97国产精品 渦街流量計在蒸汽檢測中溫度壓力補償-江蘇省速惠自动化制造有限公司
                   
          首   頁  公(gong)司簡介(jie)  産品中(zhong)心  質量(liang)體系  銷(xiao)售網絡(luo)  聯系我(wo)們
 
  流量(liang)儀表系(xi)列
  校驗(yan)儀表系(xi)列
  顯示(shi)儀表系(xi)列
  變送(song)器儀表(biao)系列
  電(dian)線電纜(lan)系列
 
  電(dian)☂️97国产精品🛀磁流量(liang)計的工(gong)作原理(li)
  有害(hai)氣體檢(jian)測報警(jing)儀選用(yong)原則
  國(guo)内儀器(qi)儀表行(hang)業将發(fa)生高科(ke)....
  西安交(jiao)大研制(zhi)出超高(gao)溫沖擊(ji)壓....
采用(yong)半導體(ti)精密溫(wen)度傳感(gan)......
  智能溫(wen)度傳感(gan)器的發(fa)展趨勢(shi)
  簡述幾(ji)種氣體(ti)檢測傳(chuan)感器.....
  利(li)用傳感(gan)器技術(shu)制造智(zhi)能服裝(zhuang)
  新型傳(chuan)感器監(jian)控魚群(qun)數量
聯(lian)系方式(shi)
 電話(市(shi)場部):  
   (拓(tuo)展部):
 傳(chuan)真:
 節假(jia)日商務(wu)聯系電(dian)話:
 何經(jing)理:
 劉經(jing)理:
 郵編(bian):211600
 網址:/
    http://banyunshe.cc/
 E-mail:[email protected]
     [email protected]
 地(di)址:江蘇(su)省金湖(hu)縣工業(ye)園區環(huan)城西
 路(lu)269号
     

