su)成正(zheng)比,葉(ye)輪的(de)轉動(dong)周期(qi)地🥵改(gai)變磁(ci)📧電轉(zhuan)換器(qi)的磁(ci)🤟阻值(zhi)。檢㊙️測(ce)線圈(quan)中磁(ci)通随(sui)之發(fa)生周(zhou)期性(xing)👌變化(hua),産生(sheng)周期(qi)性的(de)感應(ying)電勢(shi),即電(dian)脈沖(chong)信号(hao),經放(fang)大器(qi)放大(da)後,送(song)至顯(xian)示儀(yi)表顯(xian)示。 渦(wo)輪流(liu)量計(ji)的實(shi)用流(liu)量方(fang)程爲(wei) qv=f/K (7.1) qm=qvρ (7.2) 式中(zhong) qv,qm-分别(bie)爲體(ti)積流(liu)量,m3/s,質(zhi)量流(liu)量,kg/s; f-流(liu)量計(ji)輸出(chu)信号(hao)的頻(pin)率,Hz; K-流(liu)量計(ji)的儀(yi)表系(xi)數,P/m3。 流(liu)量計(ji)的儀(yi)表系(xi)數與(yu)流量(liang)(或管(guan)道雷(lei)諾數(shu))的關(guan)系曲(qu)🛀🏻線如(ru)❗圖2所(suo)示。由(you)圖可(ke)見,儀(yi)表系(xi)數可(ke)分爲(wei)二段(duan),即線(xian)性段(duan)和非(fei)線性(xing)段。線(xian)性段(duan)約爲(wei)工作(zuo)段的(de)三分(fen)之二(er),其特(te)性與(yu)傳感(gan)器結(jie)構尺(chi)寸🚩及(ji)流體(ti)粘性(xing)有關(guan)。在非(fei)線性(xing)段,特(te)性受(shou)軸🥰承(cheng)摩擦(ca)力,流(liu)體粘(zhan)性阻(zu)力影(ying)響較(jiao)大。當(dang)流量(liang)低于(yu)傳感(gan)器流(liu)量下(xia)限時(shi)🔴,儀表(biao)系數(shu)随🔞着(zhe)流量(liang)迅速(su)🏃♂️變化(hua)。壓力(li)損失(shi)與流(liu)量近(jin)似爲(wei)平方(fang)關系(xi)。當流(liu)量超(chao)過流(liu)量上(shang)限時(shi)要注(zhu)意👨❤️👨防(fang)止空(kong)穴現(xian)象。結(jie)構相(xiang)似的(de)渦輪(lun)流量(liang)計特(te)性曲(qu)線的(de)形狀(zhuang)是相(xiang)似💯的(de),他僅(jin)在系(xi)統誤(wu)差水(shui)🤩平方(fang)面有(you)所不(bu)同。 傳感(gan)器的(de)儀表(biao)系數(shu)由流(liu)量校(xiao)驗裝(zhuang)置校(xiao)驗得(de)出,它(ta)完全(quan)不問(wen)傳🥵感(gan)器内(nei)部流(liu)體的(de)流動(dong)機理(li),把傳(chuan)感器(qi)作爲(wei)一個(ge)✉️黑匣(xia)子,根(gen)☎️據輸(shu)入(流(liu)量)和(he)輸出(chu)(頻率(lü)脈沖(chong)信号(hao))确定(ding)其轉(zhuan)換系(xi)數,它(ta)便于(yu)實際(ji)應用(yong)。但要(yao)注意(yi)👅,此轉(zhuan)換系(xi)數(儀(yi)表系(xi)數)是(shi)有條(tiao)件的(de),其校(xiao)驗條(tiao)件是(shi)參考(kao)條件(jian),如果(guo)使用(yong)時偏(pian)離此(ci)條件(jian),系數(shu)将發(fa)生變(bian)化,變(bian)化的(de)情💛況(kuang)⛹🏻♀️視傳(chuan)感器(qi)類型(xing),管道(dao)安裝(zhuang)條件(jian)和流(liu)👈體物(wu)性參(can)數的(de)情況(kuang)而定(ding)。 第三(san)節 主(zhu)要特(te)點 1)精(jing)度佳(jia),對于(yu)液體(ti)一般(ban)爲±0.25%R-±0.5%R,精(jing)度型(xing)可達(da)±0.15%R;而介(jie)質爲(wei)氣體(ti),一般(ban)爲⛱️±1%R-±1.5%R,特(te)殊專(zhuan)用型(xing)爲±0.5%R-±1%R。在(zai)所有(you)流量(liang)計中(zhong),它屬(shu)于🌂最(zui)精确(que)的。 2)重(zhong)複性(xing)好,短(duan)期重(zhong)複性(xing)可達(da)0.05%-0.2%,正是(shi)由于(yu)具有(you)良好(hao)的重(zhong)複🎯性(xing),如經(jing)常校(xiao)準或(huo)在線(xian)校準(zhun)可得(de)極高(gao)的精(jing)度,在(zai)貿易(yi)結算(suan)中是(shi)優先(xian)選用(yong)的流(liu)量計(ji)。 3)輸出(chu)脈沖(chong)頻率(lü)信号(hao),适于(yu)總量(liang)計量(liang)及與(yu)計算(suan)機連(lian)⭕接📱,無(wu)零點(dian)漂移(yi),抗幹(gan)擾能(neng)力強(qiang)。 4)可獲(huo)得很(hen)高的(de)頻率(lü)信号(hao)(3-4kHz),信号(hao)分辨(bian)力強(qiang)。 5)範圍(wei)度寬(kuan),中大(da)口徑(jing)可達(da)40:1-10:1,小口(kou)徑爲(wei)6:1或5:1。 6)結(jie)構緊(jin)湊輕(qing)巧,安(an)裝維(wei)護方(fang)便,流(liu)通能(neng)力大(da)。 7)适用(yong)高壓(ya)測量(liang),儀表(biao)表體(ti)上不(bu)必開(kai)孔,易(yi)制成(cheng)高壓(ya)型儀(yi)🤞表。 