岛国毛片 四電極外流式電磁流量計仿真與研究-江蘇省速惠自动化制造有限公司

 

;                  
                   
        首   頁(ye)│  公司(si)簡介(jie)  産品(pin)中心(xin)  質量(liang)體系(xi)  銷售(shou)網絡(luo)  聯系(xi)我們(men)
 
  溫度(du)儀表(biao)系列(lie)
  流量(liang)儀表(biao)系列(lie)
  校驗(yan)儀表(biao)系列(lie)
  顯示(shi)儀表(biao)系列(lie)
  變送(song)器儀(yi)表系(xi)列
  電(dian)線電(dian)纜系(xi)列
聯系(xi)方式(shi)
      
      
   (拓(tuo)展部(bu)):
     傳真(zhen):
  節假(jia)日商(shang)務聯(lian)系電(dian)話:
  何(he)經理(li):
  劉經(jing)理:
  郵(you)編:211600
 網(wang)址:/
    http://banyunshe.cc/
 E-mail:[email protected]
     [email protected]
 地(di)址:江(jiang)蘇省(sheng)金湖(hu)縣工(gong)業園(yuan)區環(huan)城西(xi)
 路269号(hao)
  時(shi)間:2022-7-25 09:30:11

渦(wo)街流(liu)是計(ji)壓電(dian)探頭(tou)最優(you)測量(liang)方法(fa)

