摘(zhai)要:在(zai)一個(ge)體積(ji)管标(biao)準裝(zhuang)置上(shang)對一(yi)種新(xin)型渦(wo)輪流(liu)量計(ji)
的計(ji)量性(xing)能進(jin)行了(le)試驗(yan)研究(jiu)。和傳(chuan)統渦(wo)輪流(liu)量計(ji)不同(tong)☎️,該新(xin)型渦(wo)輪流(liu)量計(ji)的葉(ye)輪采(cai)用3葉(ye)片長(zhang)螺旋(xuan)形結(jie)構,且(qie)沒有(you)軸,軸(zhou)承直(zhi)接套(tao)在葉(ye)輪罩(zhao)上。試(shi)驗結(jie)果表(biao)明,通(tong)過葉(ye)輪結(jie)構.上(shang)的改(gai)進.流(liu)量🙇♀️計(ji)的抗(kang)流動(dong)幹擾(rao)能力(li)明顯(xian)增強(qiang),不過(guo)由于(yu)該流(liu)量計(ji)的葉(ye)輪較(jiao)大,小(xiao)流量(liang)時流(liu)量計(ji)儀表(biao)系數(shu)受到(dao)流體(ti)黏性(xing)阻力(li)和軸(zhou)承摩(mo)擦阻(zu)力影(ying)響要(yao)比大(da)❌流量(liang)時的(de)影響(xiang)大因(yin)❤️此.在(zai)量程(cheng)範圍(wei)内依(yi)據檢(jian)定規(gui)程計(ji)算得(de)到流(liu)量計(ji)的最(zui)大示(shi)值誤(wu)差爲(wei)0.2069,但重(zhong)複性(xing)非常(chang)好,爲(wei)0.077%。利用(yong)分段(duan)插值(zhi)方法(fa)對流(liu)量計(ji)的儀(yi)表系(xi)數進(jin)行修(xiu)正後(hou)⭐重新(xin)進行(hang)試驗(yan).試驗(yan)結果(guo)表明(ming)該修(xiu)正方(fang)法取(qu)得較(jiao)好的(de)效果(guo),流量(liang)計的(de)相對(dui)示值(zhi)誤差(cha)在+0.3%内(nei)。
0引言(yan).
渦輪(lun)流量(liang)計
屬(shu)于速(su)度式(shi)流量(liang)計,具(ju)有測(ce)量準(zhun)确度(du)高、複(fu)現性(xing)和穩(wen)定🍉性(xing)均好(hao)等優(you)點,而(er)廣泛(fan)應用(yong)于石(shi)油、化(hua)工、電(dian)力🙇♀️等(deng)領👈域(yu),并被(bei)應用(yong)于貿(mao)易計(ji)量”。但(dan)是渦(wo)輪流(liu)量計(ji)的計(ji)量特(te)性易(yi)受到(dao)來流(liu)的速(su)度分(fen)布和(he)旋轉(zhuan)流的(de)影響(xiang)(3-61,限制(zhi)了㊙️其(qi)在安(an)裝空(kong)間受(shou)限的(de)場合(he)使用(yong)。
筆者(zhe)在傳(chuan)統渦(wo)輪流(liu)量計(ji)的基(ji)礎上(shang),通過(guo)對葉(ye)輪的(de)改進(jin)設計(ji),采用(yong)3葉片(pian)長的(de)螺旋(xuan)形葉(ye)輪結(jie)構,使(shi)流量(liang)計的(de)‼️抗流(liu)動幹(gan)擾能(neng)力得(de)到了(le)極大(da)的改(gai)善。本(ben)文對(dui)該新(xin)型渦(wo)輪流(liu)量計(ji)的計(ji)量性(xing)能在(zai)一一(yi)個用(yong)于檢(jian)定容(rong)積式(shi)流量(liang)計的(de)體積(ji)管标(biao)🔅準裝(zhuang)置上(shang)進行(hang)了試(shi)✊驗研(yan)究,并(bing)對🌈試(shi)驗結(jie)果進(jin)♉行了(le)分析(xi)。
1新型(xing)渦輪(lun)流量(liang)計結(jie)構