8)專(zhuan)用型(xing)傳感(gan)器類(lei)型多(duo),可根(gen)據用(yong)戶特(te)殊需(xu)要設(she)計爲(wei)各類(lei)專用(yong)型傳(chuan)感器(qi),例如(ru)低溫(wen)型、雙(shuang)向型(xing)、井下(xia)型✏️、混(hun)砂專(zhuan)用型(xing)等。 9)可(ke)制成(cheng)插入(ru)型,适(shi)用于(yu)大口(kou)徑測(ce)量,壓(ya)力損(sun)失小(xiao),價👌格(ge)低,可(ke)不斷(duan)流取(qu)出,安(an)裝維(wei)護方(fang)便。 10)難(nan)以長(zhang)期保(bao)持校(xiao)準特(te)性,需(xu)要定(ding)期校(xiao)驗。對(dui)于無(wu)潤滑(hua)性的(de)液體(ti),液體(ti)中含(han)有懸(xuan)浮物(wu)或磨(mo)蝕性(xing),造成(cheng)軸承(cheng)磨損(sun)及卡(ka)住等(deng)問題(ti),限☎️制(zhi)了其(qi)适用(yong)範圍(wei),采用(yong)耐磨(mo)硬質(zhi)🌍合金(jin)軸和(he)軸承(cheng)🌈後情(qing)況有(you)所改(gai)進。對(dui)于貿(mao)易儲(chu)運和(he)高精(jing)度測(ce)量要(yao)求的(de),最好(hao)配備(bei)現場(chang)校驗(yan)設備(bei),可定(ding)期校(xiao)☀️準以(yi)保持(chi)其特(te)性。 11)一(yi)般液(ye)體渦(wo)輪流(liu)量計(ji)不适(shi)用于(yu)較高(gao)粘度(du)介質(zhi)(高👅粘(zhan)度型(xing)除外(wai)♌),随着(zhe)粘度(du)的增(zeng)大,流(liu)量計(ji)測量(liang)下線(xian)值🌈提(ti)高,範(fan)圍度(du)縮小(xiao),線性(xing)度變(bian)差。 12)流(liu)體物(wu)性(密(mi)度、粘(zhan)度)對(dui)儀表(biao)特性(xing)有較(jiao)大影(ying)響。氣(qi)體🔱流(liu)量計(ji)易受(shou)❓密度(du)影響(xiang),而液(ye)體流(liu)量計(ji)對粘(zhan)度變(bian)化😘反(fan)應敏(min)感。由(you)于密(mi)度和(he)粘度(du)與溫(wen)度、壓(ya)力關(guan)系密(mi)切,在(zai)現場(chang)溫度(du)、壓力(li)波動(dong)🔴是難(nan)免的(de),要根(gen)據它(ta)們對(dui)精度(du)影響(xiang)的🌈程(cheng)度采(cai)取補(bu)償措(cuo)施,才(cai)能保(bao)持高(gao)的計(ji)量精(jing)度。 13)流(liu)量計(ji)受來(lai)流流(liu)速分(fen)布畸(ji)變和(he)旋轉(zhuan)流的(de)影響(xiang)較大(da),傳感(gan)器🌍上(shang)下遊(you)側需(xu)設置(zhi)較長(zhang)的直(zhi)管段(duan),如安(an)裝✌️空(kong)間有(you)限制(zhi),可加(jia)裝流(liu)動調(diao)整器(qi)(整流(liu)器)以(yi)縮短(duan)直管(guan)段長(zhang)度。 14)不(bu)适于(yu)脈動(dong)流和(he)混相(xiang)流的(de)測量(liang)。 15)對被(bei)測介(jie)質的(de)清潔(jie)度要(yao)求較(jiao)高,限(xian)制了(le)其适(shi)用領(ling)域🚩,雖(sui)可安(an)裝過(guo)濾器(qi)以适(shi)應髒(zang)污介(jie)質,但(dan)亦帶(dai)來壓(ya)損增(zeng)大、維(wei)護量(liang)增加(jia)等副(fu)作用(yong)。 16)小口(kou)徑(DN50以(yi)下)儀(yi)表的(de)流量(liang)特性(xing)受物(wu)性影(ying)響嚴(yan)重,故(gu)小口(kou)徑渦(wo)⭐輪流(liu)量計(ji)的儀(yi)表性(xing)能難(nan)以提(ti)高。 第(di)四節(jie) 分類(lei)與傳(chuan)感器(qi)結構(gou) 4.1 分類(lei) (1)按傳(chuan)感器(qi)結構(gou)分類(lei) 1)軸向(xiang)型(普(pu)通型(xing))葉輪(lun)軸中(zhong)心與(yu)管道(dao)軸線(xian)重合(he),是渦(wo)輪流(liu)量計(ji)的🌏主(zhu)導産(chan)品,有(you)全系(xi)列産(chan)品(DN10-DN600)。 2)切(qie)向型(xing) 葉輪(lun)軸與(yu)管道(dao)軸線(xian)垂直(zhi),流體(ti)流向(xiang)葉片(pian)平面(mian)的沖(chong)角✊約(yue)90度,适(shi)用于(yu)小口(kou)徑微(wei)流量(liang)産品(pin)。 3)機械(xie)型 葉(ye)輪的(de)轉動(dong)直接(jie)或經(jing)磁耦(ou)合帶(dai)動機(ji)械計(ji)數🏃🏻機(ji)構,隻(zhi)是積(ji)算總(zong)量,測(ce)量精(jing)度比(bi)電信(xin)号檢(jian)測的(de)傳感(gan)器稍(shao)低,其(qi)傳感(gan)㊙️器與(yu)顯示(shi)裝置(zhi)組成(cheng)一體(ti)式,受(shou)到用(yong)戶🌐歡(huan)迎。 4)井(jing)下專(zhuan)用型(xing) 适用(yong)于石(shi)油開(kai)采井(jing)下作(zuo)業及(ji)采輸(shu)用,測(ce)量介(jie)質有(you)泥漿(jiang)及油(you)氣流(liu)等,傳(chuan)感器(qi)體積(ji)受限(xian)制🐆,需(xu)耐高(gao)壓🈲、高(gao)溫及(ji)流體(ti)沖擊(ji)等。 