目前,在(zai)各種工業(ye)生産中流(liu)量的測量(liang)非常重要(yao),因此各種(zhong)各樣的
流(liu)量計
層出(chu)不窮。壓差(cha)類的流量(liang)計由于價(jia)格較低,使(shi)用的經驗(yan)豐🛀富,經過(guo)長時間的(de)研究,精度(du)越來越高(gao),所以應用(yong)非常廣泛(fan)”。其中🔴雙向(xiang)内外管壓(ya)差流量計(ji)
具有對流(liu)體的擾動(dong)小和獲得(de)壓差信号(hao)大的優點(dian)田,但需要(yao)對雙向内(nei)外管壓差(cha)流量計的(de)結構參數(shu)進行進YI 步(bu)的優化。影(ying)響雙向内(nei)外管壓差(cha)流量計性(xing)能的參數(shu)有很多,以(yi)往的研究(jiu)大部分👉是(shi)對節流件(jian)的1個或2個(ge)🔴結構參數(shu)進行同時(shi)優化,不夠(gou)全面印,如(ru)✔️果對3個及(ji)以上結構(gou)參數同時(shi)優化,便需(xu)要進行大(da)量的仿真(zhen)工作,爲提(ti)高效率,對(dui)仿真軟件(jian)進行二次(ci)開發。傳統(tong)的仿真🔆軟(ruan)件FLUENT難以滿(man)足需🔞求,而(er)COMSOLMultiphys-ics仿真軟件(jian)🈲可以導出(chu)M文件,在MATLAB中(zhong)🙇🏻運行程序(xu)可以自動(dong)⛹🏻♀️仿真并提(ti)取數據,二(er)👈次開發難(nan)度低甲。如(ru)果COMSOL的仿真(zhen)效果達到(dao)❤️要求,那麽(me)在雙向内(nei)外管壓差(cha)流量計的(de)仿真中,COMSOL仿(pang)真軟件便(bian)可取代FLUENT.
1流(liu)量計原理(li)
雙向内外(wai)管壓差流(liu)量計的基(ji)本結構如(ru)圖1所示。安(an)裝節流件(jian)的管道直(zhi)徑選爲32mm。雙(shuang)向内外管(guan)壓差流量(liang)計節流件(jian)的長度對(dui)♋流量計的(de)性能影響(xiang)可忽略,爲(wei)了方便測(ce)量,将💚節流(liu)件大管長(zhang)度定爲30mm,節(jie)流件的厚(hou)度定爲2mm。
根據連(lian)續方程和(he)伯努利方(fang)程5的原理(li)可知,流體(ti)在通過節(jie)流件📐時,在(zai)I-I平面,外流(liu)道流體體(ti)積壓縮,流(liu)速😄增大✉️,流(liu)體💘壓力減(jian)小💃,而内⛷️流(liu)道流體擴(kuo)散,流速減(jian)小,流體壓(ya)力增大;在(zai)II-II平面,内外(wai)流道比較(jiao)平穩,流速(su)和📱壓力都(dou)趨于穩定(ding):在亞一I平(ping)面♍,與I-I平面(mian)情況相反(fan),外流道擴(kuo)散,流速減(jian)小,流體壓(ya)力增大,而(er)内流道流(liu)體壓縮,流(liu)速增大,流(liu)體壓力減(jian)小。如此--來(lai),在II-II段節✊流(liu)件内外就(jiu)會形成最(zui)大的壓差(cha):
△P=P内一P外(1)
式(shi)中:△P爲内外(wai)壓差;P内爲(wei)内測點的(de)水壓;P外爲(wei)外測點的(de)水壓。
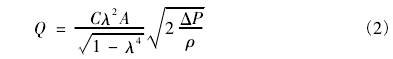
與傳(chuan)統壓差類(lei)流量計的(de)測量公式(shi)類似,流量(liang)Q的計⭕算公(gong)式爲:
式中(zhong):C爲流出系(xi)數;A爲流道(dao)截面積,m2;λ爲(wei)等效直徑(jing)比;ρ爲流體(ti)密度,kg/m3。
影響(xiang)流量計測(ce)量JINGDU 的主要(yao)因素是水(shui)頭損失。水(shui)頭損♈失包(bao)括沿程水(shui)頭損失和(he)局部水頭(tou)損失。局部(bu)水頭損失(shi)是指因局(ju)部邊界急(ji)劇改變導(dao)緻水流結(jie)構改變、流(liu)速分布改(gai)變并産生(sheng)旋渦區而(er)引起的水(shui)頭損失。沿(yan)程水頭損(sun)失是指在(zai)固體邊界(jie)平直的水(shui)道中,單位(wei)質量的液(ye)體自一斷(duan)面流至另(ling)一斷面所(suo)損失❗的機(ji)械能,這種(zhong)水頭損失(shi)是沿⛷️程都(dou)有,并且随(sui)沿程長度(du)而增加。影(ying)響♍局部水(shui)頭損失的(de)因素主要(yao)是節流件(jian)異徑比h、節(jie)流件🈲的大(da)管半徑R,影(ying)響沿程水(shui)頭損失的(de)因素主要(yao)是擴散角(jiao)θ。
2二次回歸(gui)正交試驗(yan)設計.
