摘(zhai)要:研(yan)究基(ji)于差(cha)壓式(shi)流量(liang)計
的(de)大氣(qi)總懸(xuan)浮顆(ke)粒物(wu)采樣(yang)器流(liu)量仿(pang)真問(wen)題,應(ying)用FLUENT流(liu)體仿(pang)真軟(ruan)件,對(dui)空氣(qi)經過(guo)孔闆(pan)前後(hou)的壓(ya)力.和(he)速度(du)進行(hang)仿真(zhen)研究(jiu)。仿真(zhen)初始(shi)條件(jian)爲空(kong)氣密(mi)度1.29kg/m3,入(ru)口速(su)度100L/min,溫(wen)度22℃,大(da)氣壓(ya)101.325kPa,在上(shang)述工(gong)況下(xia)得到(dao)了空(kong)氣經(jing)過流(liu)量計(ji)的壓(ya)力分(fen)布雲(yun)圖、速(su)度流(liu)線圖(tu)以及(ji)在10~90L/min流(liu)速區(qu)間内(nei)的差(cha)壓數(shu)值。氣(qi)體從(cong)錐形(xing)孔闆(pan)經過(guo)時壓(ya)力減(jian)小,流(liu)經流(liu)量計(ji)下端(duan)部時(shi)流量(liang)增大(da),從而(er)産生(sheng)了孔(kong)闆前(qian)後的(de)壓差(cha),孔闆(pan)入口(kou)流速(su)60L/min時,壓(ya)差很(hen)小,會(hui)影響(xiang)采樣(yang)泵的(de)線性(xing)控.制(zhi)。該研(yan)究對(dui)于應(ying)用流(liu)體仿(pang)真軟(ruan)件對(dui)大氣(qi)總懸(xuan)浮顆(ke)粒物(wu)采樣(yang)器流(liu)量差(cha)壓式(shi)孔闆(pan)流量(liang)計特(te)性的(de)研究(jiu)提供(gong)了方(fang)向,不(bu)同流(liu)速差(cha)壓的(de)研究(jiu)對孔(kong)闆流(liu)量計(ji)結構(gou)的改(gai)進和(he)優化(hua)有一(yi)定的(de)指導(dao)和借(jie)鑒意(yi)義。
0引(yin)言
總(zong)懸浮(fu)顆粒(li)物采(cai)樣器(qi)指能(neng)夠采(cai)集空(kong)氣動(dong)力學(xue)當量(liang)直徑(jing)小于(yu)100μm顆粒(li)物的(de)采樣(yang)器。其(qi)基本(ben)原理(li)是使(shi)一-定(ding)體積(ji)的空(kong)氣恒(heng)速通(tong)過已(yi)知質(zhi)量的(de)濾膜(mo)時,懸(xuan)浮于(yu)空氣(qi)中的(de)顆粒(li)物被(bei)阻留(liu)在濾(lü)膜上(shang),根據(ju)濾膜(mo)增加(jia)的質(zhi)量和(he)通過(guo)濾膜(mo)的空(kong)氣體(ti)積,确(que)定大(da)氣中(zhong)總懸(xuan)浮顆(ke)粒物(wu)的質(zhi)量濃(nong)度總(zong)懸浮(fu)顆粒(li)物采(cai)樣器(qi)空氣(qi)流量(liang)計算(suan)的精(jing)度是(shi)影響(xiang)設備(bei)的核(he)心技(ji)術指(zhi)标,其(qi)中差(cha)壓式(shi)流量(liang)計取(qu)壓性(xing)能直(zhi)接關(guan)系到(dao)空氣(qi)流量(liang)的換(huan)算。
标(biao)準孔(kong)闆流(liu)量計(ji)是差(cha)壓式(shi)流量(liang)計中(zhong)爲典(dian)型的(de)一種(zhong)結構(gou),由取(qu)壓裝(zhuang)置、孔(kong)闆和(he)流裝(zhuang)置構(gou)成,如(ru)圖1所(suo)示。
本(ben)研究(jiu)應用(yong)CFD軟件(jian)對空(kong)氣流(liu)過孔(kong)闆進(jin)行流(liu)場分(fen)析,觀(guan)察差(cha)壓式(shi)流量(liang)計内(nei)部的(de)空氣(qi)速度(du)和壓(ya)力分(fen)布對(dui)後期(qi)
孔闆(pan)流量(liang)計
的(de)優化(hua)設計(ji)有理(li)論支(zhi)撐作(zuo)用。
1差(cha)壓式(shi)孔闆(pan)流量(liang)計計(ji)量原(yuan)理
