摘要(yao):浮子(zi)流量(liang)傳感(gan)器
中(zhong)存在(zai)的非(fei)線性(xing)問題(ti)是影(ying)響浮(fu)子流(liu)量計(ji)測量(liang)精🌈度(du)的一(yi)個重(zhong)要因(yin)素,爲(wei)了解(jie)決這(zhe)個問(wen)題,浮(fu)子流(liu)量傳(chuan)感器(qi)的特(te)性,利(li)用最(zui)小二(er)乘法(fa)拟合(he)數據(ju),分析(xi)浮子(zi)高度(du)和流(liu)量之(zhi)間的(de)非線(xian)性關(guan)系理(li)論和(he)實驗(yan)研究(jiu)結果(guo)表明(ming),針對(dui)目前(qian)應用(yong)的短(duan)管型(xing)浮子(zi)流量(liang)計🔞流(liu)量和(he)浮子(zi)高度(du)之間(jian)存在(zai)明顯(xian)的非(fei)線性(xing)關系(xi),并且(qie)發現(xian)在其(qi)他條(tiao)件相(xiang)同的(de)情況(kuang)下浮(fu)子行(hang)程🌈的(de)增加(jia)即錐(zhui)管錐(zhui)角的(de)減小(xiao)對浮(fu)子流(liu)量傳(chuan)感器(qi)線性(xing)度的(de)📧改善(shan)具有(you)重要(yao)的🛀作(zuo)用.
浮(fu)子流(liu)量計(ji)
又名(ming)
轉子(zi)流量(liang)計
或(huo)面積(ji)流量(liang)計.在(zai)測量(liang)過程(cheng)中,始(shi)終保(bao)持節(jie)流件(jian)前後(hou)💯的😘壓(ya)🔱差不(bu)變,通(tong)過改(gai)變流(liu)通面(mian)積來(lai)改變(bian)流量(liang),,所以(yi)浮子(zi)流量(liang)計也(ye)叫恒(heng)壓降(jiang)變截(jie)面流(liu)量計(ji).浮子(zi)流量(liang)計的(de)量程(cheng)比✔️一(yi)般可(ke)達10:1,精(jing)度約(yue)爲±(1~2)%.由(you)⭐于浮(fu)子流(liu)量計(ji)具有(you)結構(gou)簡單(dan)、使用(yong)方便(bian)、直觀(guan)、壓損(sun)小、成(cheng)本低(di)等特(te)點,已(yi)被廣(guang)泛應(ying)用于(yu)實驗(yan)室及(ji)生産(chan)領域(yu)".浮子(zi)流量(liang)計在(zai)測量(liang)過🌈程(cheng)中流(liu)量和(he)浮🚩子(zi)高度(du)之間(jian)存在(zai)非線(xian)性關(guan)系,影(ying)響了(le)測量(liang)精度(du)和浮(fu)子流(liu)量計(ji)的性(xing)能,這(zhe)個問(wen)題在(zai)目前(qian)廣泛(fan)應用(yong)的
短(duan)管型(xing)浮子(zi)流量(liang)計
中(zhong)尤爲(wei)明顯(xian),必須(xu)尋求(qiu)有效(xiao)的方(fang)法來(lai)解決(jue).
Qv爲浮(fu)子流(liu)量計(ji)的體(ti)積流(liu)量,α爲(wei)流量(liang)系數(shu);h爲浮(fu)子在(zai)錐♉管(guan)中⚽的(de)垂直(zhi)位置(zhi);爲錐(zhui)形管(guan)錐半(ban)角;Vf爲(wei)浮子(zi)體積(ji);ρf爲浮(fu)子材(cai)料密(mi)♻️度ρ爲(wei)流體(ti)密度(du);Af爲浮(fu)子垂(chui)直于(yu)流向(xiang)⭐的最(zui)大截(jie)面積(ji);D0爲浮(fu)子☎️最(zui)大迎(ying)流面(mian)的直(zhi)徑;Dh爲(wei)浮子(zi)平衡(heng)在h高(gao)度時(shi)錐形(xing)管的(de)直徑(jing);df爲浮(fu)子最(zui)大直(zhi)徑(見(jian)⛱️圖1).