摘要(yao):針對(dui)渦街(jie)式流(liu)速傳(chuan)感器(qi)中電(dian)信号(hao)微弱(ruo)并且(qie)提取(qu)⭕特征(zheng)⛹🏻‍♀️渦街(jie)信号(hao)困難(nan),基于(yu)壓電(dian)方程(cheng)和湍(tuan)流N-S方(fang)程,建(jian)立了(le)流-固(gu)-電耦(ou)合仿(pang)真計(ji)算模(mo)型,構(gou)建了(le)流速(su)測量(liang)的⛹🏻‍♀️新(xin)方法(fa)。通過(guo)理論(lun)分析(xi)和風(feng)洞實(shi)驗,獲(huo)得了(le)圓柱(zhu)繞流(liu)😘體直(zhi)徑(D)、空(kong)氣流(liu)速(v)與(yu)壓電(dian)傳感(gan)距離(li)()以及(ji)功率(lü)(P)之間(jian)的影(ying)響規(gui)律。仿(pang)真計(ji)算和(he)實驗(yan)結果(guo)表明(ming)😄:通過(guo)提取(qu)頻☁️域(yu)曲線(xian)中渦(wo)激頻(pin)率下(xia)的功(gong)率作(zuo)🔆爲渦(wo)街的(de)傳感(gan)強度(du),有🌈助(zhu)于感(gan)知微(wei)弱的(de)空氣(qi)流速(su)信号(hao),同時(shi)解決(jue)噪聲(sheng)等電(dian)🔞路上(shang)的幹(gan)擾影(ying)響。其(qi)次,D增(zeng)加,最(zui)優傳(chuan)感距(ju)🎯離(Losr)增(zeng)加;D不(bu)變時(shi),功率(lü)(Posr)随流(liu)速增(zeng)大而(er)提高(gao),且Losr不(bu)變;通(tong)過分(fen)析得(de)出了(le)🔞采集(ji)信号(hao)在Losr下(xia)最優(you)的本(ben)⁉️質原(yuan)因一(yi)在該(gai)處,渦(wo)街成(cheng)熟且(qie)脫落(luo)穩定(ding)、升力(li)系數(shu)(CL)穩定(ding)。最後(hou),該壓(ya)電裝(zhuang)置測(ce)量的(de)最低(di)流速(su)爲0.3m/s.
  渦(wo)激振(zhen)動(VIV)是(shi)一種(zhong)典型(xing)的流(liu)緻振(zhen)動(FIV)。結(jie)構的(de)非流(liu)線型(xing)會導(dao)緻其(qi)在流(liu)體的(de)作用(yong)力下(xia)産生(sheng)周期(qi)性旋(xuan)渦脫(tuo)落,使(shi)結構(gou)受到(dao)與流(liu)向垂(chui)直的(de)周期(qi)性氣(qi)動力(li),進而(er)激發(fa)結構(gou)的橫(heng)向振(zhen)動川(chuan)由于(yu)流體(ti)流速(su)與旋(xuan)渦脫(tuo)落頻(pin)率有(you)對應(ying)關🙇🏻系(xi),因此(ci)常制(zhi)作成(cheng)多種(zhong)空氣(qi)流速(su)傳感(gan)器,例(li)如,基(ji)于上(shang)述渦(wo)街振(zhen)動原(yuan)㊙️理研(yan)制的(de)渦街(jie)流量(liang)計 ,工(gong)業級(ji)的渦(wo)街流(liu)量計(ji)主要(yao)易受(shou)環境(jing)噪聲(sheng)的幹(gan)擾,導(dao)緻其(qi)對低(di)🈲速不(bu)敏感(gan)。同時(shi),空氣(qi)流速(su)傳感(gan)器廣(guang)泛應(ying)用于(yu)畜禽(qin)舍✊環(huan)境控(kong)制,風(feng)能采(cai)集,流(liu)量檢(jian)測,氣(qi)象監(jian)控,等(deng)領域(yu)[2-4]。例如(ru),在畜(chu)禽環(huan)境監(jian)測領(ling)域,通(tong)風時(shi)流📧速(su)太快(kuai)引起(qi)畜禽(qin)強烈(lie)的應(ying)激反(fan)應或(huo)因局(ju)部溫(wen)度驟(zhou)降導(dao)緻畜(chu)禽強(qiang)感冒(mao),或造(zao)成畜(chu)禽的(de)生産(chan)性能(neng)、免🧑🏾‍🤝‍🧑🏼疫(yi)能力(li)、生長(zhang)速度(du)等下(xia)降'因(yin)此🐪,對(dui)畜禽(qin)舍通(tong)風裝(zhuang)置的(de)流速(su)檢測(ce)尤其(qi)👄重要(yao)。傳.統(tong)FIV傳感(gan)器多(duo)采用(yong)機械(xie)轉動(dong)結構(gou),其結(jie)構複(fu)雜,對(dui)加工(gong)精度(du)和機(ji)械穩(wen)定性(xing)都有(you)較高(gao)的要(yao)求7。而(er)近.年(nian)來利(li)用壓(ya)電材(cai)料作(zuo)傳感(gan)元件(jian)研制(zhi)的FIV傳(chuan)感器(qi),其不(bu)需要(yao)轉動(dong)部件(jian),且叮(ding)與微(wei)機電(dian)系統(tong)(MEMS)集成(cheng),因此(ci)易于(yu)微型(xing)化。
  目(mu)前,VIV傳(chuan)感器(qi)主要(yao)采用(yong)兩種(zhong)壓電(dian)材料(liao)作爲(wei)傳感(gan)元🔞件(jian):锆钛(tai)🈲酸鉛(qian)壓電(dian)陶瓷(ci)(PZT)和聚(ju)偏二(er)氟乙(yi)烯(PVDF)。PVDF薄(bao)膜由(you)于㊙️其(qi)高柔(rou)性的(de)特點(dian),适用(yong)于交(jiao)變載(zai)荷的(de)感知(zhi)121。然而(er),壓電(dian)式流(liu)渦激(ji)振動(dong)(PVIV)流速(su)傳感(gan)器還(hai)有許(xu)⚽多不(bu)完善(shan)的🈲地(di)方。特(te)别是(shi)檢測(ce)低🛀流(liu)場流(liu)速時(shi)(流速(su)低👈于(yu)2m/s),渦街(jie)壓電(dian)信号(hao)微弱(ruo),同時(shi)測量(liang)現場(chang)的噪(zao)聲十(shi)擾相(xiang)對較(jiao)強,造(zao)成渦(wo)街特(te)征♋信(xin)号提(ti)取的(de)困難(nan)。比如(ru)測量(liang)過程(cheng)中,壓(ya)電元(yuan)件🔱自(zi)身受(shou)流場(chang)擾動(dong)産生(sheng)的信(xin)号、風(feng)洞系(xi)統産(chan)🌂生的(de)噪聲(sheng)信号(hao)等,會(hui)把渦(wo)街特(te)征信(xin)号淹(yan)沒。針(zhen)對㊙️這(zhe)一問(wen)題,許(xu)多學(xue)者對(dui)PVIV流速(su)傳感(gan)器展(zhan)開了(le)全面(mian)的研(yan)究,如(ru)繞流(liu)體的(de)形狀(zhuang)和排(pai)布、電(dian)路檢(jian)測方(fang)式以(yi)及信(xin)号提(ti)取方(fang)法17-19,提(ti)高了(le)空☀️氣(qi)🏃‍♂️流速(su)測量(liang)精度(du)和範(fan)圍。
  PVIV流(liu)速傳(chuan)感器(qi)的結(jie)構采(cai)用圓(yuan)形或(huo)梯形(xing)旋渦(wo)繞流(liu)體和(he)PZT或PVDF薄(bao)膜爲(wei)傳感(gan)元件(jian)組成(cheng)。研究(jiu)發現(xian),改變(bian)繞流(liu)體直(zhi)徑會(hui)導緻(zhi)繞📧流(liu)與傳(chuan)感❄️器(qi)元件(jian)之間(jian)的距(ju)離不(bu)同。這(zhe)表明(ming),漩渦(wo)測量(liang)位置(zhi)和繞(rao)流體(ti)直徑(jing)将影(ying)響PVIV檢(jian)測精(jing)度。針(zhen)對上(shang)述問(wen)題,提(ti)出了(le)一種(zhong)基于(yu)PVIV流⭐速(su)傳感(gan)裝置(zhi)。該裝(zhuang)置由(you)圓柱(zhu)繞流(liu)體和(he)PVDF壓電(dian)懸臂(bi)梁組(zu)成。利(li)用數(shu)值模(mo)拟方(fang)☂️法研(yan)究渦(wo)街流(liu)場特(te)性,分(fen)析傳(chuan)感器(qi)結構(gou)參數(shu)對渦(wo)街響(xiang)應信(xin)号檢(jian)測的(de)影響(xiang)規律(lü)。采用(yong)通過(guo)提取(qu)頻域(yu)曲線(xian)中渦(wo)激頻(pin)率下(xia)的功(gong)率🌈作(zuo)爲渦(wo)街的(de)傳感(gan)強⛱️度(du),增強(qiang)了感(gan)知微(wei)弱的(de)流速(su)響應(ying)信号(hao),月能(neng)夠解(jie)決噪(zao)聲等(deng)❓電路(lu)上的(de)幹擾(rao)影響(xiang),擴大(da)了對(dui)低🔞流(liu)速的(de)檢測(ce)能力(li)。爲高(gao)靈敏(min)👉.快響(xiang)應的(de)空氣(qi)流速(su)傳🧑🏽‍🤝‍🧑🏻感(gan)器件(jian)的設(she)計及(ji)測量(liang)提♊供(gong)新的(de)✔️探測(ce)方法(fa)。
1壓電(dian)渦激(ji)振動(dong)流速(su)傳感(gan)裝置(zhi)
1.1傳感(gan)結構(gou)
  本文(wen)PVIV流速(su)傳感(gan)裝置(zhi)的結(jie)構如(ru)圖1所(suo)示。該(gai)結構(gou)由圓(yuan)柱繞(rao)流體(ti)和PVDF壓(ya)電懸(xuan)臂梁(liang)構成(cheng),其.中(zhong)懸臂(bi)梁由(you)表面(mian)塗有(you)銀電(dian)極層(ceng)的PVDF薄(bao)膜組(zu)🤩成;同(tong)時,靠(kao)近圓(yuan)柱繞(rao)流體(ti)一側(ce)的PVDF壓(ya)電懸(xuan)臂梁(liang)端部(bu)固支(zhi)。圓柱(zhu)繞流(liu)體直(zhi)徑D=7mm,圓(yuan)柱體(ti)中心(xin)距PVDF壓(ya)電懸(xuan)臂梁(liang)固支(zhi)端距(ju)離爲(wei)L,人射(she)流速(su)♻️爲v,其(qi)方向(xiang)垂直(zhi)于圓(yuan)柱體(ti)表面(mian)。仿真(zhen)計算(suan)時,D值(zhi)的範(fan)✨圍爲(wei)30mm~70mm,u值範(fan)圍爲(wei)0.3m/s~2.5m/s,L值的(de)範圍(wei)爲50mm~170mm。爲(wei)了簡(jian)化計(ji)算和(he)控制(zhi)多餘(yu)變量(liang),PVDF壓電(dian)懸臂(bi)梁高(gao)💔度h設(she)定爲(wei)30mm。當外(wai)界來(lai)流作(zuo)用時(shi),PVDF壓電(dian)懸臂(bi)梁結(jie)構産(chan)生振(zhen)蕩,根(gen)據壓(ya)⭐電效(xiao)應,壓(ya)電層(ceng)的變(bian)🔴形使(shi)其衣(yi)面聚(ju)集電(dian)荷,形(xing)成響(xiang)應電(dian)🆚壓。
 
