摘要(yao):針對孔闆(pan)流量計
在(zai)蒸汽測量(liang)過程中,因(yin)蒸汽溫度(du)和壓力的(de)變化導💃緻(zhi)測量🈲誤差(cha)大,通過對(dui)蒸汽溫度(du)和壓力進(jin)行補償修(xiu)正,減少儀(yi)表測量誤(wu)差。介紹了(le)孔闆流量(liang)計測量的(de)基本原理(li),對蒸汽進(jin)行溫壓補(bu)償的原因(yin)以及溫壓(ya)補償的處(chu)理方法、計(ji)算方式和(he)注意事項(xiang),并在DCS程⁉️序(xu)中得到驗(yan)證。
孔闆流(liu)量計是一(yi)種差壓式(shi)流量計,通(tong)過介質流(liu)過标準孔(kong)闆㊙️前後的(de)差壓來測(ce)量流量,常(chang)用于測量(liang)蒸汽、液體(ti)的流量,是(shi)應用最㊙️廣(guang)泛的流量(liang)計之一。孔(kong)闆流量計(ji)💋由标準孔(kong)闆、導🥵壓管(guan)路和變送(song)器三部分(fen)組成,在使(shi)用過程中(zhong)介質溫度(du)、密度、安裝(zhuang)前📱後直管(guan)段長度和(he)節流裝置(zhi)精度都會(hui)影響孔闆(pan)流量計的(de)流量測量(liang)精度🈲。本文(wen)通過在測(ce)量蒸汽流(liu)量過程💁,因(yin)實際工況(kuang)與設計工(gong)✂️況不一緻(zhi),而導緻蒸(zheng)汽流量偏(pian)差過大對(dui)生産運行(hang)帶✌️來的影(ying)響爲例,介(jie)紹了孔闆(pan)流量計的(de)測量原理(li)及溫差補(bu)償🌈原因,并(bing)根據蒸汽(qi)的❄️性質選(xuan)擇合适的(de)溫壓補償(chang)函數,并在(zai)DCS程序中驗(yan)證了溫壓(ya)補償函數(shu)的合理🏃🏻♂️性(xing),提高了蒸(zheng)汽流量測(ce)量🛀的精度(du)。
1.孔闆流量(liang)計測量原(yuan)理
根據流(liu)體力學,單(dan)位重量理(li)想流體機(ji)械能沿流(liu)線不變,勢(shi)能與動能(neng)之和守恒(heng),不随時間(jian)改變,。
理想(xiang)流體的伯(bo)努利能量(liang)方程爲:
位(wei)重量理想(xiang)流體的動(dong)能;α爲流量(liang)修正系數(shu)
位能與壓(ya)能的和爲(wei)勢能,勢能(neng)與動能的(de)和爲機械(xie)能🎯,假設⛹🏻♀️蒸(zheng)汽♈通過标(biao)準孔闆前(qian)後機械能(neng)守恒。
根據(ju)斷面流量(liang)方程:
式中(zhong):Q爲蒸汽流(liu)量,一般用(yong)質量流量(liang)表示,kg/h;ʋ爲蒸(zheng)汽流速,m/s;A爲(wei)斷面面積(ji),m2。
當蒸汽通(tong)過标準孔(kong)闆後,因斷(duan)面面積縮(suo)小流速會(hui)增加,流速(su)的增加又(you)會導緻斷(duan)面處壓力(li)減少,就會(hui)⭐在标準孔(kong)闆前後産(chan)生一個差(cha)壓值。差壓(ya)值與流速(su)👉成一定比(bi)例關系,流(liu)速與斷面(mian)面積成反(fan)比例關系(xi)。由式(1)、(2)可知(zhi),根據前後(hou)差壓值就(jiu)可以計算(suan)出蒸汽流(liu)💚量。
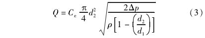
可求出(chu)孔闆流量(liang)計蒸汽流(liu)量公式爲(wei):
式中:CƐ爲流(liu)出系數,與(yu)可膨脹系(xi)數、流量系(xi)數等參數(shu)有關,爲一(yi)常數,标準(zhun)孔闆計算(suan)說明書給(gei)出;d1爲上遊(you)管道内徑(jing),d2爲标準孔(kong)👣闆開孔直(zhi)徑,m;△p爲差壓(ya)變送器顯(xian)🌐示的差壓(ya)值,pa;ρ爲蒸汽(qi)的密度,kg/m3.
