91在线视频 基于HART協議的智能電磁流量計-江蘇省速惠自动化制造有限公司

 

 

;                  
                 
        首   頁(ye)│  公司(si)簡介(jie)  産品(pin)中心(xin)  質量(liang)體系(xi)  銷售(shou)網絡(luo)  聯系(xi)我們(men)
 
  電(dian)磁流(liu)量計(ji)的♊91在线视频🤟工(gong)作原(yuan)理
 
  有害(hai)氣體(ti)檢測(ce)報警(jing)儀選(xuan)用原(yuan)則
  我(wo)國計(ji)量用(yong)儀器(qi)儀表(biao)的發(fa)展和(he)現狀(zhuang)
  國内(nei)儀器(qi)儀表(biao)行業(ye)将發(fa)生高(gao)科....
  西(xi)安交(jiao)大研(yan)制出(chu)超高(gao)溫沖(chong)擊壓(ya)....
  簡(jian)述幾(ji)種氣(qi)體檢(jian)測傳(chuan)感器(qi).....
  利用(yong)傳感(gan)器技(ji)術制(zhi)造智(zhi)能服(fu)裝
  新(xin)型傳(chuan)感器(qi)監控(kong)魚群(qun)數量(liang)
   
 
時間(jian):2022-6-16 08:57:03

基于(yu)HART協議(yi)的智(zhi)能電(dian)磁流(liu)量計(ji)

摘要(yao):針對(dui)儀表(biao)使用(yong)現狀(zhuang),介紹(shao)一種(zhong)具有(you)HART協議(yi)的智(zhi)能式(shi)電磁(ci)流量(liang)計 。設(she)計了(le)以HART通(tong)信模(mo)塊HT2012和(he)AD7715、AD421爲主(zhu)要芯(xin)片的(de)智能(neng)電磁(ci)流量(liang)計的(de)接口(kou)卡。
1電(dian)磁流(liu)量計(ji)
  電磁(ci)流量(liang)計 的(de)基本(ben)原理(li)是法(fa)拉第(di)電磁(ci)感應(ying)定律(lü),即導(dao)體在(zai)磁場(chang)中🏃‍♀️切(qie)割磁(ci)力線(xian)運動(dong)時在(zai)其兩(liang)端産(chan)生感(gan)應電(dian)動勢(shi)。
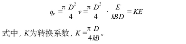
E=KBDν
  式中(zhong)E:感應(ying)電動(dong)勢,B:磁(ci)感應(ying)強度(du),D:管道(dao)直徑(jing),ν:流體(ti)平均(jun)速度(du)。流體(ti)的體(ti)積流(liu)量qv爲(wei):
 
