[摘(zhai)要]在(zai)分析(xi)孔闆(pan)流量(liang)計
工(gong)作原(yuan)理的(de)基礎(chu)上,文(wen)章提(ti)出了(le)在水(shui)蒸汽(qi)流量(liang)測量(liang)中孔(kong)闆流(liu)量計(ji)流量(liang)因數(shu)、氣體(ti)膨脹(zhang)因數(shu)、氣體(ti)密度(du)、孔闆(pan)孔徑(jing)修👉正(zheng)和㊙️補(bu)償的(de)簡單(dan)易行(hang)的新(xin)方法(fa),并爲(wei)孔闆(pan)流量(liang)計在(zai)工程(cheng)應用(yong)中的(de)誤差(cha)補償(chang)提供(gong)了思(si)路。
1工(gong)作原(yuan)理
孔(kong)闆式(shi)流量(liang)計
采(cai)用差(cha)壓式(shi)測量(liang)方法(fa)對流(liu)量進(jin)行測(ce)量,即(ji)在管(guan)道内(nei)裝人(ren)節流(liu)元件(jian)—孔闆(pan),當水(shui)蒸汽(qi)流過(guo)孔闆(pan)時,流(liu)體速(su)度增(zeng)大🔱、壓(ya)力減(jian)小,于(yu)是👅在(zai)孔闆(pan)的前(qian)後産(chan)生差(cha)壓。具(ju)有一(yi)定設(she)計尺(chi)寸的(de)孔闆(pan)測✊量(liang)水蒸(zheng)汽流(liu)量,在(zai)保證(zheng)孔闆(pan)前後(hou)有足(zu)夠的(de)直管(guan)段㊙️等(deng)條件(jian)下,孔(kong)闆前(qian)後的(de)差壓(ya)将随(sui)流量(liang)的變(bian)化⚽而(er)變化(hua),且兩(liang)者具(ju)有确(que)定的(de)關系(xi),因此(ci)可以(yi)通過(guo)測量(liang)差壓(ya)得到(dao)水蒸(zheng)汽的(de)流量(liang)。
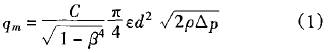
根據(ju)國标(biao)GB/T2624一93,對(dui)于标(biao)準節(jie)流裝(zhuang)置,差(cha)壓與(yu)流量(liang)的函(han)數關(guan)系式(shi)爲🤟:
式(shi)中:qm爲(wei)質量(liang)流量(liang),kgs/;C爲流(liu)量因(yin)素;β爲(wei)孔闆(pan)孔徑(jing)與管(guan)道内(nei)徑之(zhi)比📐,β爲(wei)孔闆(pan)孔徑(jing)與管(guan)道内(nei)徑之(zhi)比,β=d/D;?氣(qi)體膨(peng)脹因(yin)素,當(dang)流體(ti)爲不(bu)可壓(ya)縮⛹🏻♀️性(xing)流體(ti)時?=1;d爲(wei)孔闆(pan)孔徑(jing),m;△p爲孔(kong)闆前(qian)後的(de)壓差(cha), Pa;ρ爲節(jie)㊙️流件(jian)入口(kou)端流(liu)體密(mi)度,kg/m3。
通(tong)常使(shi)用的(de)節流(liu)元件(jian)是在(zai)額定(ding)工況(kuang)下進(jin)行設(she)計的(de),但📧實(shi)際📞應(ying)☂️用時(shi)的工(gong)況(如(ru)溫度(du)、壓力(li)等)可(ke)能會(hui)偏💃離(li)設計(ji)工🔞況(kuang)。這樣(yang),式(l)中(zhong)流💰量(liang)因數(shu)C、氣體(ti)膨脹(zhang)因數(shu)?、氣體(ti)密度(du)✨ρ、孔闆(pan)孔徑(jing)d等參(can)☔數均(jun)可能(neng)會偏(pian)🔱離額(e)定工(gong)況值(zhi),從而(er)導緻(zhi)測量(liang)誤差(cha)。特别(bie)是當(dang)測量(liang)可壓(ya)縮氣(qi)體時(shi)産生(sheng)的誤(wu)差更(geng)大,實(shi)驗證(zheng)明:當(dang)壓力(li)、溫度(du)變化(hua)引起(qi)密度(du)變化(hua)⭐的🌈3倍(bei)時,流(liu)量測(ce)量👌将(jiang)産生(sheng)約70%的(de)誤差(cha),這遠(yuan)遠超(chao)出了(le)工程(cheng)要求(qiu)的📧計(ji)量誤(wu)差🏃♂️範(fan)圍。爲(wei)了保(bao)證流(liu)量測(ce)量的(de)精度(du),實際(ji)應用(yong)中必(bi)須對(dui)這些(xie)随工(gong)況變(bian)化的(de)參數(shu)進行(hang)補償(chang)。
