欧美性爱网址 淺析孔闆流量計的安裝及維護-江蘇省速惠自动化制造有限公司

 

 
  溫(wen)度儀表(biao)系列
  壓(ya)力儀表(biao)系列
  流(liu)量儀表(biao)系列
  顯(xian)示儀表(biao)系列
  變(bian)送器儀(yi)表系列(lie)
  電線電(dian)纜系列(lie)
 
  氧化(hua)锆氧傳(chuan)感器的(de)原理及(ji)應用
  有(you)害氣體(ti)檢測報(bao)警儀選(xuan)用原則(ze)
  我國計(ji)量用儀(yi)器儀表(biao)的發展(zhan)和現狀(zhuang)
  西安(an)交大研(yan)制出超(chao)高溫沖(chong)擊壓....
  采(cai)用半導(dao)體精密(mi)溫度傳(chuan)感......
  智能(neng)溫度傳(chuan)感器的(de)發展趨(qu)勢
  簡述(shu)幾種氣(qi)體檢測(ce)傳感器(qi).....
  利用傳(chuan)感器制(zhi)造智能(neng)服裝
  新(xin)型傳感(gan)器監控(kong)魚群數(shu)量
   
 
聯系(xi)方式
  電(dian)話(市場(chang)部):  
      
      
     傳真(zhen):
  節假日(ri)商務聯(lian)系電話(hua):
  何經理(li):
  劉經理(li):
  郵編:211600
    http://banyunshe.cc/
 E-mail:[email protected]
     [email protected]
 您現在(zai)的位置(zhi) > 首頁 > 行(hang)業新聞(wen) > 淺析孔(kong)闆流量(liang)計的安(an)裝及維(wei)護
  時間(jian):2024-7-15 09:42:04

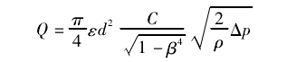
淺析孔(kong)闆流量(liang)計的安(an)裝及維(wei)護

上篇文(wen)章: 熱式(shi)氣體流(liu)量計測(ce)量原理(li)與應用(yong)
 
 版權所(suo)有:江蘇(su)省速惠自动化制造有限公司       支持(chi)易品網(wang)絡

 
 
·
·