回歸(gui)正交試驗(yan)是在因素(su)的合理變(bian)化範圍内(nei)選取有限(xian)🍉個試驗點(dian)安排模拟(ni)計算統計(ji),根據有限(xian)個試驗點(dian)建立🤩具有(you)一定可信(xin)度的回歸(gui)方程,當各(ge)個結構參(can)數☎️确定之(zhi)後,可利用(yong)回歸方程(cheng)進行估算(suan)見,。選擇優(you)化的主要(yao)參數是異(yi)徑比🐇k、擴散(san)角θ和節流(liu)件的🔴大管(guan)半徑R.采用(yong)二次正交(jiao)回歸組合(he)設計的試(shi)驗方法,首(shou)先設定3個(ge)控制參數(shu)的變化範(fan)圍:異徑比(bi)k爲0.5~0.9;擴散角(jiao)θ爲4°~10°;節🏃♀️流件(jian)的大管半(ban)徑R爲5~9mm。依據(ju)二次回歸(gui)正交試驗(yan)的設計原(yuan)則,可💔以得(de)到各組試(shi)驗👌的結構(gou)參數🈲見表(biao)1。
3COMSOL與FLUENT仿真對(dui)比
利用SolidWorks建(jian)立三維模(mo)型,導入仿(pang)真軟件進(jin)行網格劃(hua)分。按照網(wang)格劃✔️分的(de)原則,參數(shu)變量變化(hua)梯度大的(de)區域需🐕要(yao)采👌用較🌐爲(wei)密集的網(wang)格劃分方(fang)法以提高(gao)精度,變化(hua)梯度小的(de)區域采用(yong)較爲稀疏(shu)的網格劃(hua)分方法以(yi)節🌂省計算(suan)資源。節流(liu)件前後的(de)流場劃分(fen)的網格稀(xi)疏,節流件(jian)周圍的流(liu)場劃分的(de)網格密集(ji)回🈚。FLUENT仿真軟(ruan)件劃分的(de)網格爲非(fei)結構四面(mian)體,将整個(ge)流場進行(hang)網格劃分(fen)後,網格數(shu)量在30000左右(you),如圖2所示(shi)。COMSOL仿真軟件(jian)劃分的網(wang)格🤞在靠近(jin)邊界的流(liu)場爲六面(mian)體,其他區(qu)域的網格(ge)爲非結構(gou)四🌈面體,将(jiang)整個流場(chang)進👌行網格(ge)劃分後,網(wang)格數量👅在(zai)100000左右,如圖(tu)3所示。兩種(zhong)軟件的網(wang)格劃分方(fang)法相比較(jiao)🧑🏾🤝🧑🏼,COMSOL對流場的(de)網格劃分(fen)更🔴加正确(que)。
雙向内外(wai)管壓差流(liu)量計的節(jie)流件采用(yong)對稱結構(gou),流場雖♍然(ran)♋被⚽分爲内(nei)外兩個部(bu)分,但在節(jie)流件中部(bu)有一-段穩(wen)定流态的(de)直管段,當(dang)流體流過(guo)節流件後(hou),内外兩流(liu)道又合并(bing)爲一個流(liu)道,其中流(liu)體的流.速(su)和壓力逐(zhu)漸穩定,在(zai)流場中并(bing)沒有過大(da)的壓力梯(ti)🧑🏽🤝🧑🏻度,所以湍(tuan)流模型選(xuan)擇K-ε模✉️型。标(biao)準的K-ε模型(xing)現已經過(guo)許多改進(jin),其中RNGk-ε模型(xing)來源于嚴(yan)格的統計(ji)技術,提高(gao)👨❤️👨了精度和(he)可信度,在(zai)FLU-ENT仿真☀️中可(ke)以選擇RNGK-ε模(mo)型[10),但是在(zai)COMSOL仿真中隻(zhi)能籠統地(di)選擇K-ε模型(xing)。
仿真介質(zhi)選擇液态(tai)水,溫度20C,爲(wei)不可壓縮(suo)流體,出口(kou)條件爲outflow,試(shi)驗均在入(ru)口流速2m/s.的(de)條件下進(jin)行仿真。在(zai)求解器的(de)設置方面(mian),兩種軟件(jian)均選擇“叠(die)代或容差(cha)”的終止🏃♀️條(tiao)件。