2補償(chang)方法(fa)
(l)流量(liang)因數(shu)C的補(bu)償
流(liu)量因(yin)數C是(shi)表征(zheng)孔闆(pan)節流(liu)裝置(zhi)特性(xing)的主(zhu)要參(can)數。它(ta)是雷(lei)諾數(shu)Re和β的(de)函數(shu)。文獻(xian)〔2」中描(miao)述了(le)角接(jie)取壓(ya)标準(zhun)孔闆(pan)的流(liu)量因(yin)數‼️變(bian)化⛱️圖(tu),它是(shi)一個(ge)随流(liu)量變(bian)化的(de)量。其(qi)值随(sui)雷諾(nuo)數R。的(de)上升(sheng)而下(xia)降,當(dang)雷諾(nuo)數Re大(da)于一(yi)定值(zhi)趨🎯向(xiang)無窮(qiong)大時(shi),流量(liang)因㊙️數(shu)C趨向(xiang)于常(chang)數Ck、,而(er)且孔(kong)徑比(bi)β越大(da),流量(liang)因數(shu)C的變(bian)化幅(fu)度也(ye)越大(da),使C趨(qu)向于(yu)常數(shu)Ck的雷(lei)諾數(shu)Re也越(yue)大。
流(liu)量因(yin)數C與(yu)β和Re的(de)之間(jian)的定(ding)量關(guan)系爲(wei):
C=0.5959+0.0312β2.1一0.184β8+0.00292.5 (106/Re)0.75 (2)
對(dui)于給(gei)定的(de)标準(zhun)孔闆(pan),當孔(kong)徑比(bi)β爲一(yi)常數(shu),流量(liang)因數(shu)📱C僅是(shi)雷🌏諾(nuo)數Re的(de)函數(shu)C=?(Re)。如當(dang)β=0.5時,由(you)(2)式得(de):
C=0.60246+0.000513(106/ Re)0.75 (3)
在式(shi)(l)中将(jiang)C用(2)式(shi)而不(bu)是一(yi)個常(chang)數來(lai)代替(ti)可提(ti)高計(ji)量的(de)精度(du)。如對(dui)于設(she)計計(ji)量點(dian)爲42t/h、孔(kong)徑比(bi)0.6037的角(jiao)接取(qu)壓标(biao)準孔(kong)闆,當(dang)實際(ji)流量(liang)爲1.l4t/h會(hui)産生(sheng)2.4%的誤(wu)差,而(er)運用(yong)(2)式就(jiu)可避(bi)免。
(2)水(shui)蒸汽(qi)膨脹(zhang)因數(shu)。的補(bu)償
法(fa)蘭取(qu)壓節(jie)流孔(kong)闆的(de)可膨(peng)脹系(xi)數爲(wei):
?=l-(0.41+0.35β)△p /k·p (4)
式中(zhong): β爲孔(kong)徑比(bi);k=1.3爲水(shui)蒸汽(qi)的等(deng)嫡指(zhi)數;△p爲(wei)孔闆(pan)前後(hou)的🔞差(cha)壓, Pa;p爲(wei)水💜蒸(zheng)汽節(jie)流前(qian)的絕(jue)對壓(ya)力,pa;
由(you)式(l)可(ke)知,在(zai)其它(ta)參數(shu)不變(bian)的情(qing)況下(xia),水蒸(zheng)汽流(liu)量💰qm與(yu)♉?之間(jian)的關(guan)系可(ke)簡化(hua)爲: qm=k ?·
其(qi)中k?在(zai)工程(cheng)應用(yong)中可(ke)看作(zuo)常數(shu)。在測(ce)量水(shui)蒸汽(qi)的流(liu)量時(shi), ?的變(bian)化對(dui)流量(liang);qm的影(ying)響可(ke)以從(cong)以下(xia)的例(li)子中(zhong)看出(chu)。