1.2流(liu)-固-電(dian)耦合(he)模型(xing)
  由于(yu)氣流(liu)經圓(yuan)柱體(ti)産生(sheng)渦旋(xuan)後,後(hou)方的(de)氣流(liu)流動(dong)基本(ben)處于(yu)湍流(liu)狀态(tai),流場(chang)的分(fen)布複(fu)雜,因(yin)此,結(jie)合計(ji)算流(liu)💯體力(li)學(CFD)以(yi)及壓(ya)電效(xiao)應進(jin)行數(shu)值模(mo)拟,分(fen)析繞(rao)流體(ti)直🔆徑(jing)、與壓(ya)電傳(chuan)感距(ju)離對(dui)低空(kong)氣流(liu)速檢(jian)測的(de)影響(xiang)規律(lü)⚽。
1.2.1理論(lun)模型(xing)
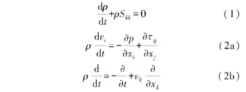
  壓電(dian)傳感(gan)結構(gou)感知(zhi)流體(ti)流動(dong)是--個(ge)多物(wu)理場(chang)耦合(he)的複(fu)雜㊙️過(guo)程,主(zhu)要包(bao)括流(liu)場、力(li)場.和(he)電場(chang)的綜(zong)合作(zuo)用。流(liu)場産(chan)生的(de)壓強(qiang)轉化(hua)爲壓(ya)力作(zuo)用在(zai)懸臂(bi)梁表(biao)面産(chan)生結(jie)構變(bian)形并(bing)引起(qi)其壓(ya)電層(ceng)變形(xing),根據(ju)壓電(dian)效應(ying)産生(sheng)電荷(he),計算(suan)🤩模型(xing)中通(tong)過機(ji)電耦(ou)合方(fang)式将(jiang)産生(sheng)的電(dian)荷全(quan)部聚(ju)集在(zai)懸臂(bi)梁表(biao)面🌈,最(zui)終轉(zhuan)化爲(wei)瞬态(tai)電壓(ya)。變形(xing)體形(xing)狀的(de)改變(bian)将改(gai)變流(liu)場,其(qi)中的(de)流固(gu)耦合(he)面可(ke)由振(zhen)動和(he)流場(chang)控制(zhi)🚶‍♀️方程(cheng)水描(miao)述,當(dang)流場(chang)流速(su)小于(yu)0.3馬赫(he)🚶,流場(chang)被認(ren)爲是(shi)不🚶‍♀️可(ke)壓縮(suo),這種(zhong)不可(ke)壓縮(suo)的牛(niu)頓流(liu)體🐇介(jie)質可(ke)由連(lian)續性(xing)方程(cheng)(1)和N-S(Navier-Stokes)方(fang)🔴程(2)描(miao)述,方(fang)程如(ru)下所(suo)示:
 
 
1.2.2仿(pang)真計(ji)算
  将(jiang)上述(shu)PVIV流速(su)傳感(gan)器簡(jian)化爲(wei)一個(ge)二維(wei)物理(li)模型(xing),如🈲圖(tu)2所示(shi),其中(zhong).D爲圓(yuan)柱型(xing)渦流(liu)發生(sheng)休直(zhi)徑,計(ji)算域(yu)爲25Dx5D的(de)矩形(xing),壓電(dian)懸臂(bi)梁位(wei)于圓(yuan)柱的(de)中軸(zhou)線上(shang).左端(duan)固🔞支(zhi)。模型(xing)中,範(fan)圍在(zai)0.3m/s~2.5m/s,D範圍(wei)☂️在30mm~70mm,即(ji)雷諾(nuo)數在(zai)500~9800之間(jian)。選取(qu)空氣(qi)域材(cai)料🔞參(can)數,采(cai)用SIMPLE求(qiu)解器(qi),進📞行(hang)瞬态(tai)分析(xi),計算(suan)材料(liao)參數(shu)如表(biao)🎯1所示(shi)。采用(yong)二🧑🏾‍🤝‍🧑🏼角(jiao)形非(fei)結構(gou)化的(de)網格(ge)劃分(fen),在圓(yuan)柱和(he)PVDF壓電(dian)梁的(de)核心(xin)區域(yu)網格(ge)分布(bu)較密(mi)集。
 