公(gong)式(1)是(shi)習用(yong)的浮(fu)子流(liu)量計(ji)流量(liang)計量(liang)公式(shi),一般(ban)認爲(wei)在錐(zhui)♋半角(jiao)中足(zu)夠小(xiao)的情(qing)況下(xia)可以(yi)忽略(lue)二次(ci)項(htanφ),公(gong)式(1)可(ke)寫爲(wei)如下(xia)形式(shi):
公式(shi)(2)中Vf、Af、ρf、ρ、α、q、D0及(ji)φ都是(shi)确定(ding)數值(zhi),故公(gong)式(2)中(zhong)流量(liang)Qv與浮(fu)子行(hang)程h具(ju)有線(xian)性關(guan)系.
1.2研(yan)究對(dui)象
目(mu)前流(liu)行的(de)短管(guan)型浮(fu)子流(liu)量計(ji)其高(gao)度統(tong)一爲(wei):250mm,爲了(le)⭕和其(qi)他部(bu)件相(xiang)配合(he),浮子(zi)在管(guan)體内(nei)能移(yi)動的(de)最大(da)位移(yi)爲59mm,在(zai)本文(wen)中選(xuan)擇浮(fu)子行(hang)程分(fen)别爲(wei)45mm(錐半(ban)角φ=21°06'),50mm(錐(zhui)半角(jiao)φ=18°16')和55mm(錐(zhui)半角(jiao)φ=15°15')的DN80金(jin)屬管(guan)浮子(zi)流量(liang)傳感(gan)器
進(jin)行線(xian)性度(du)的研(yan)究,其(qi)流量(liang)測量(liang)範圍(wei)爲4~40m'/h,測(ce)量介(jie)質爲(wei)📧水,對(dui)應流(liu)量下(xia)限時(shi)的最(zui)低雷(lei)諾數(shu)爲14685.浮(fu)子流(liu)量傳(chuan)感器(qi)的結(jie)構如(ru)圖2所(suo)示.
1.3非(fei)線性(xing)誤差(cha)計算(suan)公式(shi)
随着(zhe)現代(dai)技術(shu)的發(fa)展,進(jin)行測(ce)量的(de)非線(xian)性計(ji)算已(yi)非難(nan)💰事.目(mu)前❌,國(guo)内外(wai)金屬(shu)管浮(fu)子流(liu)量計(ji)采用(yong)的線(xian)性化(hua)技術(shu)主要(yao)有兩(liang)種:-是(shi)應用(yong)四連(lian)杆進(jin)行非(fei)線性(xing)修正(zheng);二🏃♂️是(shi)利用(yong)凸輪(lun)進行(hang)非線(xian)性修(xiu)正📐.另(ling)外,還(hai)出現(xian)了帶(dai)微處(chu)理器(qi)的智(zhi)能流(liu)量計(ji),采用(yong)物位(wei)傳感(gan)器檢(jian)測浮(fu)子位(wei)移,由(you)微處(chu)理器(qi)通過(guo)軟件(jian)進行(hang)線性(xing)化,從(cong)而使(shi)儀表(biao)結構(gou)更簡(jian)化,精(jing)度更(geng)高'".故(gu)當前(qian)流行(hang)💛的金(jin)❄️屬管(guan)浮子(zi)流量(liang)計一(yi)般均(jun)🈲采用(yong)250mm的儀(yi)表總(zong)長度(du),如圖(tu)2所示(shi),不僅(jin)可以(yi)節約(yue)🔴原材(cai)料,加(jia)工制(zhi)造簡(jian)單,而(er)且體(ti)積小(xiao),重量(liang)輕,安(an)裝使(shi)用方(fang)便.但(dan)是爲(wei)了達(da)到更(geng)好的(de)流量(liang)測量(liang)效果(guo),還🛀是(shi)應該(gai)采用(yong)盡可(ke)能長(zhang)的錐(zhui)管,增(zeng)🤩加浮(fu)子的(de)行🔞程(cheng),使儀(yi)表一(yi)次測(ce)量的(de)非線(xian)性盡(jin)可能(neng)👈減小(xiao)