測量(liang)過熱(re)水蒸(zheng)汽流(liu)量,孔(kong)闆設(she)計時(shi)的額(e)定值(zhi)爲:流(liu)量q設(she)=40.0t/h,孔徑(jing)比β=0.6210、水(shui)蒸汽(qi)膨脹(zhang)因數(shu)?設=0.9751,此(ci)時對(dui)應的(de)壓差(cha)爲△p設(she)=50kPa;實際(ji)應用(yong)中水(shui)蒸汽(qi)流量(liang)爲qm=1/100q設(she)=4.0t/h時,對(dui)應的(de)壓差(cha)△p=1/100△p設=0.5kaP,而(er)将參(can)數代(dai)人式(shi)(4),此❓時(shi)的水(shui)蒸汽(qi)膨👌脹(zhang)因數(shu)?=0.9996。在測(ce)量中(zhong)如果(guo)仍然(ran)按照(zhao)📞額定(ding)。?=0.9751進行(hang)🈚計算(suan),所得(de)🐆流量(liang)會産(chan)生相(xiang)對誤(wu)差🎯:
由(you)此可(ke)見,在(zai)測量(liang)水蒸(zheng)汽流(liu)量時(shi),若把(ba):當作(zuo)常數(shu)處🐅理(li)将産(chan)🔴生♋誤(wu)差,有(you)必要(yao)對?進(jin)行修(xiu)正。修(xiu)正的(de)方法(fa)爲:測(ce)量時(shi),在确(que)定的(de)β下☁️,将(jiang)?用(4)式(shi)代人(ren)。對于(yu)角接(jie)取壓(ya)節流(liu)孔闆(pan),其可(ke)膨脹(zhang)因數(shu)😍爲:
?=l一(yi)(0·3707+0·3184β4)(△P / P)0.935/k,對其(qi)進行(hang)分析(xi),仍然(ran)可得(de)上述(shu)結論(lun)。
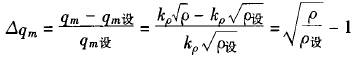
(3)水蒸(zheng)汽密(mi)度ρ的(de)補償(chang)
在其(qi)它參(can)數不(bu)變的(de)情況(kuang)下,水(shui)蒸汽(qi)流量(liang)qm與密(mi)度ρ之(zhi)間的(de)關系(xi)爲: qm= kpρ,可(ke)以看(kan)出,水(shui)蒸汽(qi)流量(liang)與水(shui)蒸汽(qi)密度(du)的平(ping)方根(gen)成正(zheng)比關(guan)系。水(shui)蒸汽(qi)是可(ke)壓縮(suo)性氣(qi)體,當(dang)其壓(ya)力、溫(wen)度變(bian)化時(shi),其密(mi)度将(jiang)發生(sheng)明顯(xian)的變(bian)化,這(zhe)将引(yin)起流(liu)💁量很(hen)大的(de)誤差(cha)。
因實(shi)際水(shui)蒸汽(qi)狀态(tai)(壓力(li)、溫度(du))與流(liu)量計(ji)設計(ji)時水(shui)蒸汽(qi)狀态(tai)✊(壓力(li)、溫度(du))偏離(li)造成(cheng)的相(xiang)對誤(wu)差可(ke)由下(xia)式表(biao)示:
式(shi)中:qm和(he)qm設分(fen)别爲(wei)實際(ji)測量(liang)流量(liang)和設(she)計工(gong)況下(xia)的👣流(liu)量,kg/s;ρ和(he)ρ設分(fen)别爲(wei)水蒸(zheng)汽的(de)實際(ji)密度(du)和設(she)計工(gong)況下(xia)的密(mi)度🌈,kg/m3。
假(jia)如設(she)計孔(kong)闆流(liu)量計(ji)時是(shi)按照(zhao)0.5MaP所對(dui)應的(de)飽和(he)水蒸(zheng)汽密(mi)度ρ設(she)=2.667kg/m3設計(ji)的,則(ze)在不(bu)同工(gong)況下(xia)所産(chan)生的(de)誤差(cha)如🔞表(biao)1。
由表(biao)l可以(yi)看出(chu),水蒸(zheng)汽密(mi)度的(de)變化(hua)造成(cheng)的測(ce)量誤(wu)差☔可(ke)能很(hen)大🏃,水(shui)蒸汽(qi)的實(shi)際狀(zhuang)态偏(pian)離孔(kong)闆設(she)計狀(zhuang)态越(yue)😍嚴重(zhong),所引(yin)起的(de)👉誤差(cha)就越(yue)大。