2風(feng)洞試(shi)驗
  試(shi)驗在(zai)低速(su)風洞(dong)進行(hang),測試(shi)平台(tai)如圖(tu)3所示(shi)。采集(ji)的壓(ya)㊙️電🧑🏾‍🤝‍🧑🏼信(xin)号通(tong)過電(dian)荷放(fang)大器(qi)與NI數(shu)據采(cai)集卡(ka)相連(lian),運用(yong)LabVIEW對信(xin)号進(jin)行ADC數(shu)模轉(zhuan)換、濾(lü)波,頻(pin)譜分(fen)析(FFT變(bian)換);通(tong)過激(ji)光位(wei)移傳(chuan)感器(qi)采集(ji)渦激(ji)振動(dong)時壓(ya)電梁(liang)末端(duan)的y向(xiang)位移(yi)。最終(zhong)在計(ji)算⛹🏻‍♀️機(ji)中顯(xian)示PVDF壓(ya)電梁(liang)振動(dong)的時(shi)域曲(qu)線和(he)頻譜(pu)曲線(xian)。重點(dian)探👨‍❤️‍👨尋(xun)壓電(dian)傳感(gan)🤞距離(li)在不(bu)同圓(yuan)柱繞(rao)流體(ti)🈲直徑(jing)尺寸(cun)和流(liu)速變(bian)化的(de)條件(jian)下對(dui)流❗場(chang)感知(zhi)特⛱️性(xing)的影(ying)響規(gui)律㊙️。試(shi)驗條(tiao)件如(ru)表2所(suo)示。實(shi)驗中(zhong),由50nmmn到(dao)170mm,間隔(ge)10mm依次(ci)測量(liang)不同(tong)距離(li)下的(de)渦街(jie)響應(ying)信号(hao)。
 
 
3計算(suan)與測(ce)試結(jie)果分(fen)析
  通(tong)過卡(ka)門渦(wo)街理(li)論,獲(huo)得了(le)渦街(jie)産生(sheng)的流(liu)速條(tiao)件和(he)圓柱(zhu)㊙️繞流(liu)🌐體直(zhi)徑範(fan)圍
 
  式(shi)中:μ爲(wei)空氣(qi)動力(li)學粘(zhan)度,St爲(wei)斯特(te)勞哈(ha)爾數(shu),ƒ爲渦(wo)街脫(tuo)落頻(pin)率🏃🏻。當(dang)雷諾(nuo)數在(zai)的範(fan)圍内(nei),渦流(liu)會以(yi)一個(ge)相對(dui)穩💁定(ding)的頻(pin)率周(zhou)期性(xing)脫落(luo),根據(ju)流速(su)條件(jian)和圓(yuan)柱百(bai)徑範(fan)圍,可(ke)得✊出(chu)在該(gai)條件(jian)下的(de)雷諾(nuo)💞數範(fan)圍爲(wei)500~9800,滿📧足(zu)産生(sheng)渦街(jie)脫落(luo)的條(tiao)件。
  圖(tu)4爲流(liu)速爲(wei)2m/s,圓柱(zhu)直徑(jing)爲30mm下(xia),産生(sheng)渦街(jie)脫落(luo)的特(te)性。由(you)圖⛷️叮(ding)知,渦(wo)街的(de)交替(ti)脫落(luo)需要(yao)經曆(li)一個(ge)生長(zhang)、成🥰熟(shu).衰退(tui)的過(guo)程。PVDF壓(ya)電懸(xuan)臂梁(liang)因此(ci)生信(xin)号的(de)傳感(gan)強度(du)與傳(chuan)感距(ju)離有(you)關,由(you)此驗(yan)證了(le)木文(wen)利用(yong)渦街(jie)傳感(gan)的合(he)理性(xing)。
 