5)自(zi)校正(zheng)雙渦(wo)輪型(xing) 可用(yong)于天(tian)然氣(qi)等氣(qi)體流(liu)量測(ce)量,傳(chuan)感器(qi)由😍主(zhu)、輔雙(shuang)葉輪(lun)組成(cheng),可由(you)二葉(ye)輪的(de)轉速(su)差自(zi)動校(xiao)正流(liu)量特(te)性的(de)變化(hua)。 6)廣粘(zhan)度型(xing) 在波(bo)特型(xing)浮動(dong)轉子(zi)壓力(li)平衡(heng)結構(gou)基礎(chu)上擴(kuo)大上(shang)錐⛷️體(ti)與下(xia)錐體(ti)的直(zhi)徑,增(zeng)加粘(zhan)度補(bu)償翼(yi)及承(cheng)壓葉(ye)片等(deng)結構(gou)措施(shi),使傳(chuan)感器(qi)适用(yong)于高(gao)粘度(du)液體(ti),如重(zhong)油,粘(zhan)㊙️度可(ke)達30mm2/s。 4.2 傳(chuan)感器(qi)結構(gou) 渦輪(lun)流量(liang)計傳(chuan)感器(qi)由表(biao)體、導(dao)向體(ti)(導流(liu)器)、葉(ye)輪、軸(zhou)🧑🏾🤝🧑🏼、軸承(cheng)☂️及信(xin)号檢(jian)測器(qi)組成(cheng)(見圖(tu)1)。 1)表體(ti)。表體(ti)是傳(chuan)感器(qi)的主(zhu)體部(bu)件,它(ta)起到(dao)承受(shou)被測(ce)💰流體(ti)的🌈壓(ya)力,固(gu)定安(an)裝檢(jian)測部(bu)件,連(lian)接管(guan)道的(de)作用(yong)。表體(ti)采用(yong)不導(dao)磁不(bu)鏽鋼(gang)或硬(ying)鋁合(he)金制(zhi)造。對(dui)于大(da)口徑(jing)傳感(gan)器已(yi)可用(yong)碳鋼(gang)與不(bu)♉鏽鋼(gang)組合(he)的鑲(xiang)嵌結(jie)構,表(biao)體外(wai)壁裝(zhuang)信号(hao)檢測(ce)器。 2)導(dao)向體(ti)。在傳(chuan)感器(qi)進出(chu)口裝(zhuang)有導(dao)向體(ti),他對(dui)流體(ti)起導(dao)💚向整(zheng)流✔️以(yi)及支(zhi)撐葉(ye)輪的(de)作用(yong),通常(chang)選用(yong)不導(dao)磁㊙️不(bu)鏽鋼(gang)或硬(ying)鋁材(cai)料制(zhi)作。反(fan)推式(shi)渦輪(lun)流量(liang)傳感(gan)器的(de)後導(dao)流件(jian)還要(yao)求能(neng)産生(sheng)足夠(gou)的反(fan)推力(li),其結(jie)構形(xing)式很(hen)多。前(qian)導流(liu)器有(you)專利(li)産品(pin)可以(yi)抗流(liu)體流(liu)動💋的(de)嚴重(zhong)幹擾(rao)。 3)渦輪(lun)。亦稱(cheng)葉輪(lun),是傳(chuan)感器(qi)的檢(jian)測元(yuan)件,它(ta)由高(gao)導磁(ci)性材(cai)‼️料制(zhi)成。葉(ye)輪有(you)直闆(pan)葉片(pian)、螺旋(xuan)葉片(pian)和丁(ding)字形(xing)葉片(pian)等幾(ji)種,也(ye)可用(yong)嵌有(you)許多(duo)導磁(ci)體的(de)多孔(kong)護罩(zhao)環來(lai)增加(jia)一定(ding)數量(liang)葉㊙️片(pian)渦輪(lun)⛷️旋轉(zhuan)的頻(pin)率,葉(ye)輪由(you)支架(jia)中軸(zhou)承支(zhi)撐,與(yu)🐆表體(ti)同軸(zhou),其葉(ye)片數(shu)視口(kou)徑大(da)小而(er)定。葉(ye)輪幾(ji)何形(xing)狀及(ji)尺寸(cun)對傳(chuan)感🚶♀️器(qi)性能(neng)有較(jiao)🔆大影(ying)響,要(yao)根據(ju)流體(ti)性質(zhi)、流量(liang)範圍(wei)、使用(yong)要求(qiu)等設(she)計,葉(ye)輪的(de)🈲動平(ping)衡很(hen)重要(yao),直接(jie)影響(xiang)🛀🏻儀表(biao)性能(neng)和使(shi)用💃🏻壽(shou)命。 4)軸(zhou)與軸(zhou)承。它(ta)支撐(cheng)葉輪(lun)旋轉(zhuan),需有(you)足夠(gou)的剛(gang)度、強(qiang)度和(he)💃硬度(du)、耐磨(mo)性、耐(nai)腐蝕(shi)性等(deng)。它決(jue)定着(zhe)傳感(gan)器的(de)可靠(kao)性🔴和(he)使👌用(yong)期限(xian)。傳感(gan)器失(shi)效通(tong)常是(shi)由軸(zhou)與軸(zhou)承引(yin)起的(de),因此(ci)它🥵的(de)結構(gou)🔅與材(cai)料的(de)選用(yong)以及(ji)維護(hu)是很(hen)重要(yao)的。 5)信(xin)号檢(jian)測器(qi)。國内(nei)常用(yong)變磁(ci)阻式(shi),如圖(tu)1上半(ban)部分(fen)所示(shi)。由永(yong)久磁(ci)鋼、導(dao)磁棒(bang)(鐵芯(xin))、線圈(quan)等組(zu)成。永(yong)久磁(ci)鋼對(dui)葉片(pian)有吸(xi)引力(li),産🤞生(sheng)磁阻(zu)力矩(ju),小口(kou)徑傳(chuan)感器(qi)在小(xiao)流量(liang)時,磁(ci)阻力(li)矩在(zai)諸阻(zu)力矩(ju)中成(cheng)爲主(zhu)要項(xiang),爲此(ci)将永(yong)久磁(ci)鋼分(fen)爲大(da)小兩(liang)種規(gui)格,小(xiao)口徑(jing)配小(xiao)規格(ge)以降(jiang)低磁(ci)阻力(li)矩。