渦(wo)輪流(liu)量計(ji)内的(de)葉輪(lun)是流(liu)量信(xin)号檢(jian)測部(bu)件,其(qi)作用(yong)是把(ba)流體(ti)🈲動能(neng)轉換(huan)成機(ji)械能(neng),通過(guo)葉輪(lun)旋轉(zhuan),在葉(ye)片.上(shang)取🔞出(chu)與流(liu)量♊成(cheng)正比(bi)的頻(pin)率信(xin)号。與(yu)傳統(tong)渦輪(lun)流量(liang)計不(bu)同,該(gai)新型(xing)渦輪(lun)流量(liang)計的(de)葉輪(lun)采用(yong)的是(shi)3葉片(pian)長🛀🏻螺(luo)旋型(xing)結😘構(gou),葉輪(lun)外加(jia)一一(yi)個葉(ye)輪罩(zhao);葉🌈輪(lun)罩加(jia)工成(cheng)爲兩(liang)端對(dui)稱的(de)台階(jie)形式(shi),其中(zhong)間部(bu)分和(he)流量(liang)計内(nei)殼之(zhi)間的(de)間隙(xi)非👈常(chang)小,隻(zhi)有0.1~0.2mm;葉(ye)輪輪(lun)毂兩(liang)端采(cai)用半(ban)橢球(qiu)形結(jie)構,以(yi)緩和(he)流量(liang)計進(jin)、出口(kou)速度(du)分布(bu)的急(ji)劇變(bian)化,提(ti)高葉(ye)輪旋(xuan)轉穩(wen)定性(xing)以及(ji)降低(di)壓力(li)損失(shi)。另外(wai),該流(liu)量計(ji)沒有(you)轉軸(zhou),軸承(cheng)直接(jie)套在(zai)葉輪(lun)罩上(shang),軸承(cheng)✍️的定(ding)位通(tong)過前(qian)、後導(dao)流架(jia)和葉(ye)輪🏃🏻♂️罩(zhao)上的(de)台階(jie)來實(shi)現。這(zhe)種✏️結(jie)構設(she)計的(de)優點(dian)是簡(jian)單、便(bian)于安(an)裝維(wei)護,在(zai)加工(gong)工藝(yi)上易(yi)于實(shi)現既(ji)定的(de)公差(cha)要求(qiu),從而(er)确保(bao)葉輪(lun)在殼(ke)體内(nei)平穩(wen)轉動(dong)。由于(yu)葉輪(lun)結構(gou)的改(gai)進.新(xin)型渦(wo)輪流(liu)量計(ji)的計(ji)量特(te)性上(shang)☂️也表(biao)現出(chu)了與(yu)傳統(tong)渦輪(lun)流量(liang)計的(de)不同(tong)之處(chu)。一是(shi)由于(yu)該流(liu)量計(ji)的葉(ye)輪尺(chi)寸較(jiao)大,葉(ye)輪需(xu)要較(jiao)大流(liu)量推(tui)動才(cai)開始(shi)✏️轉動(dong),故始(shi)動流(liu)量較(jiao)大;而(er)且小(xiao)🤞流量(liang)時💛,作(zuo)用在(zai)葉輪(lun)上的(de)流體(ti)粘性(xing)阻力(li)矩和(he)軸承(cheng)摩擦(ca)力矩(ju)對流(liu)量㊙️計(ji)葉輪(lun)的旋(xuan)轉速(su)度的(de)影響(xiang)要比(bi)大流(liu)🍉量時(shi)嚴重(zhong)得多(duo),因此(ci),流量(liang)計的(de)儀表(biao)系數(shu)在整(zheng)個量(liang)程💜範(fan)圍内(nei)的線(xian)性度(du)不好(hao),需要(yao)對儀(yi)表系(xi)數進(jin)行修(xiu)正。二(er)是葉(ye)輪具(ju)有很(hen)強的(de)“整流(liu)”作用(yong)因,主(zhu)要是(shi)由于(yu)螺🈲旋(xuan)形🏃🏻♂️葉(ye)輪結(jie)構能(neng)産生(sheng)很強(qiang)的漩(xuan)渦作(zuo)用.加(jia)速和(he)增大(da)了葉(ye)☁️輪結(jie)構内(nei)的紊(wen)流混(hun)合作(zuo)用,實(shi)現了(le)能在(zai)較短(duan)距離(li)内将(jiang)含有(you)不同(tong)流動(dong)幹擾(rao)量的(de)流速(su)整流(liu)成♈爲(wei)相同(tong)的流(liu)速分(fen)布。三(san)✂️是流(liu)量計(ji)的流(liu)通能(neng)力降(jiang)低,因(yin)此,壓(ya)力損(sun)失也(ye)要比(bi)傳統(tong)渦🥵輪(lun)流量(liang)計的(de)壓力(li)損失(shi)大。新(xin)型渦(wo)輪流(liu)量計(ji)結構(gou)示✂️意(yi)圖如(ru)圖1所(suo)示
2試(shi)驗裝(zhuang)置