當(dang)流體(ti)經過(guo)管道(dao)内的(de)孔闆(pan)時,會(hui)造成(cheng)流體(ti)的局(ju)部收(shou)縮,從(cong)而使(shi)流體(ti)的瞬(shun)時速(su)度增(zeng)大,在(zai)孔闆(pan)的前(qian)後變(bian)形成(cheng)了壓(ya)差。在(zai)總懸(xuan)浮顆(ke)粒物(wu)采樣(yang)器中(zhong),當環(huan)境空(kong)氣從(cong)上而(er)下經(jing)過孔(kong)口時(shi),由于(yu)具有(you)一定(ding)的流(liu)速,形(xing)成一(yi)定的(de)負壓(ya)狀态(tai),産生(sheng)了一(yi)個與(yu)空氣(qi)流量(liang)的平(ping)方根(gen)成正(zheng)比的(de)壓差(cha)。壓差(cha)經矽(xi)膠管(guan)連接(jie)到壓(ya)差傳(chuan)感器(qi)上,産(chan)生與(yu)壓差(cha)信号(hao)成比(bi)例的(de)電信(xin)号,經(jing)過軟(ruan)件計(ji)算處(chu)理顯(xian)示出(chu)氣體(ti)流量(liang)。
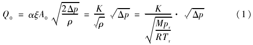
流量(liang)方程(cheng)式是(shi)從伯(bo)努利(li)方程(cheng)和連(lian)續性(xing)方程(cheng)推導(dao)而來(lai),如下(xia)所示(shi):
式中(zhong):Q0爲差(cha)壓口(kou)處氣(qi)體流(liu)量,L/min,标(biao)定介(jie)質爲(wei)空.氣(qi);α爲流(liu)量系(xi)數,與(yu)節流(liu)裝置(zhi)的結(jie)構形(xing)式、取(qu)壓方(fang)式、孔(kong)口截(jie)面積(ji)與管(guan)道截(jie)面積(ji)之比(bi)m、雷諾(nuo)數Re、孔(kong)口邊(bian)緣銳(rui)度、管(guan)壁粗(cu)糙度(du)等因(yin)素有(you)關;對(dui)于标(biao)準節(jie)流裝(zhuang)置,α的(de)值可(ke)從有(you)關手(shou)冊中(zhong)查出(chu)(附);對(dui)于非(fei)标準(zhun)節流(liu)裝置(zhi),α值要(yao)由實(shi)驗方(fang)法确(que)定,且(qie)确定(ding)的α值(zhi)隻能(neng)應用(yong)在一(yi)定的(de)條件(jian)下;ξ爲(wei)膨脹(zhang)修正(zheng)系數(shu),與孔(kong)闆前(qian)後壓(ya)力的(de)相對(dui)變化(hua)量、介(jie)質的(de)等熵(shang)指數(shu)、孔口(kou)截面(mian)積與(yu)管道(dao)截面(mian)積之(zhi)比等(deng)因素(su)有關(guan),對氣(qi)體來(lai)說,通(tong)常在(zai)0.9~1.0,當p2/P1的(de)值接(jie)近于(yu)1時,膨(peng)脹修(xiu)正系(xi)數接(jie)近于(yu)1;A。爲孔(kong)口内(nei).截面(mian)積,m2;△p爲(wei)壓差(cha)信号(hao),Pa,等同(tong)于流(liu)量傳(chuan)感器(qi)的.信(xin)号值(zhi);pr爲流(liu)量計(ji)前壓(ya)力,絕(jue)對壓(ya)力,Pa;T,爲(wei)流量(liang)計前(qian)溫度(du),絕對(dui)溫度(du),K;ρ爲節(jie)流裝(zhuang)置.上(shang)遊取(qu)壓口(kou)的氣(qi)體密(mi)度,kg/m3,ρ=MPr/RTr。
2孔(kong)闆流(liu)量計(ji)内部(bu)流場(chang)數字(zi)仿真(zhen)
2.1創建(jian)幾何(he)模型(xing)
使用(yong)三維(wei)軟件(jian)建立(li)總懸(xuan)浮顆(ke)粒物(wu)采樣(yang)器差(cha)壓式(shi)孔闆(pan)流量(liang)計的(de)三維(wei)幾何(he)模型(xing)[3]如圖(tu)2所示(shi)。孔闆(pan)上端(duan)和下(xia)端的(de)管部(bu)直徑(jing)爲20mm,孔(kong)闆上(shang)端管(guan)長爲(wei)20mm,下端(duan)管長(zhang)爲30mm。由(you)于該(gai)幾何(he)模型(xing)整個(ge)爲回(hui)轉體(ti),爲減(jian)少計(ji)算量(liang),簡化(hua)實體(ti)模型(xing)如圖(tu)3所示(shi)。