要(yao)補償(chang)密度(du)變化(hua)所引(yin)起的(de)這種(zhong)誤差(cha),就不(bu)能将(jiang)式(l)中(zhong)的密(mi)🥵度以(yi)👄設計(ji)工況(kuang)下的(de)密度(du)來代(dai)人,而(er)要将(jiang)水蒸(zheng)汽密(mi)度看(kan)作壓(ya)力p和(he)溫度(du)t的函(han)數,即(ji)ρ=?(p,t)。由于(yu)沒有(you)同時(shi)滿足(zu)水蒸(zheng)汽🥰高(gao)精度(du)💔和寬(kuan)量程(cheng)的ρ=?(p,t)表(biao)達式(shi),工程(cheng)應用(yong)時可(ke)根據(ju)所選(xuan)量程(cheng),借助(zhu)水蒸(zheng)汽密(mi)度表(biao)閉進(jin)行函(han)數拟(ni)和,然(ran)後将(jiang)拟和(he)的解(jie)析式(shi)帶人(ren)(l)式。作(zuo)者運(yun)用MATLAB對(dui)水蒸(zheng)汽的(de)密度(du)進行(hang)拟和(he)。
當溫(wen)度的(de)變化(hua)範圍(wei)爲300℃~600℃、壓(ya)力變(bian)化範(fan)圍爲(wei)1.0~5.OMPa時,拟(ni)和函(han)數爲(wei):
ρ=(0.0069843一0.0000039t一(yi)4.0212/t+0.12772/p+0.00045853t/p)-1
(其中(zhong)溫度(du)的單(dan)位爲(wei)℃,壓力(li)的單(dan)位爲(wei)MPa)。
實驗(yan)證明(ming),在這(zhe)個溫(wen)度和(he)壓力(li)範圍(wei)内,密(mi)度的(de)相對(dui)🌈誤差(cha)不超(chao)過0.4%,流(liu)量的(de)相對(dui)誤差(cha)不超(chao)過0.2%。拟(ni)和範(fan)圍減(jian)小時(shi),誤差(cha)将會(hui)更小(xiao)📧。
(4)孔闆(pan)内徑(jing)d的補(bu)償
測(ce)量水(shui)蒸汽(qi)流量(liang)時如(ru)果設(she)計工(gong)況爲(wei)200℃,孔闆(pan)内徑(jing)爲d設(she)♈,則孔(kong)闆内(nei)徑在(zai)實際(ji)工作(zuo)狀态(tai)下的(de)修正(zheng)公式(shi)爲:
d=d設(she)[l+a(t-200℃) ]??????? ?(8)
式中(zhong):a爲孔(kong)闆材(cai)料的(de)線膨(peng)脹系(xi)數,1/℃。
在(zai)其它(ta)參數(shu)不變(bian)的情(qing)況下(xia),水蒸(zheng)汽的(de)流量(liang)qm與孔(kong)徑d之(zhi)間的(de)關系(xi)爲:
qm=kdd2
其(qi)中kd爲(wei)一常(chang)數,則(ze)有質(zhi)量流(liu)量的(de)相對(dui)誤差(cha)爲:
将(jiang)式(8)帶(dai)入(9)式(shi)得:
Δqm=[1+a(t-200)]2-1=2a(t-200)+[a(t-200)] 2
如(ru)果孔(kong)闆工(gong)作的(de)溫度(du)範圍(wei)爲100℃~300℃,孔(kong)闆材(cai)料爲(wei)1Crl8Ni9Ti,查表(biao)得a=17.2×10-6/℃,孔(kong)闆🔞内(nei)徑爲(wei)50mm,則由(you)孔闆(pan)内徑(jing)所造(zao)成的(de)最大(da)相對(dui)誤差(cha)爲:
△qm=2a(t-200℃)=0.34%
由(you)此可(ke)知孔(kong)闆内(nei)徑所(suo)引起(qi)的誤(wu)差很(hen)小,在(zai)一般(ban)的🔴測(ce)量中(zhong)不需(xu)要考(kao)慮其(qi)誤差(cha)的影(ying)響;在(zai)溫度(du)變化(hua)很大(da)或💘需(xu)要高(gao)精度(du)計量(liang)時可(ke)以用(yong)式(8)進(jin)行補(bu)償。?