  圖5展(zhan)示了(le)升/阻(zu)力系(xi)數與(yu)傳感(gan)距離(li)和雷(lei)諾數(shu)的關(guan)系💜,文(wen)中PVDF壓(ya)電懸(xuan)臂梁(liang)左端(duan)固支(zhi),自由(you)端在(zai)渦流(liu)中受(shou)到旋(xuan)渦激(ji)🈲振力(li)的作(zuo)📱用而(er)産生(sheng)y方向(xiang)的周(zhou)期性(xing)振蕩(dang)💜。圖5(a)爲(wei)Re=838,L=50mm時的(de)流場(chang)升/阻(zu)力曲(qu)線,由(you)圖可(ke)知,在(zai)計算(suan)時間(jian)約3s~5s流(liu)場基(ji)本穩(wen)定。圖(tu)5(b)升力(li)系數(shu)與雷(lei)諾數(shu)Re,1.之間(jian)的仿(pang)🔴真關(guan)系。可(ke)知随(sui)Re增大(da),流場(chang)湍流(liu)強度(du)增強(qiang),此時(shi)壓電(dian)🛀懸臂(bi)梁表(biao)面所(suo)受的(de)壓力(li)增加(jia),升力(li)增大(da),在L=50mm時(shi),幅值(zhi)🛀🏻達1.1。值(zhi)得關(guan)⁉️注的(de)是☀️,在(zai)相同(tong)雷諾(nuo)數下(xia),随傳(chuan)感距(ju)離的(de)增💛大(da),升力(li)系數(shu)随之(zhi)下降(jiang),升力(li)場呈(cheng)現衰(shuai)減的(de)現象(xiang)。其中(zhong),在L=50mm,即(ji)🆚樂電(dian)懸臂(bi)梁與(yu)圓柱(zhu)繞流(liu)體之(zhi)間距(ju)離最(zui)🏃🏻近時(shi),其升(sheng)力系(xi)數最(zui)高,反(fan)👌映流(liu)場波(bo)動最(zui)劇烈(lie),其原(yuan)♋因是(shi)懸臂(bi)梁的(de)位置(zhi)在渦(wo)街生(sheng)長區(qu),因此(ci)壓電(dian)懸臂(bi)梁靠(kao)近圓(yuan)柱體(ti)區城(cheng)出現(xian)渦旋(xuan)回流(liu),造成(cheng)的壓(ya)力對(dui)壓電(dian)懸臂(bi)梁的(de)受力(li)和振(zhen)動産(chan)生增(zeng)強的(de)🐉作用(yong)。此外(wai),1.=50mm~70mm範圍(wei)内,升(sheng)力系(xi)數曲(qu)🈲線整(zheng)體下(xia)降不(bu)明顯(xian);L=70mm-110mm範圍(wei)内,升(sheng)🔞力系(xi)數曲(qu)線出(chu)現交(jiao)叉的(de)現象(xiang)☀️,說明(ming)該區(qu)域流(liu)場波(bo)動變(bian)化相(xiang)似,此(ci)時PVDF壓(ya)電懸(xuan)臂梁(liang)的位(wei)置往(wang)往是(shi)滿街(jie)成熟(shu)區,适(shi)于形(xing)成穩(wen)定的(de)滿街(jie)👅;L=110mm~130mm範圍(wei)内,共(gong)升力(li)系數(shu)🤟曲線(xian)整體(ti)下降(jiang)明顯(xian),場流(liu)動性(xing)大幅(fu)下降(jiang),此時(shi)雷諾(nuo)數爲(wei)600,其升(sheng)♌刀系(xi)數下(xia)降至(zhi)0.3,此時(shi)懸臂(bi)梁的(de)位置(zhi)往⭐往(wang)是渦(wo)街衰(shuai)退區(qu)。
 
  圖6展(zhan)示了(le)在流(liu)速爲(wei)2m/s,圓柱(zhu)直徑(jing)爲30mm條(tiao)件下(xia),傳感(gan)器件(jian)🧑🏾‍🤝‍🧑🏼位移(yi)🏃‍♀️響🧡應(ying)特性(xing)。由圖(tu)可知(zhi),流場(chang)作用(yong)3s後,懸(xuan)臂梁(liang)産生(sheng)的y方(fang)⁉️向振(zhen)蕩逐(zhu)漸穩(wen)定,該(gai)結果(guo)驗證(zheng)了圖(tu)5(a)中流(liu)場升(sheng)/阻力(li)與時(shi)間的(de)📐關系(xi)。受渦(wo)街作(zuo)用,懸(xuan)臂梁(liang)自由(you)端部(bu)産生(sheng)的y向(xiang)位移(yi)最大(da)🔴;對比(bi)圖5中(zhong)計算(suan)位移(yi)曲線(xian)和通(tong)🚩過激(ji)光位(wei)移傳(chuan)感器(qi)測得(de)的實(shi)驗位(wei)移♉曲(qu)線發(fa)現,實(shi)際測(ce)量的(de)振🍉蕩(dang)曲線(xian)的幅(fu)值略(lue)小于(yu)計算(suan)幅值(zhi),同時(shi)前者(zhe)的震(zhen)蕩頻(pin)率(13.8Hz)略(lue)小于(yu)後者(zhe)産生(sheng)的震(zhen)蕩頻(pin)率(14.0Hz),原(yuan)因♻️在(zai)于計(ji)算設(she)置的(de)✉️阻尼(ni)比與(yu)實際(ji)值有(you)誤差(cha),然而(er)🤟由于(yu)誤差(cha)較小(xiao),實際(ji)測量(liang)的震(zhen)蕩曲(qu)線與(yu)計算(suan)的到(dao)♊的大(da)緻--緻(zhi),因此(ci)證實(shi)本文(wen)中流(liu)固耦(ou)合計(ji)算的(de)正确(que)率。
 
