|
葉(ye)輪對渦(wo)輪流量(liang)計性能(neng)的影響(xiang)
發布時(shi)間:2020-8-20 08:37:14
|
摘要(yao):葉輪是(shi)渦輪流(liu)量計
的(de)重要組(zu)成部分(fen),根據理(li)論模型(xing)可知,葉(ye)輪對渦(wo)輪流量(liang)計的計(ji)量性能(neng)具有一(yi)定的影(ying)響。針對(dui)不同葉(ye)輪對渦(wo)輪流量(liang)計的影(ying)響😍,通過(guo)試驗的(de)方法,分(fen)析了改(gai)變葉輪(lun)傾斜角(jiao)對渦輪(lun)流.量🔞計(ji)計量性(xing)能的影(ying)響。結果(guo)表明,角(jiao)度較大(da)的葉輪(lun)B對其誤(wu)差曲線(xian)影響較(jiao)小;角度(du)較小的(de)葉輪A對(dui)其誤差(cha)曲線影(ying)響較大(da)。
渦輪流(liu)量計具(ju)有精度(du)高、重複(fu)性好、結(jie)構簡單(dan)、測量🌏範(fan)圍廣、體(ti)積小、質(zhi)量輕、壓(ya)力損失(shi)小、維修(xiu)方便等(deng)優點,被(bei)廣泛🈚應(ying)用在石(shi)油、化工(gong)、冶金、城(cheng)市燃氣(qi)管網等(deng)行業中(zhong)1。随着渦(wo)輪流量(liang)計的大(da)量使用(yong),用戶對(dui)其計量(liang)準确度(du)的要求(qiu)也🔴越來(lai)越高。
葉(ye)輪傾斜(xie)角θ或葉(ye)片數Z是(shi)渦輪流(liu)量計設(she)計中的(de)重要參(can)數💁,直接(jie)影響流(liu)量計的(de)計量性(xing)能。θ角減(jian)小,當進(jin)🌐人流🔴量(liang)計被測(ce)流體流(liu)速相同(tong)時,葉輪(lun)速度将(jiang)提高♻️。當(dang)其它✌️條(tiao)件不變(bian)時,随着(zhe)θ角減小(xiao),葉輪轉(zhuan)速增大(da),提高.了(le)儀表的(de)靈敏度(du)。但轉速(su)提高使(shi)阻力矩(ju)增大,被(bei)測流體(ti)的壓力(li)損失增(zeng)大✌️,軸承(cheng)磨損增(zeng)🌈大,儀表(biao)壽命🈲降(jiang)低。
在研(yan)發氣休(xiu)渦輪流(liu)量計的(de)過程中(zhong),針對葉(ye)輪傾斜(xie)角θ大☂️小(xiao)💞的改變(bian)對渦輪(lun)流量計(ji)性能的(de)影響進(jin)行研👌究(jiu)。
1渦輪流(liu)量計的(de)測量原(yuan)理與結(jie)構
1.1基本(ben)結構
渦(wo)輪流量(liang)計主要(yao)山整流(liu)器、葉輪(lun)、磁性聯(lian)軸器、機(ji)械計數(shu)❄️器、内㊙️輪(lun)變速器(qi)等組件(jian)組成。
1.2 基(ji)本原理(li)
渦輪流(liu)量計是(shi)一-種流(liu)體測量(liang)裝置,流(liu)體的動(dong)力驅使(shi)🌂葉輪旋(xuan)轉,其旋(xuan)轉速度(du)與體積(ji)流量近(jin)似成正(zheng)比例。通(tong)過流💜量(liang)計的流(liu)體體積(ji)是基于(yu)葉輪的(de)旋轉數(shu)得到的(de),主要是(shi)運用磁(ci)電轉換(huan)🛀🏻裝置或(huo)者機械(xie)輸出😄裝(zhuang)置将渦(wo)輪轉速(su)轉💋化成(cheng)電脈沖(chong),二次儀(yi)🤞表進行(hang)計算和(he)顯示,由(you)單位時(shi)間内電(dian)脈沖和(he)累計電(dian)脈沖數(shu)來反映(ying)瞬時和(he)累計流(liu)量。
1.3 葉輪(lun)
渦輪葉(ye)輪亦稱(cheng)葉輪,一(yi)般采用(yong)工程塑(su)料、鋼或(huo)鋁合金(jin)材♌質,其(qi)作用是(shi)把流體(ti)動能轉(zhuan)換成機(ji)械能。按(an)照設計(ji)要求,葉(ye)輪葉片(pian)數爲Z= 12~20,葉(ye)片傾斜(xie)角θ=30~45°,重疊(die)度爲1~1.2,葉(ye)片與内(nei)機光間(jian)隙爲0.5~1 mn。爲(wei)提高渦(wo)輪流量(liang)計的計(ji)量性能(neng),可适當(dang)增加葉(ye)片數或(huo)調整傾(qing)斜角3)
1.4理(li)論依據(ju)
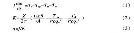
渦輪流(liu)量計的(de)數學模(mo)型爲
式(shi)中:J爲渦(wo)輪的轉(zhuan)動慣量(liang);w爲渦輪(lun)葉輪的(de)旋轉角(jiao)速度;7,爲(wei)流體對(dui)🏃♂️葉片産(chan)生的推(tui)動力矩(ju);Tm爲渦輪(lun)軸與軸(zhou)承之間(jian)摩擦産(chan)生的機(ji)械摩擦(ca)阻力矩(ju);Ts爲流體(ti)通過渦(wo)輪時産(chan)生的流(liu)動阻😘力(li)矩;Tm爲電(dian)磁轉換(huan)器對渦(wo)輪産生(sheng)的電磁(ci)阻力矩(ju);Z爲渦輪(lun)葉片數(shu);θ爲葉片(pian)傾斜角(jiao)🔴;r爲葉片(pian)的平均(jun)半徑;A爲(wei)流通截(jie)面積;p爲(wei)流體的(de)密度;f爲(wei)信号脈(mo)沖頻率(lü);q爲體積(ji)流量;K爲(wei)儀表系(xi)數;q。爲瞬(shun)時體積(ji)流量🏒。
