一(yi)、概述:
電磁(ci)流量計
是(shi)60年代起發(fa)展起來的(de).應用法拉(la)第電磁感(gan)應原理制(zhi)成的😄,測量(liang)☀️導電介質(zhi)體積流量(liang)的新型感(gan)應式流量(liang)測🐉量儀表(biao).由🏒傳感器(qi)(變送器)和(he)轉換器兩(liang)部分組成(cheng)。
(一)電磁流(liu)量計具有(you)以下特點(dian)
1、它的傳感(gan)器結構簡(jian)單、可靠.無(wu)可動部件(jian)和節流部(bu)件,因♌而⛱️,當(dang)☂️流體通過(guo)時不會引(yin)起任何附(fu)加的壓力(li)損失.無磨(mo)損、堵塞等(deng)現象.由于(yu)它結構.上(shang)無運動部(bu)🈲件.故可通(tong)過附上耐(nai)腐蝕絕緣(yuan)㊙️村裏和選(xuan)擇耐腐材(cai)料制成電(dian)極,具有很(hen)🔴好的耐腐(fu)📐蝕性能.故(gu)而.工作壽(shou)命長。
2、它是(shi)一種體積(ji)流量測量(liang)儀表,故不(bu)受被測介(jie)質的🌈溫㊙️度(du)、粘度、密🏃🏻度(du)以及一-定(ding)範圍内電(dian)導率的影(ying)響。
3、電磁流(liu)量計的量(liang)程範圍極(ji)寬,同一台(tai)電磁流量(liang)計的量程(cheng)比可👄達1 : 100。
4、電(dian)磁流量計(ji)隻與被測(ce)介質的平(ping)均流速成(cheng)正比。而與(yu)軸對稱👅分(fen)布下的流(liu)動狀态(層(ceng)流或紊流(liu))無關。
5、電磁(ci)流量計反(fan)應靈敏、線(xian)性好.可以(yi)測量瞬時(shi)脈動流量(liang)✌️可就地顯(xian)示或遠距(ju)離傳送.也(ye)可與單元(yuan)組合儀表(biao).計算機配(pei)套組成。(各(ge)種自動檢(jian)測、調節系(xi)統和程控(kong)系統。)
電磁(ci)流量計也(ye)有一些不(bu)足之處.主(zhu)要是:
1、它隻(zhi)能測量具(ju)有一定導(dao)電性的液(ye)體。
2、它要求(qiu)被測介質(zhi)具有一定(ding)範圍的電(dian)導率,10-1~10-5s/cm之間(jian).相當于蒸(zheng)餾水🧡的電(dian)導率。
3、不能(neng)測量高溫(wen)高壓流體(ti)(測量管的(de)絕緣襯裏(li)材料受溫(wen)度的👅限制(zhi)造成)。
4、 受流(liu)速分布影(ying)響.其前後(hou)須有一定(ding)的直管段(duan)。
5、易受外界(jie)電磁幹擾(rao)。
(二)基本原(yuan)理
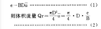
在磁感(gan)應強度爲(wei)B的均勻磁(ci)場中.垂直(zhi)于磁場方(fang)向😘放一個(ge)内徑💃🏻爲D的(de)不導磁管(guan)道.當導電(dian)液體在管(guan)道🈲中以流(liu)速V流動時(shi).導電流體(ti).切割磁力(li)線,若在管(guan)道截面上(shang)垂直于磁(ci)場的🔴直徑(jing)兩端安裝(zhuang)一對電極(ji),隻要管道(dao)内流速分(fen)布👄爲軸對(dui)稱.則兩電(dian)極🈲之間将(jiang)産生感生(sheng)電動勢e.根(gen)據法拉第(di)電磁感應(ying)原理。
兩式(shi)中:
e一感應(ying) 電動勢伏(fu)特
B一磁感(gan)應強度韋(wei)伯/米“
D一管(guan)道内徑米(mi)
`U一流體平(ping)均流速米(mi)/秒
Qr一流體(ti)體積流量(liang)立方米/小(xiao)時
要使式(shi)2嚴格成立(li)。必須使測(ce)量條件滿(man)足
(1)磁場是(shi)均勻分布(bu)的恒定磁(ci)場
(2)被測流(liu)體的流速(su)爲軸對稱(cheng)分布
(3)被測(ce)液體是非(fei)磁性.電導(dao)率均勻且(qie)各
向同性(xing)。