2蒸(zheng)汽溫壓補(bu)償的原理(li)
2.1蒸汽的特(te)性
蒸汽是(shi)一種氣體(ti),分爲飽和(he)蒸汽和過(guo)熱蒸汽。有(you)限👅密閉空(kong)間内的液(ye)體在一定(ding)的壓力下(xia)加熱至沸(fei)騰♉,就會逐(zhu)漸開始⚽汽(qi)化變爲蒸(zheng)汽。當單位(wei)時間内進(jin)人密閉空(kong)間的分❄️子(zi)數與返回(hui)液體中的(de)分子數相(xiang)等🏃♂️時,密閉(bi)空間内的(de)蒸汽分子(zi)密♻️度也不(bu)再發生變(bian)化,此時蒸(zheng)發與凝結(jie)會處于一(yi)種動平衡(heng)狀态,稱爲(wei)飽和狀态(tai),産生的蒸(zheng)汽就是飽(bao)和💜蒸汽。飽(bao)和蒸汽的(de)溫度和壓(ya)力一一對(dui)🚶♀️應,兩者之(zhi)間存在一(yi)個變量關(guan)系。飽和蒸(zheng)汽又分爲(wei)幹飽和蒸(zheng)汽和濕飽(bao)和蒸汽,千(qian)飽💯和蒸汽(qi)不含水分(fen),但實際運(yun)行中很難(nan)達到這種(zhong)狀❗态。理想(xiang)飽和蒸汽(qi)根據溫度(du)和壓力值(zhi),就🈲可以推(tui)導出蒸汽(qi)密度。對飽(bao)和蒸汽進(jin)行溫壓補(bu)償,根據實(shi)際測得的(de)溫度、壓力(li)值,通過蒸(zheng)汽密度表(biao)推導出合(he)适的函數(shu)關系式即(ji)可。
繼續加(jia)熱飽和蒸(zheng)汽,飽和蒸(zheng)汽中的水(shui)分會逐漸(jian)減少直至(zhi)完全蒸發(fa),蒸汽溫度(du)會繼續上(shang)升最終超(chao)過該壓力(li)對應的飽(bao)和溫度,成(cheng)爲過熱蒸(zheng)汽。在工況(kuang)波動範圍(wei)較大或管(guan)道保溫效(xiao)果不好的(de)情況下,過(guo)熱蒸汽也(ye)會變爲飽(bao)和蒸汽形(xing)成氣液二(er)相流。過熱(re)蒸⭐汽性質(zhi)比較複雜(za),溫度與壓(ya)力不再具(ju)有一-對應(ying)關系,并不(bu)服從理想(xiang)氣體公式(shi),隻🏃能看作(zuo)實際氣體(ti)。通常過熱(re)蒸汽密度(du)與溫度成(cheng)反比,與壓(ya)力成正比(bi),過🔴熱🧡蒸汽(qi)在不同溫(wen)度、壓力區(qu)間的函數(shu)關系也不(bu)同,很難用(yong)-一個統一(yi)的函數關(guan)系💋式表達(da)出來
2.2蒸汽(qi)溫壓補償(chang)的目的
在(zai)蒸汽測量(liang)中,設計工(gong)況與實際(ji)工況相對(dui)比往往存(cun)在偏差,孔(kong)闆流量計(ji)的可膨脹(zhang)系數、流量(liang)系數等參(can)數都會📧改(gai)變,蒸汽密(mi)度更會産(chan)生較大變(bian)化。如果不(bu)對蒸汽進(jin)行溫壓補(bu)償,測量顯(xian)示的流量(liang)值與實際(ji)值相比🚶♀️就(jiu)會有誤差(cha),影響儀表(biao)的正常使(shi)用,需要采(cai)用溫壓補(bu)償對流量(liang)測量結果(guo)予以修正(zheng)。
對蒸汽進(jin)行溫壓補(bu)償,就是根(gen)據蒸汽實(shi)際運行工(gong)況🌈的溫度(du)、壓力,通過(guo)相應的溫(wen)壓補償公(gong)式轉換出(chu)⛹🏻♀️蒸汽的實(shi)際密度,最(zui)後計算出(chu)蒸汽的實(shi)際流量。由(you)式(3)可知,如(ru)果實際工(gong)況參數與(yu)♉設計工況(kuang)參數偏差(cha)不大,流出(chu)系數CƐ。可以(yi)默認不變(bian)。故蒸汽進(jin)行溫壓補(bu)償的核心(xin),就❄️是對蒸(zheng)汽密度進(jin).行補償。過(guo)熱蒸汽密(mi)度補償的(de)難點🏃,就是(shi)需要通過(guo)蒸汽的溫(wen)度和壓力(li),推導出與(yu)☔蒸汽密度(du)的關系,并(bing)能找☎️到合(he)理的函數(shu)公式表達(da)出來。