輸(shu)出信(xin)号有(you)效值(zhi)🏃♂️在10mV以(yi)上的(de)可直(zhi)接配(pei)用流(liu)量計(ji)算機(ji),配上(shang)放🌏大(da)器則(ze)輸出(chu)伏級(ji)頻率(lü)信号(hao)。 傳感(gan)器結(jie)構類(lei)型很(hen)多,這(zhe)裏介(jie)紹幾(ji)種廣(guang)泛應(ying)用的(de)❗産品(pin)。 1)止推(tui)式渦(wo)輪流(liu)量傳(chuan)感器(qi) 這類(lei)産品(pin)的結(jie)構簡(jian)圖于(yu)圖🏃♀️3。其(qi)❗中圖(tu)(a)與圖(tu)(b)爲軸(zhou)尖止(zhi)推類(lei),采用(yong)平面(mian)或球(qiu)面點(dian)接觸(chu),接觸(chu)點與(yu)傳感(gan)🌈器軸(zhou)線重(zhong)合,點(dian)接觸(chu)的優(you)點是(shi)摩擦(ca)力矩(ju)很小(xiao)💃,可用(yong)于較(jiao)低的(de)下限(xian)流量(liang),但是(shi)大流(liu)量時(shi)磨損(sun)嚴重(zhong)。圖(c)爲(wei)端面(mian)面接(jie)觸止(zhi)推型(xing),端頭(tou)呈球(qiu)形,軸(zhou)承爲(wei)平🐆面(mian)型。此(ci)類結(jie)🚶構僅(jin)用于(yu)小口(kou)徑(DN≤15mm)傳(chuan)感器(qi),發揮(hui)其靈(ling)敏度(du)😘高的(de)特點(dian)。 2)反(fan)推式(shi)渦輪(lun)流量(liang)傳感(gan)器這(zhe)類産(chan)品的(de)結構(gou)簡圖(tu)如圖(tu)4所示(shi)。圖4(a)中(zhong)在輸(shu)入端(duan)面處(chu)的壓(ya)力pH降(jiang)低,産(chan)生反(fan)推力(li);圖4(b)是(shi)流體(ti)經前(qian)面孔(kong)引入(ru)産生(sheng)反推(tui)力;圖(tu)4(c)表示(shi)流體(ti)由後(hou)☔反向(xiang)推。反(fan)推式(shi)結構(gou)在一(yi)定流(liu)量範(fan)圍内(nei)可使(shi)葉輪(lun)處于(yu)浮遊(you)狀态(tai),軸向(xiang)不存(cun)在接(jie)觸點(dian),無端(duan)面摩(mo)擦和(he)磨損(sun),可延(yan)長使(shi)用期(qi)限。 3)切向(xiang)式渦(wo)輪流(liu)量傳(chuan)感器(qi) 圖5所(suo)示爲(wei)用于(yu)微流(liu)量測(ce)量的(de)❗渦輪(lun)流量(liang)傳感(gan)器。流(liu)體由(you)葉輪(lun)的切(qie)向流(liu)過,沖(chong)🌂擊其(qi)葉片(pian)旋轉(zhuan)。由于(yu)🈲被測(ce)流量(liang)小,爲(wei)加大(da)流體(ti)對葉(ye)輪的(de)沖力(li),入口(kou)處裝(zhuang)有噴(pen)嘴,可(ke)🔞以更(geng)換噴(pen)嘴孔(kong)徑以(yi)🈚調節(jie)流量(liang)範圍(wei)。葉輪(lun)的轉(zhuan)速采(cai)🚶用光(guang)電法(fa)檢測(ce),以避(bi)🐪免如(ru)磁阻(zu)法産(chan)生磁(ci)阻力(li)矩。 4) 氣體(ti)渦輪(lun)流量(liang)計 氣(qi)體的(de)密度(du)遠小(xiao)于液(ye)體密(mi)度,流(liu)體推(tui)動力(li)矩小(xiao),氣體(ti)流㊙️量(liang)傳感(gan)器與(yu)液體(ti)流量(liang)傳感(gan)器在(zai)結構(gou)參數(shu)上有(you)顯著(zhe)差📐别(bie)。要加(jia)大輪(lun)毂半(ban)徑,縮(suo)小流(liu)道截(jie)面積(ji),使氣(qi)流流(liu)速加(jia)大且(qie)集中(zhong)經過(guo)葉片(pian)邊緣(yuan)。因氣(qi)流流(liu)速很(hen)高,要(yao)用較(jiao)小沖(chong)角🛀的(de)葉片(pian)。一般(ban)爲降(jiang)低㊙️摩(mo)擦阻(zu)力矩(ju),采用(yong)滾動(dong)☀️軸承(cheng),并對(dui)軸承(cheng)系統(tong)注入(ru)潤滑(hua)劑。它(ta)能沖(chong)洗掉(diao)軸承(cheng)表🌐面(mian)的微(wei)粒,延(yan)長軸(zhou)承壽(shou)命。多(duo)孔狀(zhuang)的儲(chu)油室(shi)能在(zai)換加(jia)潤滑(hua)劑期(qi)間向(xiang)軸承(cheng)持續(xu)供油(you)。典型(xing)🔞的燃(ran)氣渦(wo)輪流(liu)量計(ji)如圖(tu)6所示(shi)。圖6(a)所(suo)示爲(wei)氣體(ti)渦輪(lun)流量(liang)計的(de)剖面(mian)圖。圖(tu)🐇6(b)所示(shi)爲傳(chuan)感器(qi)顯示(shi)裝置(zhi)上附(fu)加氣(qi)體體(ti)積補(bu)🔆償器(qi),補🔆償(chang)器把(ba)傳感(gan)器測(ce)量的(de)實際(ji)體積(ji)流量(liang)經壓(ya)力、溫(wen)度換(huan)算爲(wei)标準(zhun)狀态(tai)下的(de)體積(ji)流量(liang)。另外(wai)還有(you)報警(jing)、自診(zhen)斷💁、遠(yuan)☂️傳信(xin)号等(deng)多種(zhong)功能(neng),他是(shi)一台(tai)功能(neng)齊全(quan)的流(liu)量計(ji)算機(ji)。 第(di)五節(jie) 選用(yong)考慮(lü)要點(dian) (1)精度(du) 一般(ban)說來(lai),選用(yong)渦輪(lun)流量(liang)計主(zhu)要是(shi)看中(zhong)其精(jing)度佳(jia)。