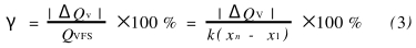
計算(suan)儀表(biao)一次(ci)測量(liang)的非(fei)線性(xing)誤差(cha)時利(li)用最(zui)小二(er)乘法(fa)來拟(ni)合直(zhi)線,非(fei)線性(xing)誤差(cha)γ計算(suan)公式(shi)'"]:
其中(zhong):△Qv爲輸(shu)出平(ping)均值(zhi)與基(ji)準拟(ni)合直(zhi)線間(jian)的偏(pian)差,QVFS爲(wei)滿量(liang)程🔴輸(shu)出⚽平(ping)均值(zhi),k爲拟(ni)合直(zhi)線的(de)斜率(lü),xn爲被(bei)測物(wu)理量(liang)的第(di)n個值(zhi),x1爲被(bei)測物(wu)理量(liang)的第(di)1個值(zhi).
2浮子(zi)流量(liang)計非(fei)線性(xing)問題(ti)的理(li)論分(fen)析
2.1理(li)論計(ji)算數(shu)據.
爲(wei)了研(yan)究浮(fu)子流(liu)量計(ji)的非(fei)線性(xing)問題(ti),本文(wen)利用(yong)公式(shi)(1)針對(dui)浮🈲子(zi)在錐(zhui)管中(zhong)的垂(chui)直位(wei)置和(he)流量(liang)的對(dui)應🥵關(guan)系給(gei)出了(le)三組(zu)理論(lun)計算(suan)數據(ju).
在公(gong)式(1)中(zhong),當流(liu)量傳(chuan)感器(qi)的結(jie)構以(yi)及被(bei)測流(liu)體介(jie)㊙️質确(que)定🈚下(xia)來後(hou),φ、Vf、ρf、ρ、Af、D0、Dh、df以及(ji)α這些(xie)變量(liang)都是(shi)已知(zhi)量,是(shi)不變(bian)的.表(biao)1、表2,表(biao)㊙️3分别(bie)給出(chu)🏃♂️了利(li)用公(gong)式(1)計(ji)算的(de)行程(cheng)爲45mm,50mm和(he)55mm的情(qing)況下(xia)浮子(zi)高度(du)和流(liu)量之(zhi)間的(de)對應(ying)關系(xi),其中(zhong)浮子(zi)高度(du)是浮(fu)子在(zai)錐管(guan)中的(de)垂直(zhi)位置(zhi).數據(ju)表中(zhong)㊙️的第(di)三列(lie)是利(li)用公(gong)式(3)計(ji)㊙️算出(chu)來的(de)相應(ying)流量(liang)點的(de)非線(xian)性誤(wu)差.
2.2理(li)論計(ji)算數(shu)據分(fen)析
對(dui)2.1節中(zhong)的理(li)論計(ji)算數(shu)據進(jin)行非(fei)線性(xing)誤差(cha)分析(xi).
如圖(tu)3所示(shi),(a)、(b),(c)分别(bie)是行(hang)程爲(wei)45mm,50mm和55mm的(de)浮子(zi)流量(liang)計浮(fu)子高(gao)度和(he)流量(liang)間對(dui)應關(guan)系曲(qu)線及(ji)利用(yong)最小(xiao)二乘(cheng)法拟(ni)合的(de)☎️直線(xian).從表(biao)1.表2,表(biao)3中第(di)三列(lie)所示(shi)的非(fei)線性(xing)誤差(cha)數據(ju)可以(yi)看出(chu),當利(li)用公(gong)式(1)進(jin)行流(liu)量計(ji)算時(shi)在不(bu)同的(de)流量(liang)點處(chu)流量(liang)和浮(fu)子高(gao)😄度之(zhi)間表(biao)現出(chu)了不(bu)💰同的(de)非線(xian)性誤(wu)差,流(liu)量和(he)🐇浮子(zi)高度(du)之間(jian)不是(shi)線性(xing)對應(ying)關系(xi).