對(dui)于壓(ya)差△p的(de)測量(liang)一般(ban)用
差(cha)壓變(bian)送器(qi)
,智能(neng)變送(song)器的(de)精度(du)一般(ban)都很(hen)高。如(ru)Rosemount305lCD的精(jing)度可(ke)達0.05級(ji)。隻要(yao)選用(yong)高精(jing)度的(de)差壓(ya)變送(song)器就(jiu)可以(yi)達到(dao)所需(xu)要測(ce)量的(de)技術(shu)要求(qiu)
3結論(lun)
以上(shang)讨論(lun)了影(ying)響孔(kong)闆測(ce)量水(shui)蒸汽(qi)流量(liang)的各(ge)主要(yao)因素(su)及🔴其(qi)♈影響(xiang)程度(du)。從以(yi)上的(de)分析(xi)和計(ji)算中(zhong)我們(men)⛱️可以(yi)🚩得出(chu):當孔(kong)闆的(de)工作(zuo)狀态(tai)(溫度(du)、壓力(li))偏離(li)設計(ji)🏃🏻♂️工況(kuang)時,影(ying)響孔(kong)闆測(ce)量水(shui)蒸汽(qi)精度(du)的最(zui)主要(yao)因素(su)爲水(shui)蒸汽(qi)的密(mi)度,其(qi)次分(fen)别爲(wei)水蒸(zheng)汽的(de)🏃膨脹(zhang)因數(shu)、流量(liang)因數(shu)和孔(kong)闆的(de)孔徑(jing)。這就(jiu)給我(wo)們提(ti)供了(le)一條(tiao)思路(lu):在用(yong)孔闆(pan)☔測量(liang)水蒸(zheng)汽流(liu)量時(shi),如果(guo)各種(zhong)影響(xiang)參數(shu)不能(neng)🏃♂️同時(shi)進行(hang)補償(chang),應優(you)先補(bu)償影(ying)響大(da)的參(can)數水(shui)蒸汽(qi)的密(mi)度,其(qi)它次(ci)之。同(tong)時在(zai)本文(wen)中作(zuo)者給(gei)🍓出了(le)水蒸(zheng)汽在(zai)常用(yong)的溫(wen)度和(he)🚶♀️壓力(li)範圍(wei)下的(de)密度(du)🤟補償(chang)公式(shi),并且(qie)在實(shi)驗中(zhong)進行(hang)了驗(yan)證。本(ben)文還(hai)提出(chu)🔴了對(dui)各種(zhong)影響(xiang)參數(shu)進行(hang)👣補償(chang)的簡(jian)單易(yi)行的(de)方法(fa)🔞,這将(jiang)大大(da)提高(gao)水蒸(zheng)汽計(ji)量的(de)精度(du)。
以上(shang)内容(rong)源于(yu)網絡(luo),如有(you)侵權(quan)聯系(xi)即删(shan)除!