目前(qian)🤞渦⛹🏻♀️輪(lun)🚶流量(liang)計的(de)精度(du)大緻(zhi)爲液(ye)體:國(guo)際市(shi)場爲(wei)🌐±0.15%R,±0.2%R,±0.5%R和±1%R,國(guo)🧑🏽🤝🧑🏻内定(ding)型産(chan)品爲(wei)±0.5%R和±1%R;氣(qi)體:國(guo)際市(shi)場爲(wei)±0.5%R和±1%R,國(guo)内爲(wei)🐉±1%R和±1.5%R,以(yi)上精(jing)度指(zhi)範圍(wei)度♻️爲(wei)6:1或10:1。若(ruo)幹渦(wo)輪流(liu)量傳(chuan)感器(qi)典型(xing)參數(shu)如表(biao)1所示(shi)。精度(du)除與(yu)本身(shen)産品(pin)質量(liang)有關(guan)❗外,還(hai)與使(shi)用🚶條(tiao)件密(mi)切相(xiang)關。 若(ruo)縮小(xiao)範圍(wei)度可(ke)提高(gao)精度(du);特别(bie)是作(zuo)爲标(biao)準表(biao)法流(liu)量🚩标(biao)準裝(zhuang)置的(de)标準(zhun)流量(liang)計,若(ruo)定點(dian)使用(yong),精度(du)可大(da)爲提(ti)高。 流(liu)量計(ji) 精度(du)愈高(gao),對現(xian)場使(shi)用條(tiao)件的(de)變化(hua)就越(yue)敏感(gan),要想(xiang)保持(chi)其高(gao)精✏️度(du),需要(yao)對儀(yi)表系(xi)數特(te)别的(de)處理(li)。一種(zhong)處理(li)方法(fa)😍就是(shi)所謂(wei)✊儀表(biao)系數(shu)浮動(dong)處理(li)法。即(ji)由現(xian)🐅場以(yi)下條(tiao)件實(shi)時進(jin)行處(chu)理:a)粘(zhan)🌍度受(shou)溫度(du)的影(ying)響;b)密(mi)度受(shou)壓力(li)、溫度(du)的影(ying)響;c)傳(chuan)感器(qi)信号(hao)冗餘(yu)(一台(tai)傳感(gan)器輸(shu)出二(er)個信(xin)号,監(jian)視其(qi)比值(zhi);d)系數(shu)的長(zhang)期穩(wen)定性(xing)💚(采取(qu)控制(zhi)圖确(que)定)等(deng)。 對于(yu)貿易(yi)儲運(yun)交接(jie)計量(liang),常配(pei)備在(zai)線校(xiao)驗裝(zhuang)置,以(yi)便定(ding)期進(jin)行校(xiao)驗。 生(sheng)産廠(chang)使用(yong)說明(ming)書列(lie)舉的(de)儀表(biao)精度(du)爲基(ji)本誤(wu)差❗,現(xian)場應(ying)估算(suan)附加(jia)誤差(cha),現場(chang)誤差(cha)應爲(wei)兩者(zhe)的合(he)成。 (2)流(liu)量範(fan)圍的(de)選擇(ze) 渦輪(lun)流量(liang)計的(de)流量(liang)範圍(wei)的選(xuan)擇對(dui)其精(jing)度及(ji)使用(yong)期🔴限(xian)有較(jiao)大的(de)影響(xiang)。一般(ban)在工(gong)作時(shi)最大(da)流量(liang)相應(ying)✨的轉(zhuan)速不(bu)🆚宜過(guo)高。使(shi)用狀(zhuang)😍況分(fen)連續(xu)工作(zuo)和間(jian)歇工(gong)作兩(liang)種,連(lian)續工(gong)🏃♂️作是(shi)指每(mei)天工(gong)作時(shi)間超(chao)過8小(xiao)時,間(jian)歇工(gong)作是(shi)每天(tian)工作(zuo)時間(jian)少于(yu)🐕8小時(shi)。對于(yu)⛱️連續(xu)工作(zuo)👉最大(da)流量(liang)應選(xuan)在儀(yi)表上(shang)👅限流(liu)量的(de)較🌏低(di)處,而(er)間歇(xie)工作(zuo)可選(xuan)在較(jiao)高處(chu)。一般(ban)連續(xu)工作(zuo)是将(jiang)實際(ji)最大(da)🔞流量(liang)乘以(yi)1.4作爲(wei)流量(liang)範圍(wei)🐪的上(shang)限流(liu)量,而(er)間歇(xie)工作(zuo)則👉乘(cheng)以1.3。 如(ru)果儀(yi)表口(kou)徑與(yu)工藝(yi)管道(dao)通徑(jing)不一(yi)緻時(shi),則應(ying)以異(yi)徑管(guan)和等(deng)徑直(zhi)管改(gai)裝管(guan)道。 對(dui)于流(liu)速偏(pian)低的(de)工藝(yi)管道(dao),最小(xiao)流量(liang)成爲(wei)選擇(ze)儀㊙️表(biao)㊙️口徑(jing)首先(xian)要考(kao)慮的(de)問題(ti),通常(chang)以實(shi)際最(zui)小流(liu)量乘(cheng)以0.8作(zuo)爲流(liu)量範(fan)圍的(de)下限(xian)流量(liang),使其(qi)留有(you)一定(ding)的☎️裕(yu)量。若(ruo)配有(you)分段(duan)線性(xing)化功(gong)能的(de)顯示(shi)儀,在(zai)傳感(gan)器流(liu)量下(xia)限值(zhi)不能(neng)滿足(zu)實際(ji)最小(xiao)流量(liang)時,應(ying)要求(qiu)生産(chan)廠在(zai)實際(ji)最小(xiao)流量(liang)及其(qi)附近(jin)進行(hang)流量(liang)校驗(yan),将🏃♂️測(ce)得的(de)儀表(biao)系數(shu)輸入(ru)顯示(shi)儀,這(zhe)樣就(jiu)能既(ji)降🤩低(di)儀表(biao)的流(liu)量♻️下(xia)限值(zhi)✏️,還能(neng)保持(chi)測量(liang)的精(jing)度。 (3)精(jing)度等(deng)級 對(dui)于儀(yi)表精(jing)度等(deng)級的(de)要求(qiu)要慎(shen)重,應(ying)該從(cong)經濟(ji)角度(du)來考(kao)慮,例(li)♍如大(da)口徑(jing)輸油(you)(輸氣(qi))管線(xian)的貿(mao)易結(jie)算儀(yi)表,經(jing)濟上(shang)關系(xi)重大(da),在儀(yi)表上(shang)多投(tou)入是(shi)合算(suan)的。至(zhi)于輸(shu)送量(liang)不🤟大(da)或作(zuo)爲過(guo)程☁️控(kong)制用(yong)隻需(xu)中等(deng)精度(du)水平(ping)即可(ke),切忌(ji)盲目(mu)追求(qiu)精❤️度(du)。本安(an)型防(fang)爆傳(chuan)感器(qi)适配(pei)安全(quan)🈲栅型(xing)号及(ji)制造(zao)廠,核(he)查防(fang)爆等(deng)級及(ji)批準(zhun)文号(hao)等。若(ruo)要顯(xian)示質(zhi)量流(liu)量💋(或(huo)标準(zhun)狀态(tai)下體(ti)積流(liu)量)要(yao)選配(pei)壓力(li)、溫度(du)傳感(gan)器或(huo)密度(du)儀表(biao)。渦輪(lun)流👉量(liang)計顯(xian)示儀(yi)現已(yi)由🈲以(yi)微處(chu)理器(qi)爲基(ji)礎可(ke)與上(shang)位📧計(ji)算機(ji)進行(hang)通信(xin)的流(liu)量計(ji)計算(suan)機所(suo)包括(kuo),該儀(yi)表🐪在(zai)儀表(biao)功能(neng)及使(shi)用範(fan)圍等(deng)都遠(yuan)超過(guo)老式(shi)渦輪(lun)流量(liang)顯示(shi)儀。目(mu)前作(zuo)爲貿(mao)易計(ji)量的(de)各類(lei)型流(liu)量計(ji)都趨(qu)向于(yu)配有(you)直讀(du)式顯(xian)示裝(zhuang)置(如(ru)圖6所(suo)示)。不(bu)但有(you)總量(liang)計量(liang)的顯(xian)示,還(hai)可附(fu)加補(bu)償器(qi)(一台(tai)功能(neng)齊全(quan)的流(liu)量計(ji)算機(ji))輸🛀出(chu)遠🚶傳(chuan)信号(hao)。 (4)對流(liu)體的(de)要求(qiu) 渦輪(lun)流量(liang)計對(dui)流體(ti)的要(yao)求爲(wei)潔淨(jing)(或基(ji)本潔(jie)淨)、單(dan)🤩相或(huo)低粘(zhan)度的(de),常用(yong)流體(ti)舉例(li)如下(xia):一般(ban)流體(ti),包括(kuo)水、空(kong)氣、氧(yang)氣、高(gao)壓氫(qing)⭐氣、牛(niu)奶、咖(ka)啡等(deng);石油(you)化工(gong)類:汽(qi)💜油、輕(qing)油、噴(pen)氣燃(ran)料、輕(qing)柴油(you)、石腦(nao)油、乙(yi)烯、聚(ju)乙烯(xi)、苯乙(yi)烯、液(ye)化氣(qi)、二氧(yang)化碳(tan)及天(tian)然氣(qi);化學(xue)溶液(ye)類:氨(an)水、甲(jia)醇、鹽(yan)水等(deng);有機(ji)液體(ti):酒精(jing)、乙醚(mi)、苯、甲(jia)苯、二(er)甲苯(ben)、丁二(er)烯、四(si)氯化(hua)碳、甲(jia)基胺(an)、丙烯(xi)腈等(deng);無機(ji)液:甲(jia)醛、酢(zuo)酸、苛(ke)🐪性鈉(na)、二硫(liu)化碳(tan)等。對(dui)于腐(fu)蝕性(xing)介質(zhi),使用(yong)材質(zhi)選擇(ze)❤️要💯注(zhu)意,含(han)雜質(zhi)多及(ji)磨蝕(shi)性介(jie)質不(bu)推薦(jian)🌍使用(yong)。 (5)對液(ye)體粘(zhan)度的(de)要求(qiu) 液體(ti)渦輪(lun)流量(liang)計爲(wei)粘度(du)敏感(gan)的流(liu)量計(ji),當液(ye)體粘(zhan)🈲度增(zeng)㊙️大☀️時(shi),儀表(biao)系數(shu)的線(xian)性區(qu)變窄(zhai),下限(xian)流量(liang)增大(da),當粘(zhan)📱度增(zeng)加到(dao)一定(ding)數值(zhi)時,甚(shen)至無(wu)線性(xing)區域(yu)。螺旋(xuan)葉片(pian)的情(qing)況比(bi)✍️直葉(ye)片要(yao)好的(de)多。 對(dui)于液(ye)體,通(tong)常用(yong)水校(xiao)驗傳(chuan)感器(qi),當精(jing)度爲(wei)0.5級時(shi),可在(zai)🍓5×10-6mm2/s以下(xia)的液(ye)體而(er)不必(bi)考慮(lü)粘度(du)的影(ying)響。當(dang)流體(ti)粘度(du)高🏒于(yu)5×10-6mm2/s時,可(ke)用相(xiang)當粘(zhan)度的(de)液體(ti)校驗(yan)而不(bu)必作(zuo)粘度(du)修正(zheng)。此外(wai)也可(ke)采取(qu)一些(xie)措施(shi)來補(bu)償粘(zhan)度的(de)影響(xiang)。如縮(suo)小🙇🏻使(shi)用範(fan)圍度(du),提高(gao)流👈量(liang)下線(xian)值或(huo)儀表(biao)系數(shu)乘以(yi)雷諾(nuo)數修(xiu)正系(xi)數等(deng)。 粘度(du)對儀(yi)表系(xi)數的(de)影響(xiang)與傳(chuan)感器(qi)結構(gou)類型(xing)及參(can)🈲數口(kou)徑大(da)小等(deng)有關(guan)。