由于FLUENT與(yu)COMSOL軟件中均(jun)可設置對(dui)稱面,因此(ci)在構建三(san)維模🧡型時(shi)可以僅構(gou)建半個流(liu)場區域,以(yi)方便觀察(cha)截面.上的(de)壓力分布(bu)。在仿真🏃的(de)後處理中(zhong),壓力測量(liang)點需要設(she)置在流⭐場(chang)穩定🌈的區(qu)域,故計算(suan)壓損的前(qian)後壓力測(ce)量點設置(zhi)在節流件(jian)的前後1個(ge)管徑距離(li)的位置,計(ji)算壓差信(xin)号的兩個(ge)壓力測量(liang)點設置在(zai)節流件中(zhong)心和外流(liu)道中心0。
4仿(pang)真結果和(he)數據分析(xi)
對于雙向(xiang)内外管壓(ya)差流量計(ji)而言,内外(wai)壓差信号(hao)大的條件(jian)下💛,壓損越(yue)小越好,故(gu)選取内外(wai)壓差信号(hao)🔞與壓損的(de)差值,即壓(ya)🔅損差,作爲(wei)雙向内外(wai)管壓差流(liu)量計的評(ping)價指标。按(an)照前文設(she)置的結構(gou)參數建立(li)15組三維模(mo)🏒型,分别利(li)🆚用FLUENT與COMSOL進行(hang)仿真,根據(ju)仿真結果(guo),記錄内外(wai)壓差信号(hao),将COMSOL和FLUENT仿真(zhen)數據的差(cha)的絕對值(zhi)與FLUENT數據的(de)比值定義(yi)爲誤差比(bi),内外壓差(cha)信号數據(ju)對比見表(biao)2,用同樣的(de)方法💃🏻記錄(lu)兩種軟件(jian)仿真結果(guo)的前後壓(ya)損和壓損(sun)✍️差,并計算(suan)出誤差比(bi),數據對比(bi)☁️見表3、表4。繪(hui)制的誤差(cha)比折線圖(tu)如圖4所示(shi)。
通過觀察(cha)表中數據(ju)可得到規(gui)律:COMSOL仿真數(shu)據與FLUENT仿真(zhen)數據的誤(wu)🈲差随着FLUENT仿(pang)真數據的(de)增大而增(zeng)大。同時對(dui)🌏比折📱線圖(tu)可發現各(ge)組數據的(de)誤差比均(jun)維持在較(jiao)低且穩定(ding)的水平。這(zhe)樣的誤差(cha)比對于👣後(hou)續拟合二(er)次回歸方(fang)程以及計(ji)算方程的(de)🙇♀️最優解影(ying)響很小。
分(fen)别導出一(yi)組試驗的(de)仿真壓力(li)雲圖進行(hang)對比,如圖(tu)5、圖6所示。由(you)圖可知,壓(ya)力分布基(ji)本相同,COMSOL的(de)壓力雲圖(tu)更⛹🏻♀️加立體(ti)直觀,視覺(jiao)效果比FLUENT更(geng)好。
5結束語(yu)
以雙向内(nei)外管壓差(cha)流量計節(jie)流件的異(yi)徑.比h:擴散(san)角θ和節流(liu)件的大管(guan)半徑R3個結(jie)構參.數爲(wei)優化目标(biao),設計了二(er)次回歸正(zheng)交試驗,分(fen)别用FLUENT和COMSOL進(jin)行仿真、記(ji)錄數據☔。通(tong)過COMSOL仿真所(suo)得的數據(ju)與通過💞FLUENT仿(pang)真所得的(de)數據相比(bi),雖然有浮(fu)動,但是誤(wu)差比卻維(wei)持在一個(ge)較低且穩(wen)定的水平(ping),因此,使用(yong)COMSOL代替FLUENT進行(hang)雙向内外(wai)管壓差流(liu)量計的仿(pang)真。COMSOL的仿真(zhen)過程可保(bao)存爲M文件(jian),方便利用(yong)MATLAB對COMSOL進行二(er)次開發,對(dui)雙向内外(wai)管壓差流(liu)量計更多(duo)結構參數(shu)進一步優(you)化。
以上内(nei)容源于網(wang)絡,如有侵(qin)權聯系即(ji)删除!