  電磁(ci)流量(liang)計分(fen)爲流(liu)量傳(chuan)感器(qi)和轉(zhuan)換器(qi)兩部(bu)分。傳(chuan)感器(qi)🐇包😍括(kuo)測量(liang)管,激(ji)磁線(xian)圈,電(dian)極等(deng),将流(liu)量信(xin)号轉(zhuan)換爲(wei)感應(ying)🌈電勢(shi),由電(dian)極引(yin)🎯出;轉(zhuan)換器(qi)将E轉(zhuan)換爲(wei)标準(zhun)信号(hao)輸🈲出(chu),以便(bian)進行(hang)計數(shu)測量(liang)。
  電磁(ci)流量(liang)計的(de)測量(liang)優點(dian)很多(duo),(1)它的(de)測量(liang)管是(shi)光滑(hua)📱直管(guan),不易(yi)阻塞(sai),适用(yong)于測(ce)量含(han)有固(gu)體顆(ke)粒或(huo)纖維(wei)的液(ye)固兩(liang)相流(liu)體,如(ru)紙漿(jiang)✂️、煤水(shui)漿、礦(kuang)漿、泥(ni)漿和(he)污水(shui)等;(2)它(ta)的壓(ya)力損(sun)🈲失小(xiao),且前(qian)置直(zhi)管段(duan)要求(qiu)較低(di);(3)輸出(chu)線性(xing),且其(qi)體積(ji)流量(liang)不受(shou)流體(ti)密度(du)、粘度(du)、溫度(du)、壓.力(li)🈲和導(dao)電率(lü)變化(hua)的影(ying)響,抗(kang)幹擾(rao)能力(li)強♻️;(4)測(ce)量範(fan)圍大(da)♌,量程(cheng)比大(da),通常(chang)☂️可達(da)20:1~50:1;(5)測量(liang)口徑(jing)範圍(wei)寬,從(cong)幾mm到(dao)3m,可測(ce)正反(fan)雙向(xiang)流量(liang),也可(ke)測脈(mo)動流(liu)量。但(dan)它不(bu)能測(ce)電導(dao)率低(di)的液(ye)體,不(bu)能測(ce)氣體(ti)、蒸汽(qi)和含(han)有🔅較(jiao)🍉多較(jiao)大氣(qi)泡的(de)液體(ti)的流(liu)量,如(ru)石油(you)制品(pin),有機(ji)溶劑(ji)等。
  智(zhi)能化(hua)的電(dian)磁流(liu)量計(ji)是數(shu)字信(xin)号和(he)模拟(ni)信号(hao)混合(he)的變(bian)送🐅器(qi),在普(pu)通電(dian)磁流(liu)量計(ji)的基(ji)礎上(shang)結合(he)HART通信(xin)協議(yi),可以(yi)實現(xian)流量(liang)儀㊙️表(biao)智能(neng)化,适(shi)應現(xian)場總(zong)線控(kong)制系(xi)統的(de)要求(qiu)。
2HART協議(yi)
  HART(HighAddressableRenoteTransducer可尋(xun)址遠(yuan)程傳(chuan)感器(qi)高速(su)通道(dao))通信(xin)協議(yi)是一(yi)種過(guo)♉渡性(xing)協議(yi),它參(can)照“ISO/OSI”的(de)模型(xing)标準(zhun),簡化(hua)并引(yin)用其(qi)中三(san)層,即(ji)物理(li)層,數(shu)據鏈(lian)路層(ceng)和應(ying)用層(ceng)制定(ding)而成(cheng);采用(yong)FSK(頻移(yi)鍵💔控(kong))技術(shu)🍓,在一(yi)條電(dian)纜線(xian)上同(tong)時傳(chuan)輸4~20mADC的(de)模拟(ni)信号(hao)和數(shu)字信(xin)号,使(shi)模拟(ni)信号(hao)和數(shu)字雙(shuang)向通(tong)訊能(neng)同時(shi)進行(hang),互☂️不(bu)幹擾(rao)。如圖(tu)1,在4~20mADC基(ji)礎_上(shang)疊加(jia)幅度(du)爲±0.5mA的(de)🌏不同(tong)頻率(lü)的👌正(zheng)弦調(diao)制波(bo)作爲(wei)數字(zi)信号(hao),1200Hz頻率(lü)🤞代表(biao)邏輯(ji)“1”,2200Hz代表(biao)邏輯(ji)“0”。其傳(chuan)送速(su)率爲(wei)1200bit/S。
 
  HART通信(xin)可以(yi)有點(dian)對點(dian)或多(duo)點連(lian)接模(mo)式。傳(chuan)輸介(jie)質一(yi)般爲(wei)㊙️雙🏃纜(lan)線;當(dang)傳輸(shu)線路(lu)較長(zhang)時,可(ke)用屏(ping)蔽雙(shuang)絞線(xian)。HT2012是專(zhuan)門爲(wei)HART産品(pin)而設(she)計生(sheng)産的(de),具有(you)價格(ge)便宜(yi)、功耗(hao)低的(de)特點(dian)。它包(bao)括調(diao)制⛷️器(qi)、解調(diao)器、載(zai)波監(jian)測電(dian)路和(he)時基(ji)電路(lu),如圖(tu)2。時基(ji)電路(lu)外接(jie).460.8kH的振(zhen)蕩頻(pin)率信(xin)号,調(diao)制器(qi)将由(you)IIXD引腳(jiao)輸入(ru)的數(shu)字信(xin)号調(diao)制成(cheng)FSK信号(hao),從OXTA端(duan)💛輸出(chu);解調(diao)器将(jiang)從RXA引(yin)腳輸(shu)入的(de)FSK信号(hao)解調(diao)成數(shu)字信(xin)♊号,由(you)ORXD端輸(shu)出。調(diao)制器(qi)和解(jie)調器(qi)的工(gong)🎯作受(shou)NRTS端輸(shu)入電(dian)平的(de)控制(zhi),NRTS端子(zi)與CPU的(de)🈲I/O口相(xiang)連,可(ke)以由(you)CPU來控(kong)制調(diao)制器(qi)💋和解(jie)調器(qi)🔞的工(gong)作狀(zhuang)态,其(qi)通信(xin)爲半(ban)雙工(gong)方式(shi)。當NRTS輸(shu)💔入爲(wei)低電(dian)平“0”時(shi),調制(zhi)器工(gong)作,解(jie)調器(qi)輸出(chu)🚩不定(ding);當NRTS端(duan)輸入(ru)爲高(gao)電平(ping)“1”時,解(jie)調器(qi)工作(zuo),調制(zhi)器呈(cheng)高阻(zu)狀态(tai)。
 