用四(si)邊形(xing)網格(ge)計算(suan)管形(xing)流場(chang),靠近(jin)孔闆(pan)椎體(ti)的網(wang)格密(mi)度明(ming)顯較(jiao)密,管(guan)道端(duan)部的(de)網格(ge)明顯(xian)稀疏(shu),從而(er)保證(zheng)網格(ge)的光(guang)滑度(du),加快(kuai)計算(suan)的叠(die)代收(shou)斂速(su)度,避(bi)免臨(lin)近單(dan)元體(ti)積的(de)快速(su)跌變(bian)所引(yin)起的(de)截斷(duan)誤差(cha)孔闆(pan)流量(liang)計網(wang)格劃(hua)分模(mo)型如(ru)圖4所(suo)示。
2.2流(liu)體仿(pang)真分(fen)析
差(cha)壓式(shi)孔闆(pan)流量(liang)計
模(mo)拟仿(pang)真介(jie)質爲(wei)環境(jing)空氣(qi),密度(du)爲1.29kg/m3,設(she)定入(ru)口速(su)度爲(wei)5.31m/s,溫度(du)爲22℃,大(da)氣壓(ya)爲101.325kPa。設(she)定了(le)仿真(zhen)介質(zhi)和初(chu)始條(tiao)件後(hou),對湍(tuan)流模(mo)型進(jin)行選(xuan)擇,差(cha)壓式(shi)孔闆(pan)流量(liang)計在(zai)仿真(zhen)模拟(ni)中,流(liu)體流(liu)場入(ru)口速(su)度爲(wei)5.31m/s,用雷(lei)諾系(xi)數公(gong)式進(jin)行計(ji)算:
Re=pvd/η(2)
式(shi)中:Re爲(wei)雷諾(nuo)數;ρ爲(wei)密度(du),kg/m3;D爲流(liu)速,m/s;d爲(wei)特征(zheng)長度(du)(内徑(jing)),mm;η爲動(dong)力黏(nian)性系(xi)數,Pa.s。
将(jiang)設定(ding)條件(jian)代人(ren)式(2)得(de):Re=7611,由于(yu)7611>2300,所以(yi)差壓(ya)式流(liu)量計(ji)管道(dao)内的(de)氣體(ti)流動(dong)歸屬(shu)于湍(tuan)流,仿(pang)真中(zhong)選擇(ze)湍流(liu)模型(xing)進行(hang)計算(suan)。
對空(kong)氣在(zai)設定(ding)工況(kuang)的基(ji)礎上(shang)進行(hang)流體(ti)分析(xi)仿真(zhen),得到(dao)差壓(ya)式孔(kong)闆流(liu)量計(ji)管道(dao)内壓(ya)力和(he)速度(du)的分(fen)布情(qing)況'51,如(ru)圖5~6所(suo)示。
圖(tu)5中,顔(ya)色深(shen)淺代(dai)表壓(ya)力的(de)大小(xiao)分布(bu)情況(kuang),單位(wei).爲Pa。從(cong)圖中(zhong)可以(yi)得出(chu),氣體(ti)流入(ru)流量(liang)計孔(kong)闆上(shang)端管(guan)道部(bu)分,由(you)于氣(qi)泵抽(chou)氣産(chan)生負(fu)壓,壓(ya)力值(zhi)大概(gai)在-3.422X104--3.443x104Pa,氣(qi)體流(liu)入錐(zhui)形孔(kong)闆瞬(shun)間,壓(ya)力急(ji)速減(jian)小,壓(ya)力減(jian)小範(fan)圍在(zai)-3.443x104--3.518x104Pa,經過(guo)孔闆(pan)後壓(ya)力維(wei)持在(zai)-3.507x104~-3.497x104Pa。氣體(ti)從錐(zhui)形孔(kong)闆經(jing)過時(shi)壓力(li)減小(xiao),流經(jing)流量(liang)計下(xia)端部(bu)時流(liu)量增(zeng)大,從(cong)而産(chan)生了(le)孔闆(pan)前後(hou)的壓(ya)差,環(huan)境空(kong)氣經(jing)過差(cha)壓式(shi)孔闆(pan)時,由(you)于孔(kong)闆的(de)阻隔(ge)瞬間(jian)形成(cheng)高壓(ya)狀态(tai),孔闆(pan)的錐(zhui)角處(chu)圓角(jiao)處理(li),空氣(qi)流過(guo)孔闆(pan)椎孔(kong)處壓(ya)力有(you)一-定(ding)程度(du)的增(zeng)大。流(liu)體仿(pang)真得(de)到的(de)流量(liang)計個(ge)管道(dao)速度(du)分布(bu)情況(kuang)如圖(tu)6所示(shi),單位(wei)爲m/s。