有幾(ji)種粘(zhan)度對(dui)儀表(biao)系數(shu)影響(xiang)的表(biao)示方(fang)法:儀(yi)🧑🏽🤝🧑🏻表系(xi)數與(yu)雷諾(nuo)數的(de)關系(xi),在幾(ji)種粘(zhan)度下(xia),儀表(biao)系數(shu)與輸(shu)出頻(pin)率的(de)關系(xi)和儀(yi)表系(xi)數與(yu)輸出(chu)頻率(lü)除以(yi)運動(dong)年度(du)的比(bi)值的(de)關系(xi)等等(deng)。這些(xie)資料(liao)有的(de)生産(chan)廠準(zhun)備有(you)🧑🏽🤝🧑🏻,但并(bing)非所(suo)有的(de)生産(chan)廠都(dou)🌈有這(zhe)些資(zi)料⭐。 (6)對(dui)氣體(ti)密度(du)的要(yao)求 氣(qi)體渦(wo)輪流(liu)量計(ji)主要(yao)考慮(lü)流體(ti)密度(du)對儀(yi)表系(xi)數💚的(de)❄️影響(xiang)♻️,密度(du)的影(ying)響主(zhu)要在(zai)低流(liu)量區(qu)域,如(ru)圖14所(suo)示。密(mi)度🌏的(de)增大(da)(即👉壓(ya)力增(zeng)大)使(shi)特性(xing)曲線(xian)直線(xian)部分(fen)向☁️下(xia)限流(liu)量區(qu)域拓(tuo)展,傳(chuan)感器(qi)的範(fan)圍度(du)擴大(da),線性(xing)度🍉改(gai)善。若(ruo)氣體(ti)渦輪(lun)流☁️量(liang)計在(zai)常壓(ya)的空(kong)氣中(zhong)校驗(yan)使用(yong)時被(bei)測介(jie)質工(gong)作壓(ya)力不(bu)一樣(yang),其下(xia)限流(liu)量由(you)下✂️式(shi)計算(suan)qvmin,qvamin-分别(bie)爲壓(ya)力p和(he)壓力(li),pa(101.325kPa)下被(bei)測介(jie)質和(he)空氣(qi)的體(ti)積流(liu)量下(xia)限值(zhi)💃,m3/h;p,pa-分别(bie)爲工(gong)作壓(ya)力(絕(jue)壓)和(he)大氣(qi)壓(101.325kPa),kPa;d-被(bei)測介(jie)質的(de)相對(dui)密度(du),無量(liang)綱。 (7)體(ti)積流(liu)量換(huan)算到(dao)質量(liang)流量(liang) 渦輪(lun)流量(liang)計測(ce)量的(de)是實(shi)際體(ti)積流(liu)量,無(wu)論物(wu)料平(ping)衡或(huo)能源(yuan)✍️計🔅量(liang),介須(xu)測量(liang)介質(zhi)流量(liang)(即标(biao)準狀(zhuang)态下(xia)的體(ti)👅積流(liu)✌️量),這(zhe)是應(ying)由下(xia)式進(jin)行換(huan)算 式(shi)中 qv,qvn-分(fen)别爲(wei)工作(zuo)狀态(tai)和标(biao)準狀(zhuang)态下(xia)的體(ti)積流(liu)量,m3/h; p,T,Z-分(fen)别爲(wei)工作(zuo)狀态(tai)下絕(jue)對壓(ya)力(Pa),熱(re)力學(xue)溫度(du)(K)和氣(qi)體壓(ya)🔴縮系(xi)數🏃♂️; pn,Tn,Zn-分(fen)别爲(wei)标準(zhun)狀态(tai)下絕(jue)對壓(ya)力(Pa),熱(re)力學(xue)溫度(du)(K)和氣(qi)體壓(ya)縮系(xi)數; (8)不(bu)宜選(xuan)用渦(wo)輪流(liu)量計(ji)的場(chang)所 含(han)雜質(zhi)多的(de)流體(ti),如循(xun)環冷(leng)卻水(shui)、河水(shui)、排污(wu)水、燃(ran)油等(deng);流量(liang)急劇(ju)變化(hua)的場(chang)所,如(ru)鍋爐(lu)供水(shui)系統(tong)、有空(kong)氣錘(chui)的供(gong)氣系(xi)統等(deng);測量(liang)液體(ti)時,管(guan)道壓(ya)力不(bu)高而(er)流量(liang)又較(jiao)大,儀(yi)表下(xia)遊側(ce)壓力(li)可能(neng)接近(jin)飽和(he)蒸汽(qi)壓,有(you)産生(sheng)氣穴(xue)的危(wei)險,如(ru)液氨(an)從高(gao)位槽(cao)靠位(wei)能自(zi)由流(liu)出,在(zai)排放(fang)口處(chu)就不(bu)宜安(an)裝;電(dian)焊機(ji)、電動(dong)機、有(you)觸點(dian)的繼(ji)電器(qi)等的(de)附近(jin),存在(zai)嚴重(zhong)電磁(ci)幹擾(rao)的場(chang)所;上(shang)下遊(you)直管(guan)段長(zhang)度嚴(yan)重不(bu)足,如(ru)輪船(chuan)的機(ji)艙内(nei);鍋爐(lu)自動(dong)供水(shui)系統(tong)如頻(pin)繁地(di)起泵(beng)和停(ting)泵,對(dui)葉輪(lun)造成(cheng)沖擊(ji),使傳(chuan)感器(qi)很快(kuai)損壞(huai);有腐(fu)蝕性(xing)或磨(mo)蝕性(xing)介質(zhi)選型(xing)時應(ying)慎重(zhong),宜與(yu)制造(zao)廠聯(lian)系咨(zi)詢。 (9)經(jing)濟性(xing) 選用(yong)渦輪(lun)流量(liang)計用(yong)于精(jing)度佳(jia)場合(he),其經(jing)濟因(yin)素應(ying)多方(fang)面考(kao)🧡慮。