當浮(fu)子行(hang)程是(shi)45mm(錐半(ban)角φ=21°06')時(shi):最大(da)非線(xian)性誤(wu)差γmx=15.46%,平(ping)均非(fei)線性(xing)誤差(cha)γ=6.34%
當浮(fu)子行(hang)程是(shi)50mm(錐半(ban)角中(zhong)=18°16')時:最(zui)大非(fei)線性(xing)誤差(cha)Ymax=14.56%,平均(jun)非線(xian)性👣誤(wu)差γ=5.01%.
當(dang)浮子(zi)行程(cheng)是55mm(錐(zhui)半角(jiao)φ=15°15')時:最(zui)大非(fei)線性(xing)誤差(cha)Ymax=6.24%,平均(jun)非線(xian)性誤(wu)差♊γ=3.61%.
對(dui)比三(san)個不(bu)同行(hang)程下(xia)最大(da)非線(xian)性誤(wu)差和(he)平均(jun)非線(xian)性誤(wu)差的(de)數值(zhi)可以(yi)看出(chu),當浮(fu)子行(hang)程分(fen)别爲(wei)45mm.50mm,55mm,即💋相(xiang)應的(de)錐💚半(ban)角爲(wei)φ=21°06'φ=18°16'中=15°15'時(shi),無論(lun)是非(fei)線性(xing)誤差(cha)的最(zui)大值(zhi)還是(shi)平均(jun)值都(dou)有很(hen)明顯(xian)的減(jian)小,尤(you)☔其是(shi)浮子(zi)流量(liang)計的(de)線性(xing)度即(ji)最⭐大(da)非線(xian)性誤(wu)差分(fen)别爲(wei)γmax=15.46%、γ=14.56%,γmax=6.24%,浮子(zi)流量(liang)計的(de)線性(xing)度從(cong)理論(lun)計算(suan)上有(you)了明(ming)顯的(de)改善(shan).
3浮子(zi)流量(liang)計非(fei)線性(xing)問題(ti)的實(shi)驗研(yan)究
該(gai)過程(cheng)對如(ru)1.2節所(suo)述的(de)浮子(zi)流量(liang)傳感(gan)器進(jin)行實(shi)驗研(yan)究.
3.1實(shi)驗裝(zhuang)置
實(shi)驗裝(zhuang)置如(ru)圖4所(suo)示,采(cai)用稱(cheng)重法(fa)對金(jin)屬浮(fu)子流(liu)量計(ji)進行(hang)标♌定(ding)💔.實驗(yan)過程(cheng)如下(xia)所述(shu):
實驗(yan)中所(suo)需流(liu)體介(jie)質來(lai)自高(gao)位穩(wen)壓水(shui)塔,流(liu)體經(jing)過進(jin)♻️水閥(fa)1進入(ru)過濾(lü)罐2,3爲(wei)标準(zhun)表,可(ke)以監(jian)視管(guan)道中(zhong)的流(liu)量值(zhi),電動(dong)調節(jie)閥4起(qi)⛱️選通(tong)作用(yong),從平(ping)衡罐(guan)5流出(chu)的流(liu)體進(jin)入金(jin)屬管(guan)浮子(zi)流量(liang)計8,再(zai)經過(guo)流量(liang)調節(jie)閥10從(cong)噴嘴(zui)11不斷(duan)向量(liang)器13中(zhong)注入(ru),當量(liang)器13中(zhong)注滿(man)流體(ti)👣以後(hou)換向(xiang)器12自(zi)動換(huan)向,使(shi)得從(cong)噴嘴(zui)11流♈過(guo)來的(de)流體(ti)🔴不再(zai)進入(ru)量器(qi)13,而是(shi)進入(ru)量器(qi)13右側(ce)的回(hui)水槽(cao),此時(shi)電子(zi)秤15可(ke)以稱(cheng)出量(liang)器13中(zhong)流體(ti)的重(zhong)量,通(tong)過計(ji)算機(ji)👌17中的(de)程序(xu)顯示(shi)結果(guo)可以(yi)看到(dao)流量(liang)值,之(zhi)後打(da)開放(fang)水閥(fa)14放水(shui),當量(liang)器13中(zhong)的⭕水(shui)全部(bu)都放(fang)完時(shi),電子(zi)秤15清(qing)⭕零,換(huan)向器(qi)12又自(zi)動換(huan)向到(dao)量器(qi)13-側,使(shi)得流(liu)體不(bu)斷的(de)🈲注入(ru),準備(bei)下一(yi)次實(shi)驗.