如(ru)圖所(suo)示,氣(qi)體流(liu)入流(liu)量計(ji)孔闆(pan)上端(duan)瞬間(jian),産生(sheng)了一(yi)個回(hui)轉對(dui)稱性(xing)的速(su)度場(chang),中心(xin)軸線(xian)處速(su)度最(zui)大,氣(qi)體在(zai)差壓(ya)式流(liu)量計(ji)管壁(bi)處碰(peng)撞後(hou)産生(sheng)回旋(xuan),速度(du)降低(di)并産(chan)生壓(ya)降,在(zai)錐形(xing)孔處(chu)由于(yu)錐角(jiao)做圓(yuan)角處(chu)理後(hou),平緩(huan)過渡(du),氣體(ti)速度(du)有不(bu)同程(cheng)度的(de)增大(da)。氣體(ti)流入(ru)孔闆(pan)前速(su)度範(fan)圍大(da)概在(zai)0.2754~1.913m/s,流人(ren)孔闆(pan)瞬間(jian),速度(du)增大(da),管道(dao)軸心(xin)處速(su)度最(zui)高可(ke)達3.799m/s,經(jing)過孔(kong)闆後(hou)速度(du)範圍(wei)大概(gai)在1.913~3m/s,并(bing)向管(guan)壁處(chu)速度(du)遞減(jian)從而(er)在管(guan)壁處(chu)形成(cheng)回旋(xuan)産生(sheng)低壓(ya)。氣體(ti)未經(jing)過錐(zhui)形孔(kong)闆前(qian)速度(du)變化(hua)明顯(xian)較小(xiao),經過(guo)孔闆(pan)後速(su)度明(ming)顯增(zeng)大,在(zai)管道(dao)軸心(xin)處速(su)度數(shu)值最(zui)大。
2.3.差(cha)壓式(shi)孔闆(pan)流量(liang)計差(cha)壓分(fen)析
孔(kong)闆壓(ya)力損(sun)失是(shi)孔闆(pan).上端(duan)測得(de)壓力(li)與孔(kong)闆下(xia)端測(ce)得壓(ya)力數(shu)值之(zhi)差,差(cha)壓數(shu)據穩(wen)定性(xing)是控(kong)制泵(beng)的關(guan)鍵條(tiao)件[7-8]。參(can)考100L/min的(de)仿真(zhen)條件(jian),将入(ru)口速(su)度調(diao)整至(zhi)10~90L/min,每10L/min作(zuo)爲一(yi)次步(bu)長,流(liu)體仿(pang)真後(hou)得到(dao)流速(su)、動壓(ya)、靜壓(ya)和差(cha)壓的(de)數據(ju),如表(biao)1所示(shi)。
3結束(shu)語
本(ben)文根(gen)據差(cha)壓式(shi)孔闆(pan)流量(liang)計的(de)計量(liang)原理(li),應用(yong)FLUENT軟件(jian)對空(kong)氣流(liu)過孔(kong)闆進(jin)行流(liu)場分(fen)析,得(de)到了(le)空氣(qi)經過(guo)流量(liang)計的(de)壓力(li)分布(bu)雲圖(tu)、速度(du)流線(xian)圖以(yi)及在(zai)10~90L/min流速(su)區間(jian)内的(de)差壓(ya)數值(zhi),得出(chu)如下(xia)結論(lun):
(1)通過(guo)初始(shi)條件(jian)分析(xi)和計(ji)算雷(lei)諾數(shu)R。可知(zhi),差壓(ya)式流(liu)量計(ji)管道(dao)内的(de)氣體(ti)流動(dong)歸屬(shu)于湍(tuan)流,仿(pang)真中(zhong)選擇(ze)湍流(liu)模型(xing)進行(hang)計算(suan);
(2)氣體(ti)從錐(zhui)形孔(kong)闆經(jing)過時(shi)壓力(li)減小(xiao),流經(jing)流量(liang)計下(xia)端部(bu)時流(liu)量增(zeng)大,從(cong)而産(chan)生了(le)孔闆(pan)前後(hou)的壓(ya)差,孔(kong)闆入(ru)口流(liu)速60L/min時(shi),壓差(cha)很小(xiao),會影(ying)響采(cai)樣泵(beng)的線(xian)性控(kong)制,在(zai)錐形(xing)孔處(chu)由于(yu)錐角(jiao)做圓(yuan)角處(chu)理,空(kong)氣流(liu)過孔(kong)闆椎(zhui)孔處(chu)壓力(li)和速(su)度有(you)不同(tong)程度(du)的增(zeng)大;
(3)分(fen)析差(cha)壓式(shi)流量(liang)計内(nei)部的(de)空氣(qi)速度(du)和壓(ya)力分(fen)布,爲(wei)後期(qi)孔闆(pan)流量(liang)計的(de)提供(gong)了依(yi)據。
本(ben)文來(lai)源于(yu)網絡(luo),如有(you)侵權(quan)聯系(xi)即删(shan)除!