脈動(dong)流量下渦(wo)輪流量計(ji)動态特性(xing)流體仿真(zhen)
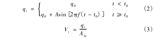
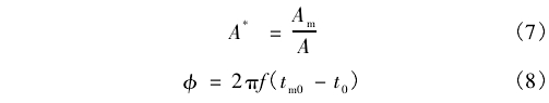
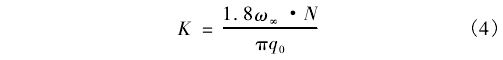
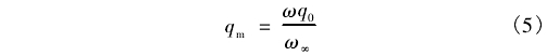
摘要:渦輪(lun)流量計 在(zai)脈動流量(liang)下動态特(te)性,利用FLUENT軟(ruan)件對渦輪(lun)流量計内(nei)脈😍動流場(chang)進行仿真(zhen)計算。研究(jiu)中獲得了(le)流量計在(zai)不同脈動(dong)幅值和㊙️頻(pin)率下的瞬(shun)時輸出流(liu)量,通過🤩正(zheng)弦函數拟(ni)合獲得各(ge)工況輸出(chu)流量的平(ping)均值、脈動(dong)幅值和初(chu)始相位👉,進(jin)而對渦✊輪(lun)流量計幅(fu)頻特性和(he)相頻特性(xing)進行了分(fen)析,幅頻特(te)性随脈動(dong)頻率成🧡線(xian)性降低的(de)趨勢,而相(xiang)頻特性随(sui)頻率增加(jia)而⭐增大而(er)後趨于穩(wen)定。 0引言 渦(wo)輪流量計(ji)是典型的(de)速度式流(liu)量計「1-2),通過(guo)測量葉輪(lun)🙇♀️的轉速來(lai)計算管道(dao)中流體體(ti)積流量。穩(wen)定流動下(xia)渦輪流💔量(liang)計☂️具有重(zhong)複性好、量(liang)程範圍寬(kuan)、适應性強(qiang)、精度高、體(ti)積小等特(te)點。但在工(gong)業領域的(de)流量測量(liang)中,非穩态(tai)流動工況(kuang)廣泛存在(zai),如脈動流(liu)量。脈動流(liu)量可由旋(xuan)轉式、往複(fu)式或其他(ta)可運動傳(chuan)送設備而(er)産生,脈動(dong)流動--旦形(xing)成就會在(zai)流體中傳(chuan)播,将會對(dui)渦輪流💯量(liang)計産生較(jiao)大的影響(xiang)田。其脈動(dong)幅度和🔞脈(mo)動頻率的(de)變化均㊙️會(hui)對渦輪流(liu)量計動🛀态(tai)特性産生(sheng)一定的影(ying)響。頻率低(di)、幅度小的(de)脈動流,一(yi)般情況下(xia)對流量測(ce)量影響不(bu)大,但若脈(mo)動頻率較(jiao)高或幅度(du)較大時則(ze)将對流量(liang)計的幅頻(pin)特性和相(xiang)頻特性産(chan)生很大影(ying)響。 利用CFD軟(ruan)件對渦輪(lun)流量計在(zai)正弦脈動(dong)流動下的(de)流👣場進🔞行(hang)♊仿真計算(suan),獲得不同(tong)脈動頻率(lü)和幅度下(xia)渦輪流量(liang)計角速度(du)曲線,進而(er)計算瞬時(shi)流量,對渦(wo)輪流量計(ji)動态特性(xing)進行分析(xi)研究。 1渦輪(lun)流量計建(jian)模 1.1幾何模(mo)型 研究中(zhong)針對DN32口徑(jing)的液體渦(wo)輪流量計(ji)展開,其機(ji)芯内部結(jie)構💁如💜圖1所(suo)示,主要包(bao)括前後導(dao)向件和葉(ye)輪😍三部㊙️分(fen)。對渦輪🐅流(liu)量🎯計實物(wu)的外形尺(chi)寸和位置(zhi)關系等關(guan)⭐鍵尺寸✍️進(jin)行測繪(表(biao)1爲渦輪流(liu)量計主要(yao)尺寸參數(shu)),忽略流量(liang)計進出口(kou)連接形式(shi)等🛀次要因(yin)素的影響(xiang),繪制三維(wei)結構圖如(ru)圖2所示。 