在進(jin)行溫壓補(bu)償之前,要(yao)盡量減少(shao)孔闆流量(liang)計安裝等(deng)問題帶來(lai)的誤差。首(shou)先是孔闆(pan)流量計的(de)選型🧑🏽🤝🧑🏻是否(fou)合理,量程(cheng)應該适宜(yi);檢查标準(zhun)孔闆有無(wu)變形,安裝(zhuang)方💁向是否(fou)正确;孔闆(pan)流量計前(qian)後直管段(duan)距離🐆是否(fou)滿足計算(suan)說明書要(yao)求,需滿足(zu)前20倍管徑(jing)後10倍管徑(jing)距離;孔闆(pan)流量計、導(dao)壓管安裝(zhuang)時,正負壓(ya)側冷凝水(shui)罐安裝😍高(gao)度應一緻(zhi),冷凝🔞水罐(guan)溢流口位(wei)📱置應👌高于(yu)取壓口,水(shui)平導壓管(guan)保持一定(ding)角度,避免(mian)高低壓側(ce)導壓管内(nei)殘留冷凝(ning)水産生附(fu)加🚩差壓;檢(jian)查孔闆高(gao)低壓側導(dao)壓管和
三(san)閥組
有無(wu)異物阻塞(sai),不定時打(da)開排污閥(fa)排污。檢查(cha)DCS程序回路(lu),各類🧡參數(shu)值設置是(shi)否與計算(suan)說明書--緻(zhi),公式是否(fou)✏️正确🐅,最後(hou)用信号發(fa)生器模拟(ni)差壓信号(hao),結合計算(suan)說明書在(zai)DCS程序中驗(yan)證流量是(shi)否正确。
2.3蒸(zheng)汽溫壓補(bu)償的方式(shi)
以某工業(ye)造紙爲例(li),由蒸汽流(liu)程圖可知(zhi),從電站來(lai)蒸汽由總(zong)管分爲兩(liang)支管,高壓(ya)側蒸汽支(zhi)管壓力、溫(wen)度不變,另(ling)一蒸汽支(zhi)管經減溫(wen)減壓裝置(zhi)後,蒸汽的(de)壓力和💘溫(wen)度均有所(suo)降低,兩蒸(zheng)汽分支管(guan)均安裝有(you)‼️孔闆流量(liang)計、
溫度變(bian)送器
和
壓(ya)力變送器(qi)
,并全部接(jie)人DCS中。蒸汽(qi)流程圖如(ru)圖1所示。
根(gen)據标準孔(kong)闆計算說(shuo)明書,介質(zhi)爲過熱蒸(zheng)汽,兩台孔(kong)闆🤩流量計(ji)設計工況(kuang)壓力分别(bie)爲0.85MPa和0.5MPa,工況(kuang)溫度分别(bie)爲🤩200℃和172℃,流量(liang)分别爲0~15Vh和(he)0~50t/h,各類系數(shu)及蒸汽工(gong)況密度✔️等(deng)參數均已(yi)在計算說(shuo)明書中給(gei)出。
實際運(yun)行時,高壓(ya)側蒸汽管(guan)道壓力爲(wei)0.65~0.7MPa,溫度爲220℃左(zuo)右。低壓側(ce)🍉蒸㊙️汽管道(dao)壓力爲0.45~0.5MPa,溫(wen)度爲160℃左右(you)。可知低壓(ya)側蒸汽管(guan)的㊙️實際工(gong)況與設🐇計(ji)工況相比(bi),壓力和溫(wen)度相對低(di),而高壓側(ce)蒸汽管的(de)實際工況(kuang)壓力比設(she)計工況偏(pian)低🧑🏾🤝🧑🏼,溫度偏(pian)高。按照孔(kong)闆計算說(shuo)明要求,在(zai)DCS程序中設(she)置好流量(liang)計算公式(shi),直接代人(ren)各項參數(shu),通過
差壓(ya)變送器
