|
聯系方(fang)式
|
|
電話(hua)(市場部(bu)):
|
|
|
|
|
|
(拓展部(bu)):
|
|
傳真:
|
節(jie)假日商(shang)務聯系(xi)電話:
何(he)經理:
劉(liu)經理:
|
|
郵(you)編:211600
|
|
網址(zhi):/
|
|
http://banyunshe.cc/
|
|
E-mail:[email protected]
|
|
[email protected]
|
地址:江(jiang)蘇省金(jin)湖縣工(gong)業園區(qu)環城西(xi)
路269号
|
|
|
|
您(nin)現在的(de)位置 > 首(shou)頁
> 行業(ye)新聞
> 氣(qi)體玻璃(li)管浮子(zi)流量計(ji)刻修正(zheng)
|
|
氣體玻(bo)璃管浮(fu)子流量(liang)計刻修(xiu)正
發布(bu)時間:2022-3-3 08:30:29
|
摘(zhai)要:通過(guo)對氣體(ti)玻璃管(guan)浮子流(liu)量計
氣(qi)體流量(liang)刻度示(shi)值修正(zheng)公式的(de)推導,使(shi)氣體流(liu)量刻度(du)示值修(xiu)正公式(shi)的表達(da)式達到(dao)統一,并(bing)讨論了(le)修正公(gong)式㊙️中各(ge)個物理(li)量使用(yong)時的物(wu)理狀态(tai),說明了(le)氣體浮(fu)子流量(liang)計刻度(du)示值修(xiu)正的方(fang)法和進(jin)行修正(zheng)的必要(yao)性。
0前言(yan)
氣體玻(bo)璃管浮(fu)子流量(liang)計(以下(xia)簡稱“
浮(fu)子流量(liang)計
")使用(yong)簡單,讀(du)數直觀(guan),被廣泛(fan)地用在(zai)電力、石(shi)化化工(gong)、冶金、醫(yi)藥、環境(jing)監測及(ji)科研教(jiao)學等諸(zhu)多領域(yu)。然而,氣(qi)體浮子(zi)流量計(ji)是一種(zhong)⛹🏻♀️非标準(zhun)化儀表(biao),根據其(qi)測量原(yuan)理,應按(an)實際被(bei)測⛹🏻♀️介質(zhi)和工作(zuo)狀态進(jin)行刻度(du),但生産(chan)廠家爲(wei)了批量(liang)生産,一(yi)般都是(shi)在壓力(li)p=101325Pa、溫度♈T=293K(20℃)的(de)狀态下(xia)用空氣(qi)進行标(biao)定的,使(shi)得浮子(zi)流量計(ji)的指示(shi)值讀數(shu)與被測(ce)介質的(de)實際流(liu)量之間(jian)存💞在着(zhe)一定的(de)誤差,因(yin)而需要(yao)對✊原有(you)的指示(shi)值加以(yi)校正。但(dan)要注意(yi)的是,絕(jue)大🈚多數(shu)生産廠(chang)家都是(shi)在壓力(li)p=101325Pa、溫度T=293K(20℃)的(de)狀态即(ji)标準狀(zhuang)态📞下用(yong)空⭐氣對(dui)浮子流(liu)量計進(jin)🏒行标定(ding)的,隻有(you)個别生(sheng)産🈲廠家(jia)是在非(fei)标準狀(zhuang)态下進(jin)行标定(ding)的。因此(ci),在檢定(ding)和☂️使用(yong)時就應(ying)留意生(sheng)産⛹🏻♀️廠家(jia)在浮子(zi)流量計(ji)上所✔️标(biao)注的标(biao)定狀态(tai),以免在(zai)修正時(shi)發生錯(cuo)誤。.