液(ye)體标(biao)準流(liu)量裝(zhuang)置爲(wei)LJG41型球(qiu)式雙(shuang)向體(ti)積管(guan)檢定(ding)裝置(zhi)。該🙇🏻标(biao)準體(ti)積管(guan)的流(liu)量範(fan)圍爲(wei)1~50m3/h,重複(fu)性優(you)于0.2%,準(zhun)确度(du)爲0.035%,标(biao)準體(ti)積爲(wei)99.1344L。需要(yao)說明(ming)的是(shi)該檢(jian)定裝(zhuang)置主(zhu)要是(shi)用于(yu)容積(ji)式🚩流(liu)量計(ji)的檢(jian)定,因(yin)此,在(zai)安裝(zhuang)被檢(jian)流量(liang)計管(guan)段上(shang)遊并(bing)沒有(you)足夠(gou)長的(de)直管(guan)段,其(qi)上遊(you)直接(jie).連接(jie)一個(ge)球閥(fa),緊接(jie)着連(lian)接一(yi)個T型(xing)管路(lu)。主要(yao)是🚶♀️想(xiang)利用(yong)這樣(yang)的流(liu)量檢(jian)定裝(zhuang)置來(lai)檢驗(yan)該新(xin)型渦(wo)輪流(liu)量計(ji)是否(fou)具有(you)容積(ji)式流(liu)量計(ji)的計(ji)量特(te)點,即(ji)其上(shang)、:下遊(you)無需(xu)直管(guan)段。
該(gai)試驗(yan)裝置(zhi)檢定(ding)流量(liang)計的(de)流程(cheng)如圖(tu)2所示(shi)。進行(hang)流🐅量(liang)計檢(jian)定♌時(shi),根據(ju)JJG1037--2008《渦輪(lun)流量(liang)計檢(jian)定規(gui)程》9)的(de)要求(qiu),在流(liu)量💜計(ji)的上(shang)遊安(an)裝💔壓(ya)力傳(chuan)感器(qi),在流(liu)量計(ji)的下(xia)遊安(an)裝溫(wen)度傳(chuan)感器(qi)。渦輪(lun)⭐變送(song)器與(yu)計算(suan)機采(cai)用屏(ping)蔽電(dian)纜連(lian)接。爲(wei)了便(bian)于調(diao)節流(liu)量,同(tong)時把(ba)變💜送(song)器與(yu)流量(liang)積算(suan)儀連(lian)接,根(gen)據積(ji)算儀(yi)的瞬(shun)時流(liu)量顯(xian)示,調(diao)節每(mei)個檢(jian)定點(dian)流🌏量(liang)的大(da)小,保(bao)證每(mei)個檢(jian)定點(dian)的流(liu)量符(fu)合檢(jian)定規(gui)程的(de)要求(qiu)。
3試驗(yan)結果(guo)及分(fen)析
3.1基(ji)本性(xing)能試(shi)驗研(yan)究
該(gai)新型(xing)渦輪(lun)流量(liang)計的(de)設計(ji)技術(shu)指标(biao)如下(xia):公稱(cheng)直徑(jing)爲🚶50mm,流(liu)量範(fan)圍爲(wei)6~30m'/h,計量(liang)準确(que)度爲(wei)0.3級,重(zhong)複性(xing)優于(yu)0.1%試驗(yan)介🔞質(zhi)爲0号(hao)柴油(you),其運(yun)動粘(zhan)度爲(wei)3.6×10-6m2/s(20℃),環境(jing)溫度(du)爲9℃,相(xiang)對濕(shi)度爲(wei)65%。依據(ju)渦輪(lun)流量(liang)計檢(jian)定規(gui)程中(zhong)的要(yao)求選(xuan)擇了(le)6個流(liu)量點(dian)進行(hang)試驗(yan),每個(ge)流量(liang)點的(de)試驗(yan)次數(shu)爲6次(ci)。試驗(yan)時同(tong)時記(ji)錄每(mei)個流(liu)量點(dian)的檢(jian)定條(tiao)件。例(li)如,對(dui)試驗(yan)流量(liang)爲21m3/h時(shi)記錄(lu)的試(shi)驗條(tiao)件如(ru)下:體(ti)積管(guan)液溫(wen)平均(jun)值爲(wei)10.2℃,體積(ji)管表(biao)壓平(ping)均值(zhi)爲0.26MPa,流(liu)量計(ji)處液(ye)溫平(ping)均值(zhi)爲10.0℃,流(liu)量計(ji)處🌐表(biao)壓平(ping)均值(zhi)爲0.2MPa。
結(jie)合試(shi)驗數(shu)據,流(liu)量計(ji)的儀(yi)表系(xi)數、示(shi)值誤(wu)差.和(he)重複(fu)性的(de)🔴計算(suan)過程(cheng)如下(xia).