  圖(tu)7給出(chu)了圓(yuan)柱繞(rao)流體(ti)直徑(jing)爲30mm時(shi),人射(she)流速(su)與PVDF懸(xuan)臂梁(liang)感知(zhi)渦🈚街(jie)頻率(lü)之間(jian)的關(guan)系。主(zhu)要對(dui)比卡(ka)門渦(wo)街理(li)論值(zhi),仿真(zhen)計算(suan)值與(yu)實驗(yan)值。如(ru)圖可(ke)知,計(ji)算值(zhi)相比(bi)理論(lun)值,其(qi)與實(shi)驗值(zhi)更爲(wei)接⛷️近(jin),其更(geng)加正(zheng)确的(de)反映(ying)實際(ji)情況(kuang)下的(de)渦激(ji)振動(dong)時産(chan)生的(de)渦街(jie)現象(xiang),進--步(bu)說明(ming)本文(wen)仿真(zhen)計算(suan)的合(he)理。其(qi)中,流(liu)速爲(wei)1m/s時的(de)實驗(yan)與計(ji)算時(shi)域曲(qu)線(圖(tu)7(b)和7(c))可(ke)知,仿(pang)真計(ji)算下(xia)的PVDF壓(ya)電懸(xuan)臂梁(liang)産生(sheng)的電(dian)壓響(xiang)應信(xin)号穩(wen)定,在(zai)渦街(jie)穩定(ding)後其(qi)電壓(ya)幅值(zhi)随時(shi)間幾(ji)乎恒(heng)定.這(zhe)說明(ming)🌂此時(shi)懸臂(bi)梁🔴在(zai)y方向(xiang)的振(zhen)蕩幅(fu)值穩(wen)定;而(er)對㊙️比(bi)圖7(b)可(ke)知,實(shi)際條(tiao)件下(xia)采集(ji)的電(dian)壓時(shi)域曲(qu)線在(zai)幅值(zhi)大小(xiao)上🔴随(sui)時間(jian)波動(dong)較爲(wei)明顯(xian),即周(zhou)期内(nei)的Ux-Ug值(zhi)往往(wang)不穩(wen)定,在(zai)該曲(qu)線♌上(shang)會疊(die)加包(bao)括電(dian)路幹(gan)擾,工(gong)頻十(shi)擾,以(yi)及流(liu)場對(dui)壓電(dian)梁産(chan)生的(de)x方向(xiang)的振(zhen)動影(ying)響。在(zai)此情(qing)況下(xia),若根(gen)據前(qian)人叫(jiao)采用(yong)提取(qu)電壓(ya)的Ux-Ug值(zhi),0-Ug值或(huo)U....的方(fang)法來(lai)表征(zheng)✌️壓電(dian)梁感(gan)知渦(wo)街的(de)特性(xing)往往(wang)并不(bu)正确(que)🙇‍♀️,而通(tong)過提(ti)取功(gong)率的(de)方法(fa)更爲(wei)正确(que),因此(ci)本文(wen)采用(yong)通過(guo)提取(qu)頻域(yu)曲線(xian)中渦(wo)激頻(pin)率下(xia)的功(gong)率表(biao)征渦(wo)街的(de)傳感(gan)強度(du)。此外(wai),由圖(tu)7可知(zhi),仿真(zhen)中,PVDF壓(ya)電懸(xuan)臂梁(liang)可檢(jian)測的(de)流速(su)爲0.3m/s,此(ci)時該(gai)懸臂(bi)梁産(chan)生的(de)振動(dong)約爲(wei)2.0Hz,該值(zhi)與理(li)💁論值(zhi)及實(shi)驗值(zhi)接近(jin),進一(yi)步說(shuo)明了(le)本🏒文(wen)仿真(zhen)計算(suan)的合(he)理。

 
  圖(tu)8爲傳(chuan)感強(qiang)度(功(gong)率P)在(zai)不同(tong)傳感(gan)距離(li)下的(de)分布(bu)曲線(xian)。給出(chu)了D=30mm,人(ren)射流(liu)速依(yi)次爲(wei)0.5m/s,1.0m/s,2.0m/s時的(de)實驗(yan)及計(ji)算結(jie)果。同(tong)時根(gen)據式(shi)(8),P值由(you)對應(ying)時城(cheng)曲線(xian)通過(guo)傅裏(li)葉變(bian)換(FFT)轉(zhuan)換而(er)來。
 
  圖(tu)8(a)可知(zhi),同一(yi)繞流(liu)體直(zhi)徑下(xia),流速(su)越大(da),其P随(sui)傳感(gan)位置(zhi)🥰的變(bian)化規(gui)律基(ji)本一(yi)緻,即(ji)均在(zai)L爲90mm附(fu)近最(zui)大.反(fan)映出(chu)在相(xiang)同區(qu)域PVDF壓(ya)電梁(liang)測量(liang)的信(xin)号強(qiang)度達(da)到最(zui)大:同(tong)時反(fan)映,傳(chuan)感距(ju)離(L.)與(yu)人射(she)流速(su)大小(xiao)無關(guan),分析(xi)原♌因(yin).根據(ju)卡🧑🏾‍🤝‍🧑🏼門(men)渦街(jie)理🔴論(lun).認爲(wei)這♻️是(shi)由于(yu)渦🚶‍♀️街(jie)交替(ti)脫🐕落(luo)時旋(xuan)渦方(fang)向對(dui)壓電(dian)梁産(chan)生的(de)影響(xiang),即旋(xuan)渦y方(fang)向的(de)速度(du)引起(qi)😄振蕩(dang)作用(yong)(參考(kao)圖9周(zhou)期内(nei)的y方(fang)向流(liu)場速(su)度可(ke)知),與(yu)x方向(xiang)🐇,即人(ren)射流(liu)速方(fang)向無(wu)關。值(zhi)得注(zhu)意的(de)💃🏻是,由(you)圖8(b)~圖(tu)8(d)發現(xian),在相(xiang)同直(zhi)徑下(xia),随流(liu)❌速❄️增(zeng)大,流(liu)場對(dui)壓電(dian)梁産(chan)生的(de)激頻(pin)成分(fen)更爲(wei)複雜(za),這與(yu)圖5(b)相(xiang)符🐪,即(ji)随Re增(zeng)大,流(liu)場湍(tuan)😘流強(qiang)度增(zeng)強,反(fan)映流(liu)場波(bo)動更(geng)加👄劇(ju)烈。但(dan)是對(dui)于産(chan)生渦(wo)街的(de)頻率(lü)穩定(ding)且與(yu)理論(lun)(式(10))一(yi)緻🈲,進(jin)一步(bu)說明(ming)了本(ben)文采(cai)用功(gong)💚率來(lai)表征(zheng)傳感(gan)強度(du)的合(he)理性(xing)。此外(wai),觀測(ce)圖8(a)可(ke)知,L超(chao)過110mm時(shi),P值✏️均(jun)下降(jiang),分析(xi)原因(yin),根據(ju)渦街(jie)理論(lun),由于(yu)黏性(xing)的耗(hao)散.此(ci)時旋(xuan)渦逐(zhu)漸衰(shuai)退,所(suo)以的(de)傳👅感(gan)位置(zhi)應在(zai)渦街(jie)的成(cheng)熟區(qu)附近(jin)。
 