1刻度(du)示值修(xiu)正
1.1浮子(zi)流量計(ji)的基本(ben)流量方(fang)程式
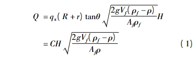
浮(fu)子流量(liang)計的結(jie)構和工(gong)作原理(li)如圖1所(suo)示,由.其(qi)工作🔞原(yuan)理🔴可以(yi)🌈得出流(liu)量基本(ben)方程式(shi)爲:
式中(zhong):Q爲被測(ce)介質的(de)體積流(liu)量;qs爲介(jie)質的.質(zhi)量流量(liang)🛀;R爲玻璃(li)管内🌈截(jie)面半徑(jing);r爲浮子(zi)截面半(ban)徑;θ爲玻(bo)璃管内(nei)側壁的(de)傾斜角(jiao)度;C爲儀(yi)表常數(shu),與流體(ti)的流動(dong)形态和(he)轉子的(de)形狀等(deng)因素有(you)關;Vƒ爲浮(fu)子體積(ji);Aƒ爲轉子(zi)🏃的最大(da)截面積(ji);g爲重力(li)加速度(du);ρƒ爲轉子(zi)的🙇♀️密度(du);ρ爲被測(ce)介質的(de)密度;H爲(wei)轉子停(ting)留的高(gao)度。
對于(yu)測量氣(qi)體來說(shuo),于ρƒ》ρ,所以(yi)ρƒ-ρ≈ρƒ°因而式(shi)(1)可改寫(xie)爲:
1.2浮子(zi)流量計(ji)的刻度(du)示值
如(ru)前所述(shu),用于測(ce)量氣體(ti)流量的(de)浮子流(liu)量計是(shi)在标準(zhun)✍️狀态(壓(ya)力p=101325Pa、溫度(du)T=293K)下用空(kong)氣進行(hang)标定刻(ke)度的,由(you)式(2)可得(de)出标準(zhun)‼️狀态下(xia)流量方(fang)程式爲(wei):
式中:Q0爲(wei)标準狀(zhuang)态下空(kong)氣的體(ti)積流量(liang),即刻度(du)示值;ρ0爲(wei)标準狀(zhuang)态♌下空(kong)氣的密(mi)度。
1.3刻度(du)示值的(de)密度修(xiu)正
在标(biao)準狀态(tai)下,當被(bei)測介質(zhi)爲非空(kong)氣氣體(ti)時,雖然(ran)☁️實際的(de)工作狀(zhuang)态和标(biao)準狀态(tai)相同,但(dan)被測介(jie)質的密(mi)度不同(tong)于空🌈氣(qi),必須對(dui)流量計(ji)的示值(zhi)加以修(xiu)正。由式(shi)(2)可🍓得出(chu)被測介(jie)質在标(biao)準🐪狀态(tai)下的流(liu)量方程(cheng)式爲:
Qt爲(wei)标準狀(zhuang)态下被(bei)測介質(zhi)的體積(ji)流量;ρ1爲(wei)标準狀(zhuang)态下被(bei)測介🈲質(zhi)的密度(du)。
式(4)除以(yi)式(3)可以(yi)得出:
1.4刻(ke)度示值(zhi)受溫度(du)、壓仂影(ying)響的修(xiu)正
在絕(jue)大多數(shu)情況下(xia),實際測(ce)量的工(gong)作條件(jian)不同于(yu)浮子流(liu)㊙️量計标(biao)定時的(de)标準狀(zhuang)态,即使(shi)測量介(jie)質相☁️同(tong),由于空(kong)氣的密(mi)度受溫(wen)度、壓力(li)影響變(bian)化較大(da),所以也(ye)必須對(dui)其㊙️流量(liang)示值進(jin)行溫度(du)和♻️壓力(li)修正(其(qi)實質仍(reng)是對密(mi)度進行(hang)修正),由(you)🧑🏽🤝🧑🏻式(2)可得(de)出🎯工作(zuo)狀态☔下(xia)流量方(fang)程式爲(wei):
的絕對(dui)溫度;Po爲(wei)标準狀(zhuang)态下的(de)壓力;T0爲(wei)标準狀(zhuang)态下的(de)絕對溫(wen)度🏃。
一般(ban)情況下(xia),流量大(da)小都依(yi)标準狀(zhuang)态爲基(ji)準,所以(yi),應将工(gong)🌐作狀态(tai)下的流(liu)量值折(she)算爲标(biao)準狀态(tai)下的流(liu)量值,折(she)算後爲(wei):
式中:Q2爲(wei)在操作(zuo)狀态下(xia)空氣的(de)體積流(liu)量換算(suan)爲标準(zhun)狀态下(xia)😄的🏃♀️體積(ji)流量。
1.5同(tong)時對密(mi)度、溫度(du)和壓力(li)進行修(xiu)正
當被(bei)測介質(zhi)爲非空(kong)氣氣體(ti)時,就需(xu)要對密(mi)度、溫度(du)和壓力(li)同時進(jin)行修正(zheng),同樣用(yong)前面所(suo)述的推(tui)導方法(fa),可以得(de)出:
2結束(shu)語
上述(shu)經理論(lun)推導所(suo)得的式(shi)(5)、式(12)、式(14)三(san)個修正(zheng)公式均(jun)可用于(yu)浮子流(liu)量計的(de)氣體流(liu)量修正(zheng),使用時(shi)可根據(ju)已知狀(zhuang)态的物(wu)理量和(he)所要求(qiu)狀态的(de)被測介(jie)質流量(liang)任選一(yi)個校正(zheng)公式進(jin)行計算(suan),都可以(yi)得到正(zheng)🐅确的計(ji)算結果(guo)。關鍵問(wen)題是修(xiu)正公式(shi)在使用(yong)時應❤️特(te)别注意(yi)弄清楚(chu)各個物(wu)理量的(de)使用♍狀(zhuang)态,即标(biao)準狀态(tai)(p0T0)、操作狀(zhuang)👅态(p1T1),否則(ze)會增大(da)浮子流(liu)量計的(de)示值誤(wu)差。
以上(shang)内容源(yuan)于網絡(luo),如有侵(qin)權聯系(xi)即删除(chu)!
|
|
|
|
|