顯(xian)示的差壓(ya)值計算出(chu)過熱蒸汽(qi)瞬時流量(liang)。按照過熱(re)💞蒸汽🙇♀️性質(zhi)推.算,低壓(ya)側蒸汽實(shi)際流量應(ying)該略高于(yu)孔❌闆流量(liang)計測量流(liu)量,高壓側(ce)蒸汽實際(ji)流量應該(gai)低于孔闆(pan)流☂️量計測(ce)量流量。
未(wei)進行溫壓(ya)補償前,兩(liang)台孔闆流(liu)量計流量(liang)運行曲線(xian)圖如圖2所(suo)示,正常運(yun)行時高壓(ya)側蒸汽流(liu)量爲10t/h左右(you),低🐆壓側🈲蒸(zheng)汽流量爲(wei)32tV/h左右。
計算(suan)過熱蒸汽(qi)密度一般(ban)采用工業(ye)用公式。在(zai)IFC-1967公式的基(ji)礎上,制定(ding)并通過了(le)全新的水(shui)和水蒸汽(qi)計算公式(shi),目前⚽公式(shi)是最全面(mian)、準确計算(suan)水蒸汽熱(re)力性🌈質公(gong)式。但上述(shu)兩套公式(shi)有大量的(de)條件要求(qiu),不同區間(jian)有不同的(de)密度公式(shi),計算也十(shi)分複雜。根(gen)據公㊙️式編(bian)制了标準(zhun)的蒸汽密(mi)🏃🏻♂️度表,該蒸(zheng)汽密度表(biao)數據🚩齊全(quan)适用性廣(guang),簡單易查(cha),而且在化(hua)工生産中(zhong)常用的蒸(zheng)汽溫度爲(wei)0~600℃,壓力爲0.1~5.0MPa,公(gong)式均能滿(man)足使用要(yao)求,是目前(qian)獲取蒸汽(qi)密度☁️最廣(guang)泛的方法(fa)之一。
根據(ju)孔闆流量(liang)計運行的(de)溫度、壓力(li)區間,查詢(xun)過熱🏃♀️蒸汽(qi)密度表如(ru)表1所示。
因(yin)爲工況原(yuan)因實際上(shang)蒸汽密度(du)是在一直(zhi)變化中,所(suo)以常用♉的(de)查表法并(bing)不适用于(yu)DCS程序中因(yin)此需要采(cai)用相對📱簡(jian)單🐇的密度(du)補償公式(shi),在一定範(fan)圍内滿足(zu)蒸汽密度(du)表的要求(qiu),就可以快(kuai)速實現密(mi)度補償提(ti)高測量精(jing)度。實現密(mi)度補償的(de)方法有很(hen)多,采用密(mi)度拟合法(fa)對過熱蒸(zheng)汽進行溫(wen)壓補償,相(xiang)對比較容(rong)易輸人DCS程(cheng)序中,在要(yao)求的蒸汽(qi)溫壓區間(jian)内也比較(jiao)符合公式(shi)要求,計算(suan)精度也較(jiao)高。
拟合公(gong)式爲:
式中(zhong):ρ爲補償後(hou)的蒸汽密(mi)度,kg/m3;T爲過熱(re)蒸汽溫度(du),℃;p爲過💜熱蒸(zheng)汽壓力,MPa。
根(gen)據拟合公(gong)式,參考孔(kong)闆流量計(ji)實際運行(hang)的溫度、壓(ya)✉️力區間,計(ji)算出過熱(re)蒸汽密度(du)如表2所示(shi)。
根據蒸汽(qi)流程圖1所(suo)示,将變送(song)器所測過(guo)熱蒸汽溫(wen)度和壓力(li)數值,代人(ren)式(4)中,分别(bie)計算出補(bu)償後的兩(liang)分支管過(guo)♋熱蒸汽密(mi)度,最後代(dai)人标準孔(kong)闆計算說(shuo)⁉️明書中的(de)流量公式(shi),求🔴出補償(chang)後的蒸汽(qi)流量,最終(zhong)實現了對(dui)蒸汽的溫(wen)壓補償。
2.4蒸(zheng)汽溫壓補(bu)償的結果(guo)
以采取溫(wen)壓補償措(cuo)施前後七(qi)天,電站總(zong)管累計蒸(zheng)✊汽👅流量與(yu)進🌂車間兩(liang)分支管累(lei)計蒸汽流(liu)量之和數(shu)據進行對(dui)比。期間孔(kong)闆流量計(ji)正常運行(hang)流量連續(xu)無大波動(dong),無停🔆機、檢(jian)修等事故(gu)。高壓側蒸(zheng)汽管道壓(ya)力爲0.65~0.7MPa,溫度(du)爲220℃左右。低(di)壓側蒸汽(qi)管道壓力(li)爲0.45~0.5MPa,溫度爲(wei)😘160℃左右。記錄(lu)數據如表(biao)3所示♍。