渦街流(liu)量計在(zai)蒸汽檢(jian)測中溫(wen)度壓力(li)補償 
發(fa)布時間(jian):2025-11-27

摘要:蒸(zheng)汽流量(liang)檢測在(zai)工業生(sheng)産過程(cheng)中較爲(wei)常見🌈,随(sui)着蒸汽(qi)流量檢(jian)測精度(du)要求的(de)提高溫(wen)度壓力(li)補償尤(you)爲重要(yao)。通過分(fen)析渦街(jie)流量計(ji) 用于蒸(zheng)汽流量(liang)測量的(de)原理提(ti)出渦街(jie)流量計(ji)在飽☔和(he)蒸♻️汽和(he)過熱蒸(zheng)汽流量(liang)檢測中(zhong)的溫度(du)和壓力(li)補償的(de)方法,爲(wei)工程設(she)計、實際(ji)應用提(ti)供參考(kao)。
1引言
  渦(wo)街流量(liang)計在蒸(zheng)汽流量(liang)檢測領(ling)域的應(ying)用越來(lai)越廣泛(fan);但💞是渦(wo)街流量(liang)計檢測(ce)值爲蒸(zheng)汽的體(ti)積流量(liang)。工業過(guo)程往往(wang)要求測(ce)量其質(zhi)量流量(liang),飽和蒸(zheng)汽和過(guo)熱蒸汽(qi)在計算(suan)質量流(liu)量的過(guo)程中需(xu)要補償(chang)計算。
2飽(bao)和蒸汽(qi)和過熱(re)蒸汽的(de)區别
  水(shui)在一定(ding)的壓力(li)下加熱(re),水的溫(wen)度随着(zhe)不斷加(jia)熱而上(shang)升,當水(shui)溫升高(gao)到某一(yi)溫度時(shi),水就開(kai)始沸騰(teng),這時水(shui)的溫度(du)稱爲💃沸(fei)騰溫度(du)。如繼續(xu)加熱,水(shui)溫保持(chi)不變🔴,水(shui)即開始(shi)汽化,而(er)逐步變(bian)爲蒸汽(qi)。這時蒸(zheng)汽🈲的溫(wen)度也✌️就(jiu)等于飽(bao)和溫度(du)。這種狀(zhuang)态的蒸(zheng)汽就稱(cheng)爲飽和(he)蒸汽。如(ru)果把飽(bao)和👉蒸汽(qi)繼續進(jin)行加熱(re),其溫度(du)将繼續(xu)升高,并(bing)超過該(gai)壓力下(xia)的飽和(he)溫度,這(zhe)種超過(guo)飽和溫(wen)度的🌈蒸(zheng)汽就稱(cheng)爲過熱(re)蒸汽。
  水(shui)的沸騰(teng)溫度與(yu)其所受(shou)壓力有(you)關,壓力(li)愈大,則(ze)沸騰溫(wen)度也就(jiu)越高;反(fan)之,壓力(li)小,則沸(fei)騰溫度(du)也低。所(suo)♊以對🌂于(yu)飽和蒸(zheng)汽而言(yan),溫度與(yu)壓力存(cun)在一一(yi)對應關(guan)系。而過(guo)熱蒸🈲汽(qi)的溫度(du)與壓力(li)是兩個(ge)獨立參(can)數,之間(jian)不存在(zai)直接的(de)關系。
3渦(wo)街流量(liang)計用于(yu)蒸汽流(liu)量的測(ce)量
   孔闆(pan)流量計(ji) 在蒸汽(qi)流量的(de)檢測中(zhong)應用由(you)來已久(jiu),但是經(jing)過幾十(shi)年的✨實(shi)踐總結(jie),孔闆流(liu)量計存(cun)在多方(fang)面的缺(que)陷,如孔(kong)闆流量(liang)計安裝(zhuang)及日常(chang)拆洗維(wei)護的工(gong)作量較(jiao)大;由于(yu)孔闆流(liu)🛀🏻量計的(de)壓損較(jiao)👅大所以(yi)📱運營成(cheng)本很高(gao);此外孔(kong)闆流量(liang)計還需(xu)配合差(cha)壓計或(huo) 差壓變(bian)送器 方(fang)可測量(liang)管道中(zhong)各種流(liu)體的流(liu)量。綜合(he)考慮以(yi)上因素(su),選🏃🏻擇🤟渦(wo)街流量(liang)計作爲(wei)蒸汽流(liu)量檢測(ce)儀表更(geng)爲方便(bian)、經濟。
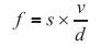
  渦(wo)街流量(liang)計自上(shang)世紀70年(nian)代投放(fang)市場以(yi)來,深受(shou)廣大用(yong)戶歡迎(ying)。目前在(zai)各領域(yu)中得到(dao)廣泛應(ying)用。尤其(qi)是在對(dui)蒸👄汽流(liu)量檢測(ce)的應用(yong)上,渦街(jie)流量計(ji)正在逐(zhu)漸取代(dai)孔闆流(liu)量計㊙️成(cheng)爲蒸汽(qi)流量檢(jian)測的重(zhong)要儀表(biao)。渦街流(liu)量計是(shi)😄根據卡(ka)曼渦街(jie)原理制(zhi)成[1-3]。流體(ti)🔴中設置(zhi)旋渦🍉發(fa)生體(阻(zu)流體),從(cong)旋渦發(fa)生體兩(liang)側交💔替(ti)地産生(sheng)有規則(ze)的旋渦(wo),這種旋(xuan)渦稱爲(wei)卡曼渦(wo)街,如圖(tu)1所示㊙️。旋(xuan)渦列在(zai)旋渦❤️發(fa)生體下(xia)遊非對(dui)稱地排(pai)列。設旋(xuan)渦的發(fa)生頻💯率(lü)爲f,被測(ce)介質流(liu)速🈲爲v,旋(xuan)渦發🌈生(sheng)體迎面(mian)寬度爲(wei)d,則有:

其(qi)中,s稱爲(wei)斯特拉(la)哈爾數(shu),無量綱(gang),由漩渦(wo)發生體(ti)的形狀(zhuang)👈決定,在(zai)🏒一定的(de)雷諾系(xi)數範圍(wei)内爲常(chang)數。
渦街(jie)流量計(ji)工作原(yuan)理
  通過(guo)檢測旋(xuan)渦頻率(lü)即可計(ji)算出流(liu)體流速(su),從而計(ji)算出❌流(liu)體的體(ti)積流量(liang)。目前渦(wo)街流量(liang)計流量(liang)檢測的(de)方♉法有(you)電容🙇‍♀️檢(jian)測法、熱(re)敏檢測(ce)法、超聲(sheng)檢測法(fa)、電磁檢(jian)測法以(yi)及🔱壓電(dian)檢測法(fa)等。渦街(jie)流量計(ji)用于流(liu)體流量(liang)檢測具(ju)有以下(xia)優點:
(1)量(liang)程比寬(kuan),不受流(liu)體溫度(du)、壓力、成(cheng)分、粘度(du)及密度(du)的影響(xiang);
(2)結構簡(jian)單,與孔(kong)闆相比(bi)無需配(pei)合其它(ta)儀表;
(3)壓(ya)損小,約(yue)爲孔闆(pan)流量計(ji)的四分(fen)之一。
4渦(wo)街流量(liang)計用于(yu)蒸汽流(liu)量測量(liang)系統
  根(gen)據渦街(jie)流量計(ji)的測量(liang)原理可(ke)知,渦街(jie)流量計(ji)測量的(de)是流體(ti)的體積(ji)流量。但(dan)是實際(ji)中往往(wang)要求測(ce)量蒸汽(qi)的🤟質量(liang)❗流量。根(gen)據🈚M=ρ×Q可由(you)體積流(liu)量求出(chu)質量流(liu)量[4-5]。
對于(yu)飽和蒸(zheng)汽,其密(mi)度ρ隻與(yu)壓力有(you)關。對應(ying)公式爲(wei)🛀:
ρ=AP+B
其中:P爲(wei)飽和蒸(zheng)汽絕對(dui)壓力;單(dan)位MPa。對于(yu)過熱蒸(zheng)汽,其🐕密(mi)🚶‍♀️度和溫(wen)度、壓力(li)均有關(guan)系。對應(ying)關系爲(wei):

其中:P爲(wei)過熱蒸(zheng)汽絕對(dui)壓力,單(dan)位MPa;T爲過(guo)熱蒸汽(qi)溫度,單(dan)位℃。
  因此(ci)在檢測(ce)飽和蒸(zheng)汽的質(zhi)量流量(liang)時要選(xuan)擇壓力(li)或是溫(wen)度進行(hang)補償;而(er)測量過(guo)熱蒸汽(qi)質量流(liu)量時要(yao)同時選(xuan)🐇擇壓力(li)和溫度(du)進行補(bu)償。下面(mian)以過熱(re)蒸汽質(zhi)量流量(liang)檢測爲(wei)例介紹(shao)溫度、壓(ya)力補償(chang)方法。
4.1智(zhi)能積算(suan)儀補償(chang)方法
  目(mu)前,過熱(re)蒸汽質(zhi)量流量(liang)的檢測(ce)可以使(shi)用智能(neng)積算❄️儀(yi)[6]。 智能流(liu)量積算(suan)儀 采用(yong)單片機(ji)技術,其(qi)補償演(yan)算功能(neng)可在預(yu)先編制(zhi)好的軟(ruan)件中完(wan)成,計算(suan)所需要(yao)的工況(kuang)補償公(gong)式、表格(ge)數據都(dou)⛱️存放🎯在(zai)積算儀(yi)的存儲(chu)器中,在(zai)測量氣(qi)體蒸汽(qi)流量時(shi),? 可以通(tong)過壓力(li)、溫度值(zhi)的輸人(ren)信号進(jin)行蒸汽(qi)密度的(de)自動補(bu)償。并且(qie)智能流(liu)量積算(suan)儀還可(ke)以實現(xian)壓⛷️力、溫(wen)度值異(yi)常時的(de)自動補(bu)償。該功(gong)能可以(yi)在壓力(li)變送器(qi)、溫度元(yuan)件及變(bian)送器發(fa)生故障(zhang)時,自動(dong)轉爲壓(ya)力、溫度(du)的設計(ji)值進💚行(hang)補償。此(ci)外,流量(liang)積算儀(yi)還具有(you)就地顯(xian)示、報警(jing)以及RS-485通(tong)🌈訊等多(duo)種功能(neng)。智能♍積(ji)算儀補(bu)償✍️原理(li)如圖2所(suo)示。采用(yong)智能積(ji)算儀的(de)優點在(zai)于方便(bian)現場觀(guan)測蒸汽(qi)的㊙️流量(liang)、壓力、溫(wen)度參數(shu)。