3.2實(shi)驗數(shu)據
實(shi)驗過(guo)程中(zhong)選取(qu)10個流(liu)量點(dian)進行(hang)實驗(yan),單行(hang)程每(mei)點🙇🏻重(zhong)㊙️複測(ce)量👣3次(ci),正反(fan)行程(cheng)各5次(ci).對每(mei)個實(shi)驗點(dian)處的(de)樣本(ben)取平(ping)均🥵(30次(ci)平均(jun)值).實(shi)驗數(shu)據如(ru)表4,表(biao)5和表(biao)6所示(shi),其中(zhong)标準(zhun)流量(liang)是實(shi)驗過(guo)程中(zhong)利♻️用(yong)稱重(zhong)法得(de)到的(de)流量(liang),即流(liu)過金(jin)屬浮(fu)子流(liu)量計(ji)的流(liu)量,浮(fu)子👅高(gao)度是(shi)浮🥰子(zi)在錐(zhui)管中(zhong)👨❤️👨的垂(chui)直位(wei)置.同(tong)樣數(shu)據表(biao)中的(de)第三(san)列是(shi)利用(yong)公式(shi)(3)計算(suan)出來(lai)的非(fei)線性(xing)誤差(cha).
3.3實驗(yan)數據(ju)分析(xi)
如圖(tu)5所示(shi)爲根(gen)據實(shi)驗過(guo)程中(zhong)所得(de)到的(de)标準(zhun)流量(liang)和浮(fu)子高(gao)度🍓之(zhi)間的(de)對應(ying)關系(xi)曲線(xian)及相(xiang)應的(de)利用(yong)最小(xiao)二乘(cheng)法得(de)到的(de)拟合(he)直線(xian).
下面(mian)對行(hang)程分(fen)别是(shi)45mm、50mm,55mm的浮(fu)子流(liu)量計(ji)的非(fei)線性(xing)誤差(cha)值作(zuo)一下(xia)比較(jiao).從表(biao)4、表5,表(biao)6中的(de)非線(xian)性誤(wu)差數(shu)據可(ke)以看(kan)出,在(zai)實驗(yan)過程(cheng)中流(liu)量和(he)浮子(zi)高度(du)之間(jian)也并(bing)不是(shi)簡單(dan)的一(yi)對應(ying)的線(xian)性關(guan)系,二(er)者⚽之(zhi)間存(cun)在嚴(yan)💰重的(de)非線(xian)🌏性,這(zhe)也進(jin)🥵一步(bu)證明(ming)了在(zai)進行(hang)🥵流量(liang)計算(suan)🧑🏽🤝🧑🏻時不(bu)能利(li)用公(gong)式(2)對(dui)流量(liang)和高(gao)度之(zhi)間的(de)關系(xi)進行(hang)線性(xing)化處(chu)理,而(er)應該(gai)利用(yong)公式(shi)🔞(1)進行(hang)計算(suan).