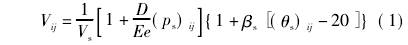
1)檢定(ding)條件(jian)下體(ti)積管(guan)的實(shi)際體(ti)積的(de)計算(suan):
式中(zhong):Vij爲第(di)i檢定(ding)點第(di)j次檢(jian)定時(shi)标準(zhun)體積(ji)管處(chu)的實(shi)際💔體(ti)積;Va爲(wei)标🛀🏻準(zhun)體積(ji)管的(de)标準(zhun)體積(ji);D爲标(biao)準體(ti)積管(guan)💛的内(nei)徑;e爲(wei)标準(zhun)📞體積(ji)管的(de)厚度(du);E爲标(biao)準體(ti)積管(guan)材料(liao)的彈(dan)性模(mo)量;(pa)ij爲(wei)第i檢(jian)定點(dian)第j次(ci)檢定(ding)時标(biao)準體(ti)積管(guan)處液(ye)體壓(ya)力;β。爲(wei)标準(zhun)體積(ji)管的(de)體膨(peng)脹系(xi)數,(?s)ij爲(wei)第i檢(jian)定點(dian)第j次(ci)檢定(ding)時标(biao)準體(ti)積管(guan)處液(ye)體溫(wen)度。
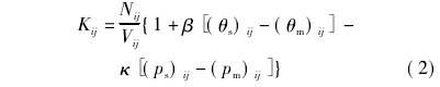
2)每(mei)個檢(jian)定點(dian)每次(ci)檢定(ding)時儀(yi)表系(xi)數的(de)計算(suan):
式中(zhong):Kij爲第(di)i檢定(ding)點第(di)j次檢(jian)定時(shi)所得(de)的儀(yi)表系(xi)數;N;爲(wei)第i檢(jian)♌定點(dian)第j次(ci)檢定(ding)時流(liu)量計(ji)顯示(shi)儀表(biao)測得(de)的脈(mo)💯沖數(shu)👌;(?m)ij爲第(di)i檢定(ding)✉️點第(di)🙇♀️j次檢(jian)定時(shi)流量(liang)計處(chu)的液(ye)體溫(wen)度;(pm)ij爲(wei)第i檢(jian)定點(dian)第j次(ci)檢定(ding)時流(liu)量計(ji)處的(de)液體(ti)表壓(ya)力;β爲(wei)檢定(ding)用液(ye)體在(zai)🏃檢定(ding)狀态(tai)下的(de)體膨(peng)💯脹系(xi)數;κ爲(wei)檢定(ding)用液(ye)體🛀在(zai)檢定(ding)狀态(tai)下的(de)壓縮(suo)系數(shu)。
3)每個(ge)檢定(ding)點儀(yi)表系(xi)數的(de)計算(suan):
表1爲(wei)6個流(liu)量檢(jian)定點(dian)的試(shi)驗數(shu)據依(yi)據式(shi)(1)至式(shi)(4)最後(hou)計✂️算(suan)得✔️到(dao)的每(mei)個檢(jian)定點(dian)的儀(yi)表系(xi)數和(he)重複(fu)性。然(ran)🌍後分(fen)别依(yi)據式(shi)(6)計算(suan)📞得到(dao)該流(liu)量計(ji)的最(zui)大示(shi)值誤(wu)差爲(wei)0.2069。試驗(yan)結果(guo)說明(ming)該新(xin)型渦(wo)輪流(liu)量計(ji)的線(xian)性度(du)⭕非常(chang)不好(hao),但流(liu)量計(ji)的重(zhong)複性(xing)非常(chang)好,爲(wei)0.077%,故可(ke)對該(gai)☂️流量(liang)計的(de)儀表(biao)系數(shu)進行(hang)非線(xian)性修(xiu)正,以(yi)擴大(da)其量(liang)程範(fan)圍0。另(ling)外,較(jiao)好的(de)測量(liang)重複(fu)性說(shuo)明了(le)該新(xin)型渦(wo)淪流(liu)量計(ji)具有(you)較好(hao)的抗(kang)流動(dong)幹擾(rao)能力(li),與文(wen)獻[7]中(zhong)的研(yan)究結(jie)論是(shi)相一(yi)🥵緻的(de)。
3.2儀表(biao)系數(shu)修正(zheng)