儀(yi)表的(de)購置(zhi)費隻(zhi)是費(fei)用的(de)一部(bu)分,還(hai)應考(kao)🏒慮以(yi)✍️下幾(ji)方面(mian)的開(kai)支:安(an)裝用(yong)輔助(zhu)設備(bei)費(如(ru)👈消氣(qi)器、過(guo)濾器(qi)等)或(huo)旁路(lu)支管(guan)包括(kuo)閥門(men)等;校(xiao)驗費(fei),爲了(le)保持(chi)㊙️精度(du)必須(xu)經常(chang)校驗(yan),甚至(zhi)在現(xian)場安(an)裝一(yi)套在(zai)線校(xiao)驗裝(zhuang)置,其(qi)費用(yong)相當(dang)可觀(guan);維護(hu)費,渦(wo)輪流(liu)🔞量計(ji)的易(yi)損件(jian)更換(huan)用,他(ta)是保(bao)持高(gao)性能(neng)必需(xu)的。 (10)選(xuan)用步(bu)驟 1)确(que)認可(ke)用的(de)測量(liang)對象(xiang),如前(qian)所述(shu)。 2)選擇(ze)型式(shi)。按流(liu)體物(wu)性選(xuan)擇,氣(qi)體和(he)液體(ti)分别(bie)用氣(qi)體型(xing)和液(ye)體型(xing),不能(neng)通用(yong)。在工(gong)作狀(zhuang)态下(xia)液體(ti)粘度(du)超過(guo)5mPa.s應選(xuan)用粘(zhan)度型(xing)(國内(nei)尚無(wu)定型(xing)産品(pin))。酸性(xing)腐蝕(shi)性液(ye)體選(xuan)用耐(nai)酸型(xing)(國内(nei)尚無(wu)定型(xing)産品(pin))。 按環(huan)境條(tiao)件選(xuan)擇,按(an)環境(jing)溫度(du)和濕(shi)度等(deng)選擇(ze)合适(shi)儀🆚表(biao),如周(zhou)圍有(you)爆炸(zha)易燃(ran)性氣(qi)氛應(ying)選防(fang)爆型(xing)傳感(gan)器。 按(an)管道(dao)連接(jie)方式(shi)選擇(ze),傳感(gan)器有(you)水平(ping)和垂(chui)直兩(liang)種🧑🏾🤝🧑🏼安(an)👌裝方(fang)式。水(shui)平安(an)裝時(shi)與管(guan)道連(lian)接方(fang)式有(you)法蘭(lan)連接(jie)、螺紋(wen)連接(jie)和夾(jia)裝連(lian)接。中(zhong)等口(kou)徑選(xuan)用法(fa)蘭連(lian)接,小(xiao)口徑(jing)🐇和高(gao)壓管(guan)道選(xuan)用螺(luo)紋連(lian)接,夾(jia)裝連(lian)接隻(zhi)适用(yong)于低(di)壓中(zhong)小管(guan)徑。垂(chui)直安(an)裝隻(zhi)有螺(luo)紋連(lian)接。 3)選(xuan)擇規(gui)格。按(an)現場(chang)使用(yong)條件(jian),如流(liu)量範(fan)圍、管(guan)徑、流(liu)體壓(ya)㊙️力♌和(he)溫度(du)🏃♂️、安裝(zhuang)位置(zhi)等和(he)性能(neng)要求(qiu),如精(jing)度、重(zhong)複💯性(xing)、顯示(shi)方式(shi)等👣參(can)照制(zhi)造廠(chang)選型(xing)樣本(ben)或使(shi)用說(shuo)明書(shu)選定(ding)具體(ti)規🈲格(ge)型号(hao),也有(you)可能(neng)找不(bu)到合(he)适的(de),隻好(hao)另選(xuan)其它(ta)流量(liang)計。 由(you)于渦(wo)輪流(liu)量計(ji)類型(xing)規格(ge)繁多(duo),特别(bie)是不(bu)同制(zhi)造廠(chang)産品(pin)♍質量(liang)有差(cha)别,必(bi)須盡(jin)量搜(sou)集有(you)關标(biao)準等(deng)資料(liao)進行(hang)反複(fu)調查(cha)比較(jiao)後再(zai)決定(ding)取舍(she)。 第六(liu)節 安(an)裝注(zhu)意事(shi)項 傳(chuan)感器(qi)應安(an)裝在(zai)便于(yu)維修(xiu),管道(dao)無振(zhen)動、無(wu)強電(dian)磁幹(gan)擾與(yu)熱🥰輻(fu)射影(ying)響的(de)場所(suo)。液體(ti)渦輪(lun)流量(liang)計的(de)典型(xing)安裝(zhuang)管💛路(lu)系🤩統(tong)如圖(tu)7所示(shi)。圖中(zhong)各部(bu)分的(de)配置(zhi)可視(shi)被測(ce)對象(xiang)情況(kuang)而定(ding)💛,并不(bu)一定(ding)全部(bu)都需(xu)要。渦(wo)輪流(liu)量計(ji)對管(guan)道内(nei)流速(su)分布(bu)畸🔴變(bian)及旋(xuan)轉流(liu)是敏(min)感的(de),進入(ru)傳感(gan)器應(ying)爲充(chong)分發(fa)展管(guan)流,因(yin)此要(yao)根據(ju)傳👈感(gan)器上(shang)遊側(ce)阻🔞流(liu)件類(lei)型配(pei)備必(bi)要的(de)直管(guan)段或(huo)流動(dong)調整(zheng)器,如(ru)表2所(suo)🔴示。若(ruo)上遊(you)側阻(zu)流🍉件(jian)情況(kuang)不明(ming)确,一(yi)般推(tui)薦上(shang)遊直(zhi)管段(duan)長度(du)不小(xiao)于20D,下(xia)遊⭕直(zhi)管段(duan)長度(du)不小(xiao)于5D,如(ru)安裝(zhuang)空間(jian)不能(neng)滿足(zu)上述(shu)要求(qiu),可在(zai)阻🆚流(liu)件與(yu)傳感(gan)器之(zhi)間安(an)裝流(liu)動調(diao)整器(qi)。傳感(gan)器安(an)裝在(zai)室外(wai)時,應(ying)有避(bi)直射(she)陽光(guang)和防(fang)雨淋(lin)的措(cuo)施。 表2 渦(wo)輪流(liu)量計(ji)所要(yao)求的(de)最短(duan)直管(guan)段長(zhang)度
以(yi)上内(nei)容來(lai)源于(yu)網絡(luo),如有(you)侵權(quan)請聯(lian)系即(ji)删除(chu)!
·