  對于過(guo)熱蒸氣(qi),在低壓(ya)區(如小(xiao)于1MPa)的壓(ya)縮系數(shu)都接近(jin)于👣l。在該(gai)區域内(nei),隻要溫(wen)度不是(shi)太低,即(ji)使不對(dui)壓縮系(xi)數進行(hang)修正,也(ye)不會引(yin)起明顯(xian)的誤差(cha),完全可(ke)以滿足(zu)工程上(shang)的要求(qiu)🛀。但在高(gao)壓區,則(ze)必須考(kao)慮壓縮(suo)系數的(de)影響,否(fou)則将會(hui)造成明(ming)顯的誤(wu)差。而采(cai)用智能(neng)積算儀(yi)補償的(de)方法不(bu)具有對(dui)于其壓(ya)縮系數(shu)🐉進行修(xiu)正的功(gong)能,采用(yong)DCS模塊補(bu)償方法(fa)則可以(yi)🥵克服以(yi)上缺點(dian)。
4.2DCS模塊補(bu)償方法(fa)
  其中COMPENSATE模(mo)塊适用(yong)于溫度(du)爲260~800℃,壓力(li)(絕壓)爲(wei)0.5~32MPa的工況(kuang);而EXHSTEAM模塊(kuai)适用于(yu)溫度爲(wei)140~560℃,壓力(表(biao)壓)爲98.6777~15898.6777kPa的(de)工況。
  假(jia)設過熱(re)蒸汽的(de)設計壓(ya)力爲4MPa(表(biao)壓),?? 設計(ji)溫度爲(wei)400℃;過✉️熱蒸(zheng)汽😘的實(shi)測壓力(li)爲PI-101:0~6MPa(表壓(ya)),實測溫(wen)度爲TI-101:0~600℃,流(liu)量爲FI-101,補(bu)償後的(de)流量爲(wei)FI_101,經EXHSTEAM過💋熱(re)蒸汽特(te)性計算(suan)得出設(she)計密度(du)爲13.92817951832kg/m3,則DCS圖(tu)形化編(bian)程如圖(tu)3所示。

5結(jie)論
  渦街(jie)流量計(ji)在蒸汽(qi)測量系(xi)統中具(ju)有較好(hao)的應用(yong)前景,而(er)渦街🐆流(liu)量計的(de)溫度壓(ya)力補償(chang)系統是(shi)提高飽(bao)和蒸汽(qi)和過熱(re)蒸汽測(ce)量精度(du)的重要(yao)手段。

以(yi)上内容(rong)來源于(yu)網絡,如(ru)有侵權(quan)請聯系(xi)即删除(chu)!

下篇文(wen)章: 渦街(jie)流量計(ji)在氮肥(fei)廠的應(ying)用 上篇(pian)文章 氣(qi)體轉子(zi)流量計(ji)的刻度(du)與換算(suan)
 
江蘇省(sheng)速惠自动化制造有限公司是一家(jia)專業提(ti)供 渦街(jie)流量計(ji) 渦輪流(liu)量計 電(dian)磁流量(liang)計 的企(qi)業,公司(si)将以優(you)質的服(fu)務優惠(hui)的價格(ge),服務新(xin)老客戶(hu)。
 版權所(suo)有:江蘇(su)省速惠自动化制造有限公司       技術(shu)支持易(yi)品網絡(luo)

··
·
 
··
·