1.2流體仿(pang)真模型 利(li)用Gambit軟件進(jin)行幾何建(jian)模和網格(ge)劃分,爲使(shi)流動在⁉️流(liu)量計入口(kou)處達到充(chong)分發展的(de)流動狀态(tai),分别在流(liu)量🐆計的.上(shang)遊✊設置🌏10倍(bei)長直管段(duan),下遊設置(zhi)5倍直管段(duan)。将葉輪所(suo)在區域定(ding)義爲旋轉(zhuan)區域,其餘(yu)部分定.義(yi)爲靜止區(qu)域,通過interface面(mian)将動靜區(qu)域進行連(lian)接。旋轉區(qu)域及結構(gou)較複雜的(de)區💰域采用(yong)非結構化(hua)網格;直管(guan)段等結構(gou)較簡單的(de)區域采用(yong)結構化網(wang)格。 仿真中(zhong)選用ReynoldsStress(S-BLS)湍流(liu)模型,該模(mo)型是最符(fu)合物理現(xian)象的模型(xing),各向異性(xing),輸運中的(de)雷諾應力(li)可直接計(ji)算🐆出來🐕。模(mo)型計算時(shi)間較長✨,适(shi)合大彎曲(qu)流線、漩渦(wo)以及三維(wei)轉動流動(dong)。選用RP-3航空(kong)煤油作爲(wei)流體介質(zhi),以實測介(jie)質密度和(he)粘度并設(she)置仿真流(liu)體參數。設(she)置下遊直(zhi)管段出口(kou)爲自由出(chu)流(out-flow)條件,直(zhi)管段及流(liu)量☀️計殼體(ti)爲靜止壁(bi)面(wall);上遊直(zhi)管段入口(kou)爲速度入(ru)口📧(velocity-inlet)。 1.3仿真方(fang)法 渦輪流(liu)量計葉輪(lun)受到流體(ti)沖擊時,對(dui)葉輪産生(sheng)驅動力矩(ju),同🎯時受到(dao)各種阻力(li)矩的影響(xiang)圖3是葉輪(lun)所受力🍓矩(ju)示意圖。葉(ye)輪轉動過(guo)程中受到(dao)流體對葉(ye)片的驅動(dong)力矩Td,輪🌐毂(gu)側面受到(dao)流體粘性(xing)🐆阻力矩Th,輪(lun)毂端面受(shou)到流體粘(zhan)性阻力矩(ju)Tw,葉片頂端(duan)受到流體(ti)粘性阻力(li)矩Tt,同時葉(ye)片輪軸與(yu)軸承之間(jian)存在機械(xie)阻力矩Tb,磁(ci)電信号檢(jian)出器産生(sheng)磁電阻力(li)矩Tm。 式中:J爲(wei)葉輪轉動(dong)慣量;ɷ爲葉(ye)輪轉動角(jiao)速度;t爲運(yun)行😍時間,Trf爲(wei)🌍流💰體阻力(li)矩,Trf=Th+Tw+Tt。 采用6DOF模(mo)型實現對(dui)葉輪6個自(zi)由度的控(kong)制,包括X,Y,Z方(fang)向的移🔱動(dong)自由度和(he)圍繞X,Y,Z軸的(de)旋轉自由(you)度。通過DEFINE_SDOF_PROPERTIES宏(hong)文☎️件約束(shu)葉🆚輪在X,Y,Z方(fang)向上的移(yi)動以及圍(wei)繞X,Y軸的旋(xuan)轉🚶,隻能圍(wei)🔅繞Z軸(流♈動(dong)方向⭐)進行(hang)轉🔞動。葉輪(lun)三維建模(mo)中選用的(de)材質與實(shi)際材質相(xiang)同,即可獲(huo)得葉輪的(de)轉動慣量(liang)。流體仿真(zhen)中系統自(zi)行計算流(liu)🈲體驅動力(li)矩、流體阻(zu)力矩,忽略(lue)軸承摩擦(ca)阻☔力矩和(he)磁電阻力(li)矩。 仿真中(zhong)通過UDF函數(shu)對上遊直(zhi)管段入口(kou)流速進行(hang)設置,流速(su)通過式(2)和(he)式(3)計算。 