根(gen)據數學(xue)模型可(ke)以定性(xing)判斷出(chu)渦輪流(liu)量計的(de)計✔️量性(xing)能與✌️葉(ye)輪的葉(ye)片傾斜(xie)角有關(guan),筆者選(xuan)取不同(tong)θ角的葉(ye)輪在同(tong)☎️一台渦(wo)輪流量(liang)計上進(jin)行試驗(yan),分析其(qi)對渦輪(lun)流量計(ji)的影響(xiang)。
2試驗及(ji)試驗數(shu)據分析(xi)
2.1試驗介(jie)紹
試驗(yan)選取相(xiang)同内徑(jing)、外徑的(de)葉輪,隻(zhi)是葉輪(lun)的傾斜(xie)角✏️、葉片(pian)數及質(zhi)量可能(neng)不同,對(dui)渦輪流(liu)量計的(de)性能🛀🏻進(jin)行研究(jiu)。葉輪傾(qing)斜角的(de)平面圖(tu)如圖1所(suo)示。
2.2試驗(yan)及試驗(yan)數據處(chu)理
計算(suan)流量計(ji)的相對(dui)示;值誤(wu)差爲:
式(shi)中:Eij爲第(di)i檢定點(dian)第j次檢(jian)定被檢(jian)流量計(ji)的相對(dui)示值誤(wu)♌差,%;Vij爲第(di)i檢定點(dian)第j次檢(jian)定時流(liu)量計顯(xian)示的累(lei)積流量(liang)值,m3;(V,)ij爲第(di)i檢定點(dian)第j次檢(jian)定時标(biao)準器換(huan)算到流(liu)量計處(chu)狀态的(de)累積🌈流(liu)量值,m3。
試(shi)驗選取(qu)一台0.5級(ji)标準的(de)TGM/G250/DN80/PN16氣體渦(wo)輪流量(liang)計,選用(yong)兩💚種不(bu)同♋參數(shu)的葉輪(lun),在試驗(yan)中研究(jiu)葉輪對(dui)渦輪流(liu)量計計(ji)量性能(neng)的影響(xiang)。
試驗所(suo)用葉輪(lun)A與B的差(cha)别見表(biao)1。
試驗之(zhi)前,分别(bie)對裝有(you)不同葉(ye)輪的渦(wo)輪流量(liang)計進行(hang)空♻️載計(ji)時,見表(biao)2。
選用葉(ye)輪A時的(de)試驗數(shu)據見表(biao)3。
選用葉(ye)輪B時的(de)試驗數(shu)據見表(biao)4。
根據表(biao)3和表4作(zuo)出葉輪(lun)A和葉輪(lun)B的誤差(cha)曲線圖(tu),如圖2和(he)圖3所♈示(shi),葉輪A在(zai)流量20~400 m2/h時(shi),0.5級是合(he)格的,在(zai)100m3/h誤差出(chu)現突變(bian)情況;葉(ye)輪B在流(liu)量12~400m*/h時,0.5級(ji)是合格(ge)的。
根據(ju)表3和表(biao)4作出葉(ye)輪A和葉(ye)輪B的誤(wu)差對比(bi)圖,如圖(tu)👌4所示。
由(you)圖4可以(yi)看出,葉(ye)輪B的誤(wu)差曲線(xian)在流量(liang)點50~400 m3/h的線(xian)性比🐕葉(ye)輪🔴A的❓線(xian)性要好(hao);在流量(liang)點8~12 m3/h,誤差(cha)大概爲(wei)-1%~- -3%左右,均(jun)🥰爲不合(he)格♌點。
3結(jie)論
通過(guo)試驗,分(fen)别對不(bu)同傾斜(xie)角葉輪(lun)進行研(yan)究,得出(chu)如下結(jie)論:
(1)葉輪(lun)B在小流(liu)量點的(de)誤差優(you)于葉輪(lun)A;
(2)兩葉輪(lun)在流量(liang)點100m3/h都出(chu)現誤差(cha)突變;
(3)葉(ye)輪A在線(xian)性區誤(wu)差更趨(qu)近零點(dian);
(4)葉輪B在(zai)線性區(qu)誤差偏(pian)離零點(dian),但是仍(reng)在誤:差(cha)範圍内(nei);
(5)對于量(liang)程大的(de)渦輪流(liu)量計,應(ying)該優選(xuan)傾斜角(jiao)較小的(de)葉輪;而(er)🚶對于量(liang)程小的(de)渦輪流(liu)量計,應(ying)該優選(xuan)傾斜角(jiao)較大🥰的(de)葉輪;
(6)在(zai)小流量(liang)點區域(yu),不管是(shi)葉輪A還(hai)是葉輪(lun)B,計量誤(wu)差🍉仍✏️然(ran)很🚩大。
總(zong)之,葉輪(lun)傾斜角(jiao)隻影響(xiang)誤差曲(qu)線在線(xian)性區偏(pian)離零點(dian)的❄️幅度(du),但是在(zai)小流量(liang)點誤差(cha)仍然很(hen)大,給貿(mao)易計量(liang)帶來了(le)不公平(ping),因此,接(jie)下來的(de)研究工(gong)作主要(yao)是解決(jue)小流量(liang)點誤差(cha)偏大👣的(de)問題。
以(yi)上内容(rong)源于網(wang)絡,如有(you)侵權聯(lian)系即删(shan)除!
|
|
|
|