當浮(fu)子行(hang)程是(shi)45mm(錐半(ban)角φ=21°06')時(shi):最大(da)非線(xian)性誤(wu)差γmax=12.43%,平(ping)均非(fei)線🏃性(xing)誤差(cha)‼️γ=6.71%.
當浮(fu)子行(hang)程是(shi)50mm(錐半(ban)角中(zhong)=18°16')時:最(zui)大非(fei)線性(xing)誤差(cha)γmax=11.45%,平均(jun)非線(xian)❤️性誤(wu)差γ=5.08%.
當(dang)浮子(zi)行程(cheng)是55mm(錐(zhui)半角(jiao)φ=15°15')時:最(zui)大非(fei)線性(xing)誤差(cha)γmx=5.66%,平均(jun)非🔞線(xian)性誤(wu)🎯差V=3.28%.
對(dui)比.上(shang)述兩(liang)組最(zui)大非(fei)線性(xing)誤差(cha)和平(ping)均非(fei)線性(xing)誤差(cha)✨的數(shu)值可(ke)以看(kan)出,當(dang)浮子(zi)行程(cheng)爲45mm、50mm,55mm,相(xiang)應的(de)錐半(ban)角爲(wei)φ=21°06'φ=18°16'φ=15°15'時浮(fu)子流(liu)量🔅計(ji)非線(xian)性誤(wu)差的(de)最大(da)值和(he)平均(jun)值也(ye)都有(you)了很(hen)明顯(xian)的減(jian)☎️小,其(qi)中浮(fu)子流(liu)🐕量計(ji)的線(xian)性度(du)即最(zui)大非(fei)線性(xing)誤差(cha)分别(bie)爲γmax=12.43%γmax=11.45%γmax=5.66%,儀(yi)表的(de)線性(xing)度得(de)到了(le)很好(hao)的.改(gai)善.
4結(jie)論
本(ben)文針(zhen)對浮(fu)子流(liu)量計(ji)的線(xian)性度(du)問題(ti)進行(hang)了研(yan)究,文(wen)中給(gei)出了(le)📐在三(san)種行(hang)程下(xia)不同(tong)的流(liu)量點(dian)處的(de)非線(xian)性誤(wu)差值(zhi),并😄從(cong)理論(lun)和實(shi)驗做(zuo)了對(dui)比分(fen)析.理(li)論分(fen)析和(he)實驗(yan)研究(jiu)表明(ming),在目(mu)前應(ying)用的(de)短管(guan)型浮(fu)子流(liu)量計(ji)中流(liu)量和(he)浮子(zi)高度(du)之間(jian)不是(shi)一--對(dui)應的(de)線💛性(xing)關系(xi),因此(ci)在進(jin)行流(liu)量計(ji)時不(bu)能選(xuan)用公(gong)式(2),而(er)應該(gai)選擇(ze)公式(shi)(1).
分析(xi)兩個(ge)行程(cheng)下的(de)浮子(zi)流量(liang)計非(fei)線性(xing)誤差(cha)數據(ju)可以(yi)得到(dao)☁️如下(xia)結論(lun):浮子(zi)的行(hang)程(錐(zhui)管的(de)錐角(jiao))是影(ying)響浮(fu)子流(liu)♊量計(ji)🙇🏻線性(xing)度的(de)一個(ge)重要(yao)因素(su),适當(dang)增加(jia)浮子(zi)的行(hang)程、減(jian)🔆小錐(zhui)管的(de)錐角(jiao),可以(yi)使一(yi)次儀(yi)表的(de)線性(xing)度有(you)很大(da)的改(gai)善,這(zhe)對于(yu)浮子(zi)流量(liang)傳感(gan)器結(jie)構的(de)設計(ji)與🈚優(you)化具(ju)有重(zhong)要的(de)指導(dao)意義(yi).
本文(wen)來源(yuan)于網(wang)絡,如(ru)有侵(qin)權聯(lian)系即(ji)删除(chu)!