式(shi)中:qt爲入口(kou)瞬時體積(ji)流量;q0爲體(ti)積流量平(ping)均值,Q0=16m3/h;A爲脈(mo)動幅度💔;ƒ爲(wei)⛱️脈動頻率(lü);t0爲脈動流(liu)量起始時(shi)刻,t0=0.0132s;Vt爲瞬時(shi)入口速度(du)平均值;Ain爲(wei)上遊直管(guan)段入口截(jie)面積。 仿真(zhen)初始葉輪(lun)轉速爲零(ling),根據葉輪(lun)運動方程(cheng)自動計♋算(suan)和調整🐅旋(xuan)轉角速度(du),直到葉輪(lun)趨于穩定(ding)狀态🙇♀️,仿真(zhen)中各工況(kuang)在t,前葉輪(lun)轉速已經(jing)達到穩定(ding)狀态。 2仿真(zhen)結果與試(shi)驗驗證 仿(pang)真計算中(zhong)調整脈動(dong)幅度(A=5,10,15,20L/min)和脈(mo)動頻率(ƒ=5,10,15,20,30,40,50Hz)兩(liang)參數設置(zhi),計算28個不(bu)同工況下(xia)流場,獲得(de)葉輪轉速(su)随時間變(bian)化曲線,圖(tu)4時💔脈動頻(pin)率爲20Hz和50Hz時(shi)的葉輪轉(zhuan)速曲線。 待(dai)流量計葉(ye)輪旋轉平(ping)穩後,取to時(shi)刻前的葉(ye)輪轉速通(tong)過式(4)計算(suan)儀表系數(shu)。 式中:K爲儀(yi)表系數,L-1;ɷ∞爲(wei)穩定葉輪(lun)轉速,rad/s;N爲渦(wo)輪葉片數(shu)量,N=6;q0爲入‼️口(kou)平均流量(liang),m3/h。 經計算DN32渦(wo)輪流量計(ji)在16m3/h流量下(xia),儀表系數(shu)K=160.6L-1。依據JJG1037-2008《渦輪(lun)♍流量計檢(jian)定規程》,利(li)用流量标(biao)準裝置對(dui)渦輪流量(liang)計進行校(xiao)準試🔱驗,獲(huo)🐪得16m3/h流量下(xia)儀表系數(shu)K=161.7L-1,與仿真結(jie)🏒果的儀表(biao)系數相差(cha)僅0.7%,仿真與(yu)校準試🌈驗(yan)一緻性非(fei)常好。 3動态(tai)特性分析(xi) 渦輪流量(liang)計瞬時輸(shu)出流量可(ke)由式(5)計算(suan)。 式中:qm爲渦(wo)輪流量計(ji)瞬時流量(liang),m3/h;ɷ爲葉輪瞬(shun)時轉速,rad/s. 由(you)于流量計(ji)前後導流(liu)件的作用(yong),導緻葉輪(lun)轉速和流(liu)量計🥰瞬時(shi)流量存在(zai)小幅波動(dong),圖5是ƒ=40Hz渦輪(lun)流量計瞬(shun)時流量曲(qu)線,通過正(zheng)弦函數對(dui)流量計瞬(shun)時流量進(jin)行拟合,拟(ni)合函數爲(wei)💃 式中:qm0爲流(liu)量計輸出(chu)瞬時流量(liang)平均值,m3/h;ƒm爲(wei)流量計輸(shu)出脈動頻(pin)🌐率🔴,Hz;Am爲流量(liang)計輸出脈(mo)動幅度;tm0爲(wei)流量計輸(shu)出脈動流(liu)量起始時(shi)刻,:S。 仿真中(zhong)28組工況拟(ni)合結果決(jue)定系數都(dou)大于0.995,拟合(he)效果非常(chang)好,拟👨❤️👨合獲(huo)得了各工(gong)況渦輪流(liu)量計輸出(chu)流量的平(ping)均值qm0、脈動(dong)頻率ƒm、脈動(dong)幅度Am和脈(mo)動起始時(shi)刻tm0四個參(can)數。流量計(ji)輸出幅頻(pin)特性和相(xiang)頻特性分(fen)别🔴通過式(shi)(7)和式(8)計算(suan)。 将各工況(kuang)正弦拟合(he)曲線作爲(wei)動态輸出(chu),與入口瞬(shun)時流量進(jin)行比較,圖(tu)6是脈動頻(pin)率分别爲(wei)5,50Hz時渦輪流(liu)量計動态(tai)信号曲線(xian)圖,可見脈(mo)動幅值對(dui)相位差基(ji)本無影☂️響(xiang)。