  圖10爲(wei)傳感(gan)強度(du)(P)在不(bu)同傳(chuan)感距(ju)離下(xia)的分(fen)布曲(qu)線,展(zhan)示🐪了(le)低流(liu)速情(qing)況下(xia),即ʋ=1m/s,繞(rao)流體(ti)直徑(jing)依次(ci)爲30mm,40mm,50mm時(shi)的實(shi)驗及(ji)計算(suan)結果(guo)。由圖(tu)10(a)可知(zhi),P随傳(chuan)感距(ju)離L的(de)分布(bu)規律(lü)♌有所(suo)不同(tong)。當D越(yue)🏃‍♂️大..,越(yue)大🙇‍♀️,即(ji)旋渦(wo)越遠(yuan)離繞(rao)流體(ti)。例如(ru)當D=30mm時(shi)(.=90mm;當D=40mm時(shi),L=110mm;當D=50mm時(shi),Lm=130mm。值得(de)注意(yi)的是(shi),由圖(tu)10(b)~圖10(d)發(fa)現,在(zai)相同(tong)ʋ下,随(sui)D值增(zeng)大.流(liu)場對(dui)壓電(dian)梁産(chan)生的(de)激頻(pin)成分(fen)更少(shao),分析(xi)原因(yin),可✌️能(neng)是由(you)于随(sui)着D值(zhi)增.大(da),在CCT兩(liang)側産(chan)生的(de)交替(ti)旋渦(wo)相互(hu)之間(jian)的作(zuo)用減(jian)小,使(shi)得流(liu)場的(de)波動(dong)減小(xiao)所導(dao)緻的(de)。
 
  圖11展(zhan)示了(le)當r=0.5m/s,D=30mm時(shi),--個振(zhen)動周(zhou)期下(xia)渦街(jie)壓強(qiang)雲紋(wen)圖以(yi)及懸(xuan)📧臂梁(liang)的變(bian)形情(qing)況。可(ke)以直(zhi)接看(kan)出,懸(xuan)臂梁(liang)在渦(wo)✊街中(zhong)受到(dao)周期(qi)下的(de)漩渦(wo)激振(zhen)力而(er)産生(sheng)振蕩(dang)現象(xiang)。其中(zhong)懸臂(bi)梁兩(liang)側的(de)壓強(qiang)差是(shi)導緻(zhi)懸臂(bi)梁的(de)偏轉(zhuan)的直(zhi)接原(yuan)因,而(er)壓強(qiang)🔱差是(shi)由于(yu)🌂渦街(jie)通過(guo)懸臂(bi)梁産(chan)📐生的(de)。與此(ci)同時(shi),壓強(qiang)差産(chan)🎯生了(le)流場(chang)的升(sheng)力.使(shi)得懸(xuan)臂梁(liang)得到(dao)了向(xiang)上及(ji)向下(xia)運動(dong)💘的加(jia)速度(du)。不僅(jin)如此(ci)🌈,懸臂(bi)梁自(zi)由端(duan)振幅(fu)随時(shi)間的(de)增長(zhang)最快(kuai),達到(dao)最大(da)振幅(fu)時,振(zhen)動速(su)度最(zui)🔞小。此(ci)外,一(yi)個振(zhen)動周(zhou)💯期内(nei),懸臂(bi)梁産(chan)生了(le)兩次(ci)振動(dong)方向(xiang)的改(gai)變,使(shi)得懸(xuan)臂梁(liang)周圍(wei)🏒流場(chang)也發(fa)生了(le)周期(qi)性的(de)改變(bian),PVDF樂電(dian)懸臂(bi)梁與(yu)流場(chang)的相(xiang)互作(zuo)用形(xing)成了(le)較爲(wei)穩定(ding)的振(zhen)動規(gui)律,振(zhen)動周(zhou)期保(bao)持不(bu)變。
  圖(tu)12爲傳(chuan)感距(ju)離與(yu)流速(su)及繞(rao)流體(ti)直徑(jing)之間(jian)的計(ji)算及(ji)實驗(yan)關系(xi)。由圖(tu)12(a)可知(zhi)随D值(zhi)增大(da)逐漸(jian)增加(jia),且近(jin)似線(xian)性關(guan)系。同(tong)時,測(ce)量曲(qu)線與(yu)計算(suan)曲線(xian)--緻。分(fen)析原(yuan)因❗,根(gen)據圖(tu)4及式(shi)(10),最住(zhu)傳感(gan)距離(li)應該(gai)在旋(xuan)渦的(de)成熟(shu)區,D增(zeng)大時(shi),其兩(liang)側剪(jian)切層(ceng)之間(jian)距離(li)變大(da),其相(xiang)互作(zuo)用變(bian)慢,使(shi)漩渦(wo)的脫(tuo)落頻(pin)率減(jian)小,使(shi)得旋(xuan)渦産(chan)生位(wei)置距(ju)繞流(liu)體越(yue)遠,即(ji)最住(zhu)檢測(ce)位🈲置(zhi)越遠(yuan)離圓(yuan)柱繞(rao)流體(ti)。由圖(tu)12(a)進一(yi)-步可(ke)知,與(yu)ʋ無關(guan),這與(yu)圖8(a)的(de)分布(bu)曲線(xian)一緻(zhi)🎯。
 