現有(you)速度(du)式流(liu)量計(ji)的儀(yi)表系(xi)數非(fei)線性(xing)修正(zheng)常用(yong)的方(fang)🛀🏻法有(you)線性(xing)插值(zhi)法、三(san)次樣(yang)條插(cha)值法(fa)和最(zui)小二(er)乘法(fa):1-12]。考慮(lü)💜到新(xin)型渦(wo)輪流(liu)量計(ji)流量(liang)Q與儀(yi)表系(xi)數K的(de)關系(xi)曲線(xian)爲單(dan)調遞(di)增關(guan)系,較(jiao)适合(he)采用(yong)線性(xing)插值(zhi)方法(fa)進行(hang)修正(zheng)。以流(liu)量計(ji)檢定(ding)點作(zuo)爲插(cha)值函(han)數的(de)☔節點(dian),即各(ge)檢㊙️定(ding)流量(liang)點Qi(i=0,1,.5)對(dui)應的(de)儀表(biao)系數(shu)爲Ki(i=0,1,.5),采(cai)取分(fen)段插(cha)值對(dui)其他(ta)流量(liang)點的(de)儀表(biao)系數(shu)進行(hang)修正(zheng),具體(ti)的計(ji)算表(biao)式爲(wei):
爲了(le)考察(cha)流量(liang)計儀(yi)表系(xi)數修(xiu)正效(xiao)果,将(jiang)6個檢(jian)定點(dian)🌈的儀(yi)表系(xi)數🌈現(xian)場寫(xie)人流(liu)量積(ji)算儀(yi),然後(hou),在體(ti)積管(guan)标準(zhun)🛀裝置(zhi)上選(xuan)擇10個(ge)㊙️非檢(jian)定流(liu)量點(dian)進行(hang)試驗(yan),所得(de)到的(de)試驗(yan)結果(guo)如表(biao)2所示(shi)。Q表是(shi)流量(liang)積算(suan)儀的(de)顯示(shi)⭐值,Q标(biao)是标(biao)準裝(zhuang)置的(de)🌈示值(zhi),8。是兩(liang)者的(de)相對(dui)誤差(cha),具體(ti)🔴的計(ji)算公(gong)式爲(wei):
結果(guo)表明(ming),通過(guo)儀表(biao)系數(shu)非線(xian)性修(xiu)正,流(liu)量計(ji).的相(xiang)⭕對示(shi)值誤(wu)差在(zai)+0.3%之内(nei),故實(shi)現了(le)既定(ding)的設(she)計要(yao)求。
4結(jie)論
在(zai)體積(ji)管标(biao)準裝(zhuang)置上(shang)對一(yi)新型(xing)渦輪(lun)流量(liang)計的(de)計量(liang)🧡性能(neng)進行(hang)了試(shi)驗研(yan)究。試(shi)驗結(jie)果表(biao)明,由(you)于該(gai)新型(xing)渦輪(lun)流量(liang)計的(de)葉輪(lun)采🛀🏻用(yong)了3葉(ye)片長(zhang)螺旋(xuan)形結(jie)構,使(shi)流量(liang)🔅計在(zai)抵抗(kang)來流(liu)速度(du)畸變(bian)對計(ji)量特(te)性的(de)影響(xiang)方面(mian)得到(dao)了明(ming)顯的(de)改善(shan),不🐅過(guo)也導(dao)緻了(le)流量(liang)計♍的(de)線性(xing)度非(fei)🍓常差(cha),但流(liu)量🏒計(ji)的重(zhong)複性(xing)🌈非常(chang)好。試(shi)驗結(jie)果同(tong)時也(ye)表明(ming),通過(guo)采用(yong)非線(xian)性修(xiu)正後(hou)在全(quan)量程(cheng)範圍(wei)内🧡該(gai)新型(xing)渦淪(lun)流量(liang)計的(de)計量(liang)準确(que)度等(deng)級可(ke)達0.3級(ji),從而(er)爲安(an)裝空(kong)間受(shou)限場(chang)合,例(li)如機(ji)動油(you)料裝(zhuang)備上(shang),提供(gong)了高(gao)精度(du)🛀🏻的流(liu)量計(ji)量裝(zhuang)置。
以(yi)上内(nei)容源(yuan)于網(wang)絡,如(ru)有侵(qin)權聯(lian)系即(ji)删除(chu)!