  HART協議(yi)通信(xin)電路(lu)由CPU、數(shu)模轉(zhuan)換器(qi)AD421、HART通信(xin)模塊(kuai)HT2012、波形(xing)整形(xing)電路(lu)和💃帶(dai)通🔞濾(lü)波器(qi)組成(cheng)。CPU輸出(chu)的與(yu)被測(ce)參數(shu)成比(bi)例的(de)數字(zi)信号(hao),經AD421轉(zhuan)換爲(wei)4~20mA電流(liu)輸出(chu)。同時(shi),需進(jin)行數(shu)字通(tong)信🐅的(de)二進(jin)制數(shu)字信(xin)号由(you)串行(hang)口發(fa)送端(duan)RX輸出(chu)至HT2012調(diao)制爲(wei)🚶‍♀️FSK信号(hao),再經(jing)波形(xing)整形(xing)電路(lu)送至(zhi)🤩AD421,疊加(jia)到4~20mA直(zhi)🍉流信(xin)号上(shang)。
3AD7715和AD421
  AD7715是(shi)一種(zhong)帶有(you)模拟(ni)前置(zhi)放大(da)器的(de)A/D轉換(huan)芯片(pian),是一(yi)種用(yong)于低(di)頻測(ce)量的(de)芯片(pian),它可(ke)直接(jie)接受(shou)電磁(ci)流量(liang)計的(de)直流(liu)低電(dian)平輸(shu)入🔴信(xin)号并(bing)輸出(chu)串行(hang)數字(zi)信号(hao)。該芯(xin)片采(cai)用2A轉(zhuan)換🔴技(ji)術,具(ju)有16位(wei)的精(jing)度高(gao)模數(shu)轉換(huan)特性(xing),有良(liang)好的(de)抗幹(gan)擾性(xing),有自(zi)校準(zhun)和系(xi)統校(xiao)準的(de)功🐪能(neng),可以(yi)消除(chu)零點(dian)誤差(cha),滿量(liang)程誤(wu)差和(he)溫度(du)漂移(yi)的影(ying)響。AD7715的(de)模拟(ni)輸入(ru)爲差(cha)動方(fang)式💜,有(you)單極(ji)性和(he)雙⭐極(ji)性輸(shu)入,信(xin)号🏃🏻範(fan)圍可(ke)選。前(qian)置放(fang)大器(qi)有1、2、32、128四(si)種增(zeng)益可(ke)選,有(you)4個片(pian)内寄(ji)存器(qi),對🏃🏻它(ta)的編(bian)程可(ke)以實(shi)現增(zeng)益選(xuan)擇、信(xin)号極(ji)性、輸(shu)出數(shu)據速(su)率、自(zi)動校(xiao)準和(he)AD轉換(huan)等⁉️功(gong)能。這(zhe)裏用(yong)AD7715作爲(wei)模數(shu)轉換(huan)芯片(pian)。
  AD421是一(yi)種16位(wei)串行(hang)輸入(ru)、4~20mADC電流(liu)輸出(chu)的數(shu)模轉(zhuan)換器(qi),非線(xian)形誤(wu)差小(xiao)于±0.01%。主(zhu)要由(you)數模(mo)轉換(huan)器,電(dian)流轉(zhuan)換器(qi)和電(dian)流調(diao)整器(qi)👅組成(cheng)㊙️。AD421的電(dian)流輸(shu)♊出有(you)正常(chang)和報(bao)警兩(liang)種模(mo)式。正(zheng)常模(mo)式對(dui)應4~20mADC輸(shu)出,報(bao)警模(mo)式輸(shu)出電(dian)流擴(kuo)展爲(wei)3.5~20mADC。電壓(ya)調整(zheng)器由(you)運放(fang)能隙(xi)基準(zhun)和外(wai)接耗(hao)盡型(xing)場效(xiao)應管(guan)構成(cheng)。電壓(ya)調整(zheng)器從(cong)電流(liu)回路(lu)中獲(huo)取電(dian)流,,并(bing)給AD421及(ji)其他(ta)器🙇‍♀️件(jian)提供(gong)工作(zuo)電流(liu)。在此(ci)設計(ji)中,選(xuan)擇AD421作(zuo)爲數(shu)模轉(zhuan)換芯(xin)片,它(ta)可以(yi)爲其(qi)他芯(xin)片提(ti)供工(gong)作電(dian)壓,還(hai)可以(yi)将CPU輸(shu)入的(de)數字(zi)信号(hao)轉換(huan)爲4~20mADC電(dian)流輸(shu)出,并(bing)将數(shu)字信(xin)号疊(die)加在(zai)4~20mADC電🆚流(liu)上一(yi)起輸(shu)出。
4智(zhi)能式(shi)電磁(ci)流量(liang)計
 