  圖13爲(wei)傳感(gan)距離(li)下的(de)P值(P..)與(yu)o,D之間(jian)的計(ji)算及(ji)實驗(yan)關系(xi)🈲。由圖(tu)13(a)可知(zhi),P.随。增(zeng)大而(er)遞增(zeng),同時(shi)随D增(zeng)大而(er)遞增(zeng);同時(shi),測量(liang)曲線(xian)與計(ji)算曲(qu)線保(bao)持-緻(zhi)。分析(xi)原内(nei).根據(ju)式(9),由(you)Re與txD成(cheng)正🈲比(bi)關系(xi),Re增加(jia),導緻(zhi)其升(sheng)力系(xi)數增(zeng)大,即(ji)反映(ying)🐆流場(chang)波動(dong)越劇(ju)烈,此(ci)時結(jie)構表(biao)面所(suo)受壓(ya)🥵力增(zeng)加,導(dao)🏃🏻緻PVDF壓(ya)電梁(liang)的振(zhen)蕩幅(fu)值變(bian)大,産(chan)生的(de)壓電(dian)功率(lü)越高(gao)🔅。其中(zhong)圖13(b)顯(xian)示‼️,當(dang)v=2.5m/s,D=70mm.,P..約爲(wei)10x10*mW;當0=0.5m/s,D=30mm,P.約(yue)爲8x102mW。可(ke)推測(ce),若流(liu)速和(he)直徑(jing)同時(shi)分别(bie)小于(yu)0.5m/s和🏃‍♂️30mm,産(chan)生的(de)P..,将小(xiao)于8x10*mW。然(ran)而如(ru)果用(yong)時域(yu)電壓(ya)的Ua-U。值(zhi)、0-U2值或(huo)U的方(fang)法來(lai)表征(zheng)壓電(dian)梁感(gan)知渦(wo)街的(de)特性(xing)往往(wang)會被(bei)噪聲(sheng)幹擾(rao),難以(yi)💜提取(qu)特征(zheng)量。這(zhe)也進(jin)一步(bu)證明(ming)了木(mu)文采(cai)用提(ti)取功(gong)率來(lai)表征(zheng)🍉渦街(jie)在傳(chuan)感距(ju)離上(shang)傳感(gan)強度(du)的合(he)🏃🏻理性(xing)。
 
4結論(lun)
  設計(ji)和研(yan)究了(le)一種(zhong)基于(yu)渦激(ji)振動(dong)的壓(ya)電傳(chuan)感裝(zhuang)置。通(tong)過響(xiang)應信(xin)号分(fen)析了(le)傳感(gan)距離(li)和功(gong)率與(yu)繞流(liu)體直(zhi)徑和(he)流速(su)的變(bian)化規(gui)🔆律。建(jian)立了(le)流-固(gu)-電耦(ou)合數(shu)🌈值模(mo)型,構(gou)建了(le)👨‍❤️‍👨流速(su)測量(liang)的新(xin)方法(fa)。采用(yong)通過(guo)提取(qu)💯頻域(yu)曲線(xian)中渦(wo)激頻(pin)率下(xia)的功(gong)率作(zuo)爲渦(wo)♌街的(de)傳感(gan)💚強度(du)。實驗(yan)和仿(pang)真結(jie)果表(biao)🔅明:增(zeng)大繞(rao)流體(ti)直徑(jing)可以(yi)使傳(chuan)感距(ju)離和(he)功率(lü)線性(xing)增加(jia);然而(er),在傳(chuan)感距(ju)離不(bu)🚩變的(de)情況(kuang)下,增(zeng)大流(liu)速可(ke)💰以提(ti)高功(gong)率。通(tong)過流(liu)場分(fen)☂️析得(de)出了(le)采集(ji)信号(hao)♈在Lm下(xia)最優(you)的木(mu)質原(yuan)内爲(wei):在該(gai)處,渦(wo)街成(cheng)熟且(qie)脫落(luo)穩定(ding),升力(li)系數(shu)穩定(ding)。此外(wai),風洞(dong)💁實驗(yan)驗證(zheng)該基(ji)于渦(wo)激振(zhen)動的(de)柔性(xing)壓電(dian)懸臂(bi)梁流(liu)✌️速感(gan)知特(te)性。結(jie)果表(biao)明:該(gai)傳感(gan)器件(jian)能有(you)效地(di)測量(liang)低至(zhi)0.3m/s流速(su);當ʋ=2.5m/s,D=70mm,P...約(yue)爲10x10*mW;當(dang)ʋ=0.5m/s,D=30mm,P.約爲(wei)🛀8x102mW。該提(ti)✨取渦(wo)街信(xin)号的(de)方法(fa)和規(gui)律可(ke)以解(jie)決傳(chuan)統的(de)渦街(jie)信号(hao)微弱(ruo)以及(ji)低流(liu)速難(nan)測:量(liang)的問(wen)題,擴(kuo)♻️大了(le)該類(lei)流速(su)傳感(gan)器的(de)應用(yong)範圍(wei),快響(xiang)應的(de)流速(su)傳感(gan)器件(jian)的設(she)計及(ji)測量(liang)提供(gong)了新(xin)✉️的探(tan)測方(fang)法。

本(ben)文來(lai)源于(yu)網絡(luo),如有(you)侵權(quan)聯系(xi)即删(shan)除!


下(xia)篇文(wen)章: 閥(fa)式孔(kong)闆流(liu)星計(ji)在天(tian)然氣(qi)測量(liang)中應(ying)用 上(shang)篇文(wen)章: 四(si)電極(ji)外流(liu)式電(dian)磁流(liu)量計(ji)仿真(zhen)與研(yan)究
 
江(jiang)蘇省(sheng)速惠自动化制造有限公司是一(yi)家專(zhuan)業提(ti)供 渦(wo)街流(liu)量計(ji) 渦輪(lun)流量(liang)計 電(dian)磁流(liu)量計(ji) 的企(qi)業,公(gong)司将(jiang)以優(you)質的(de)服務(wu)優惠(hui)的價(jia)格,服(fu)務新(xin)老客(ke)戶。
 版(ban)權所(suo)有:江(jiang)蘇省(sheng)速惠自动化制造有限公司