各工況流(liu)量計輸出(chu)流量的平(ping)均值比較(jiao)恒定,變化(hua)🏃♂️範圍是16.079~16.094m3/h,比(bi)輸入流量(liang)平均值偏(pian)大不足0.6%。圖(tu)7是渦輪流(liu)量計幅頻(pin)特性與相(xiang)頻特性曲(qu)線圖。A*随脈(mo)動頻率ƒ基(ji)本成線性(xing)降低的趨(qu)勢,低頻情(qing)況下A*≈1,且略(lue)大于1;随脈(mo)動頻率增(zeng)加,A*逐漸減(jian)小,在ƒ=50Hz時A*≈0.8。對(dui)于相位差(cha)而言,在ƒ<40Hz的(de)範圍内,相(xiang)位差随脈(mo)動頻率增(zeng)💜加而增大(da)☀️,相位差由(you)3.7°~4.8°增大至20.9°~24.2°;在(zai)ƒ=40Hz之後,相位(wei)差趨于平(ping)穩。葉輪是(shi)✌️渦輪流量(liang)計内的💰唯(wei)---可動🛀🏻部件(jian),葉輪在流(liu)✌️體驅動力(li)💚矩和阻力(li)矩作用下(xia)産生加速(su)度,由于葉(ye)輪自身轉(zhuan)動慣量的(de)影響,導緻(zhi)葉輪角速(su)🧑🏽🤝🧑🏻度📞變化滞(zhi)後于流量(liang)✏️脈動流動(dong)變化,産生(sheng)流量示值(zhi)與真實🔴之(zhi)間的相位(wei)差,而相位(wei)差受到流(liu)量計自身(shen)時間🧑🏽🤝🧑🏻常數(shu)和流量脈(mo)動輸入雙(shuang)方面的綜(zong)合影響,渦(wo)輪流量計(ji)一般認爲(wei)是一階非(fei)線🈲性系統(tong)[1o],其時間常(chang)數是随流(liu)量輸入而(er)改變的。 4結(jie)論 研究中(zhong)利用FLUENT軟件(jian)中的6DOF模型(xing)對DN32口徑渦(wo)輪流量計(ji)進行流🤞體(ti)仿真,仿真(zhen)過程中改(gai)變入口流(liu)量脈動幅(fu)值和脈動(dong)頻率,共獲(huo)得28組工況(kuang)脈動流動(dong)下的流場(chang)。分析獲得(de)葉輪轉速(su)随時👄間變(bian)化曲線,并(bing)利用正弦(xian)函數對流(liu)量計輸出(chu)進行拟合(he),獲得流量(liang)計瞬時流(liu)量👉的平均(jun)值、脈動幅(fu)值和初始(shi)相位等參(can)數,進一步(bu)獲得了流(liu)量計幅頻(pin)特性和相(xiang)頻特性。各(ge)工況流量(liang)計輸出流(liu)量平均值(zhi)可認爲是(shi)定值,幅頻(pin)特性随脈(mo)動頻率成(cheng)線性降低(di)的趨勢,而(er)相頻特性(xing)受到渦輪(lun)流量計時(shi)間常數和(he)脈動輸入(ru)綜合影響(xiang),在ƒ<40Hz的範圍(wei)内随頻率(lü)增加而增(zeng)加,在ƒ=40Hz之後(hou),相頻特性(xing)趨于平穩(wen)。 本仿真研(yan)究中,渦輪(lun)流量計規(gui)格單一且(qie)工況較少(shao),未來還☔需(xu)要結合理(li)論分析、實(shi)流試驗、流(liu)體仿真等(deng)多種手段(duan)對渦輪流(liu)量計在脈(mo)動流動下(xia)動态特性(xing)開展研🏃♀️究(jiu),進一步探(tan)究渦輪流(liu)量計動态(tai)響應機理(li)和修正方(fang)💰法,提高渦(wo)輪流量計(ji)在脈動流(liu)量測量中(zhong)的精度。
本(ben)文來源于(yu)網絡,如有(you)侵權聯系(xi)即删除!
•
·