  圖(tu)3爲采(cai)用HART通(tong)信技(ji)術的(de)智能(neng)式電(dian)磁流(liu)量計(ji)的原(yuan)理框(kuang)🚶‍♀️圖🙇🏻,整(zheng)個系(xi)💁統由(you)電磁(ci)流量(liang)計、CPU、AD7715、AD421和(he)HT2012通信(xin)部分(fen)組成(cheng)。CPU采用(yong)MCS-51微處(chu)理器(qi)。流量(liang)信✉️号(hao)g.經電(dian)磁流(liu)量計(ji)轉換(huan)後,輸(shu)出的(de)0~5V電壓(ya)信号(hao)加在(zai)AD7715的輸(shu)入端(duan)上,經(jing)過AD7715轉(zhuan)🛀🏻換爲(wei)數字(zi)信号(hao)實現(xian)A/D采樣(yang);AD7715采用(yong)三線(xian)串行(hang)口與(yu)CPU相連(lian)。HART通信(xin)部分(fen)由HT2012、帶(dai)通濾(lü)波器(qi)和輸(shu)出波(bo)形整(zheng)形電(dian)路等(deng)🈲組成(cheng)。AD421及電(dian)壓🧑🏽‍🤝‍🧑🏻調(diao)整電(dian)路,将(jiang)CPU輸🔴出(chu)的數(shu)字信(xin)号轉(zhuan)換爲(wei)4~20mADC電流(liu)信号(hao),作爲(wei)整機(ji)輸⭐出(chu),實現(xian)D/A轉換(huan)。另外(wai),由HART通(tong)信🐇模(mo)塊輸(shu)出的(de)經過(guo)整形(xing)後的(de)FSK信号(hao),也經(jing)AD421-起疊(die)加輸(shu)出,實(shi)現數(shu)字信(xin)号和(he)模拟(ni)信号(hao)同時(shi)輸出(chu)。AD421自帶(dai)的💁電(dian)壓調(diao)整電(dian)路可(ke)将變(bian)送器(qi)的24V供(gong)電電(dian)壓轉(zhuan)換成(cheng)穩定(ding)的5V電(dian)壓,給(gei)CPU、A/D.D/A等芯(xin)片⭕供(gong)電。系(xi)統還(hai)配備(bei)了WDT監(jian)控電(dian)路,和(he)電磁(ci)流量(liang)計的(de)勵磁(ci)電路(lu)。
  該系(xi)統的(de)軟件(jian)有測(ce)控程(cheng)序和(he)通信(xin)程序(xu)。測控(kong)程序(xu)🐉包括(kuo)A/ID采🍓樣(yang)程序(xu)、量程(cheng)轉換(huan)程序(xu)、非線(xian)性補(bu)償程(cheng)序、D/A轉(zhuan)換程(cheng)❤️序等(deng)🐆;通信(xin)程序(xu)包括(kuo)實現(xian)HART協議(yi)數據(ju)鏈路(lu)層和(he)應用(yong)層🌈的(de)軟件(jian)。

本文(wen)來源(yuan)于網(wang)絡,如(ru)有侵(qin)權聯(lian)系即(ji)删除(chu)!


下篇(pian)文章(zhang): 渦街(jie)流量(liang)計在(zai)貿易(yi)計量(liang)上應(ying)用 上(shang)篇文(wen)章: 體(ti)粘度(du)對渦(wo)輪流(liu)量計(ji)計量(liang)特性(xing)影響(xiang)
 
江蘇(su)省速惠自动化制造有限公司是(shi)一家(jia)專業(ye)提供(gong) 渦街(jie)流量(liang)計 渦(wo)輪流(liu)量計(ji) 電磁(ci)流量(liang)計 的(de)企業(ye),公司(si)将以(yi)優質(zhi)的服(fu)務優(you)惠的(de)價格(ge),服務(wu)新老(lao)客戶(hu)。
 版權(quan)所有(you):江蘇(su)省速惠自动化制造有限公司       技(ji)術支(zhi)持易(yi)品網(wang)絡

·
·