免费播放片高清视频 電廠DCS鍋爐給水流量計算問題處理-江蘇省速惠自动化制造有限公司
  溫(wen)度儀表(biao)系列
  壓(ya)力儀表(biao)系列
  流(liu)量儀表(biao)系列
  校(xiao)驗儀表(biao)系列
  顯(xian)示儀表(biao)系列
  電線電(dian)纜系列(lie)
 
  氧化(hua)锆氧傳(chuan)感器的(de)原理及(ji)應用
  有(you)害氣體(ti)檢測報(bao)警儀選(xuan)用原則(ze)
  我國計(ji)量用儀(yi)器儀表(biao)的發展(zhan)和現狀(zhuang)
國内儀(yi)器儀表(biao)行業将(jiang)發生高(gao)科....
 
  采(cai)用半導(dao)體精密(mi)溫度傳(chuan)感......
  智能(neng)溫度傳(chuan)感器的(de)發展趨(qu)勢
  簡述(shu)幾種氣(qi)體檢測(ce)傳感器(qi).....
  利用傳(chuan)感器技(ji)術制造(zao)智能服(fu)裝
  新型(xing)傳感器(qi)監控魚(yu)群數量(liang)
 
聯系方(fang)式
 電話(hua)(市場部(bu)):  
       
        
 傳真:
 節(jie)假日商(shang)務聯系(xi)電話:
 何(he)經理:
 劉(liu)經理:
 郵(you)編:211600
 網址(zhi):/
    http://banyunshe.cc/
 E-mail:[email protected]
     [email protected]
 地址:江(jiang)蘇省金(jin)湖縣工(gong)業園區(qu)環城西(xi)
 路269号
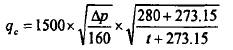
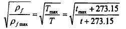
 您(nin)現在的(de)位置 > 首(shou)頁 > 行業(ye)新聞 > 電(dian)廠DCS鍋爐(lu)給水流(liu)量計算(suan)問題處(chu)理
     

江蘇(su)省速惠自动化制造有限公司是一(yi)家專業(ye)提供 渦(wo)街流量(liang)計 渦輪(lun)流量計(ji) 電磁流(liu)量計 的(de)企業,公(gong)司将以(yi)優質的(de)服務優(you)惠的價(jia)格,服務(wu)新老客(ke)戶。

·
·