蒸汽(qi)溫壓補償(chang)前流量的(de)誤差率爲(wei):(7548.72-6614.28)/6614.28≈14.13%
蒸汽溫壓(ya)補償後流(liu)量的誤差(cha)率爲:(6873.41-6542.56)/6542.56≈5.06%
通過(guo)對前後流(liu)量誤差率(lü)對比可得(de)知,對蒸汽(qi)采用合❄️理(li)的溫壓補(bu)償方式後(hou),流量測量(liang)相對誤差(cha)比補償前(qian)大大減少(shao),證明對蒸(zheng)汽進行溫(wen)壓補償是(shi)有效的,提(ti)高了孔闆(pan)流量計測(ce)量的正确(que)性。
2.5蒸汽溫(wen)壓補償需(xu)注意的問(wen)題
(1)對蒸汽(qi)進行溫壓(ya)補償過程(cheng)中,一般的(de)溫壓補償(chang)方💰式比較(jiao)簡單,可能(neng)存在較大(da)的誤差。特(te)别是不符(fu)合理想💃🏻氣(qi)體狀态的(de)過熱蒸汽(qi),或是高溫(wen)高壓狀态(tai)和對蒸汽(qi)🔞流量測量(liang)準确性要(yao)求♻️比較高(gao)的場合,必(bi)須要有正(zheng)确的算法(fa)才能保證(zheng)數據的正(zheng)确性。
(2)選擇(ze)合适的溫(wen)壓補償算(suan)法很重要(yao),需要滿足(zu)蒸汽🏃🏻♂️的運(yun)行區間,注(zhu)意補償算(suan)法相應的(de)限制條件(jian),溫度⛱️、壓力(li)等單位的(de)📧正确選擇(ze)與使用,補(bu)償結果要(yao)符合蒸汽(qi)密度表要(yao)✉️求。
(3)溫壓補(bu)償要從實(shi)際出發,孔(kong)闆流量計(ji)的選型、安(an)裝位置要(yao)合理❗,運行(hang)前要進行(hang)流量校正(zheng)。溫度、壓力(li)變送器測(ce)量值要準(zhun)确,這是溫(wen)壓補償的(de)前提,不然(ran)對溫壓補(bu)✔️償的結果(guo)都會造成(cheng)較大影響(xiang)。
(4)僅針對差(cha)壓式蒸汽(qi)流量測量(liang)的溫壓補(bu)償方式提(ti)出探讨,對(dui)于其他類(lei)型儀表的(de)溫壓補償(chang)方式,還需(xu)結合儀表(biao)檢測原理(li),具體問題(ti)具體分析(xi)。
3結束語
通(tong)過對蒸汽(qi)進行溫壓(ya)補償,選擇(ze)合适的補(bu)償方法🌈能(neng)減少工🌈況(kuang)等原因帶(dai)來的誤差(cha)。但也要看(kan)到一般♌的(de)蒸汽溫壓(ya)補償方法(fa)适✊用于工(gong)況較穩定(ding)的情況,如(ru)果各💛項參(can)數波動較(jiao)大還是難(nan)以保證數(shu)據的正确(que)性,既要保(bao)證蒸汽測(ce)量的連續(xu)性和穩定(ding)性,也要根(gen)據實際情(qing)⭐況選擇合(he)理💃🏻的溫壓(ya)補償方法(fa)。通過介紹(shao)孔闆流量(liang)計溫壓補(bu)償的原㊙️因(yin)和方法,并(bing)舉例說明(ming)采用溫壓(ya)補償的有(you)效性,證明(ming)選擇合理(li)的溫壓補(bu)償方法能(neng)提高蒸👣汽(qi)測量的準(zhun)确性。此外(wai)蒸汽傳輸(shu)過程中✌️蒸(zheng)汽濕度、氣(qi)液二相⛱️流(liu)、壓縮系數(shu)等影響❗流(liu)量正确的(de)問題,都值(zhi)得🔴探索的(de)。
文章來源(yuan)于網絡,如(ru)有侵權聯(lian)系即删除(chu)!