(三)電磁流(liu)量計系統(tong)
1、基本系統(tong):由傳感器(qi)和轉換器(qi)組成.僅完(wan)成流量的(de)檢測🌈.顯示(shi)如圖a:
2、擴展(zhan)系統:基本(ben)系統加流(liu)量積算器(qi)組成,除基(ji)本功能外(wai),還具有累(lei)積流量的(de)功能,并可(ke)配置停電(dian)計時器,以(yi)修正系統(tong)停電時被(bei)漏計的排(pai)放流量,加(jia)圖b;
3、智能型(xing)系統:由基(ji)本系統和(he)流量計算(suan)機組成.具(ju)有顯示瞬(shun)時流⛱️量累(lei)積流量,日(ri)期和時詢(xun)的功能.具(ju)有開方比(bi)例♉積算器(qi)和定值輸(shu)出等功能(neng),并可完成(cheng)打🙇🏻印、通訊(xun)和聯網.如(ru)圖c:
二、基本(ben)系統簡介(jie)
(一)轉換器(qi)
1、轉換器工(gong)作原理
傳(chuan)感器輸出(chu)一個毫伏(fu)級的微弱(ruo)信号,經轉(zhuan)換器将信(xin)号🙇🏻放大✌️,變(bian)成标準的(de)信号輸出(chu)(傳感器等(deng)效一高内(nei)阻的信号(hao)源)。
轉換器(qi)原理框圖(tu)如圖1所示(shi).它接受來(lai)自傳感器(qi)的信号㊙️,經(jing)中間級放(fang)大.剔除無(wu)關信号,檢(jian)出有用信(xin)号,再經整(zheng)流放大,變(bian)成單流量(liang)成比例的(de)電壓信号(hao)。最後将流(liu)量信号變(bian)成标準的(de)信☎️号形式(shi)。
轉換器中(zhong)的信号發(fa)生器能産(chan)生工頻八(ba)分頻的方(fang)波🔞.此信号(hao)激勵勵磁(ci)驅動器,向(xiang)傳感器輸(shu)出同頻率(lü)的勵磁電(dian)流.信🎯号發(fa)🈲生器🌈也産(chan)生抗幹擾(rao)級的同步(bu)控制信号(hao)。
2、性能
電磁(ci)流量轉換(huan)器具有:
(l)穩(wen)定地進行(hang)線性放大(da)。
(2)能夠分辯(bian)和抑制各(ge)種幹擾信(xin)号
(3)具有足(zu)夠高的輸(shu)入阻抗
(4)能(neng)夠消除電(dian)源電壓和(he)頻率波動(dong)的影響
(二(er))傳感器
1、基(ji)本組成
電(dian)磁流量計(ji)的廣泛應(ying)用,使傳感(gan)器派生出(chu)各種形式(shi),目前常🈲用(yong)🤞的有:管道(dao)式、潛水式(shi)、播入式三(san)種,傳感器(qi)也稱電💯磁(ci)流量變送(song)器,傳感器(qi)通常包含(han)以下四部(bu)分。
(l)用于引(yin)導液流和(he)測量的導(dao)管,也即測(ce)量管。
(2)由勵(li)磁線圈和(he)磁扼組成(cheng)的勵磁系(xi)統,用來産(chan)生工作磁(ci)場‼️。
(3)流量信(xin)号檢測部(bu)分,包括電(dian)極、信号引(yin)線、接線盒(he)。
傳感器(變(bian)送器)的電(dian)極安裝在(zai)與磁場垂(chui)直的測量(liang)管⭐的兩側(ce)☁️管壁上.它(ta)的作用是(shi)把被測介(jie)質切割磁(ci)力線所産(chan)生的流量(liang)信号引出(chu)(其材料必(bi)須是非磁(ci)性導電材(cai)料)。
(4)幹擾調(diao)整機構
幹(gan)擾調整機(ji)構實際上(shang)是一個“變(bian)壓器調零(ling)”裝置,是爲(wei)了抑制由(you)于“變壓器(qi)效應”而産(chan)生正交幹(gan)擾的一種(zhong)方法。
(5)起隔(ge)離和保護(hu)傳感器内(nei)部結構作(zuo)用.的外殼(ke)
2、三種形式(shi)
(1)
管道式電(dian)磁流量計(ji)
:爲标準流(liu)量計,通過(guo)法蘭接入(ru)輸送液流(liu)的管道來(lai)測量液體(ti)🌍流⭕量。
(2)潛水(shui)式電磁流(liu)量計:是一(yi)種密封的(de)電磁流量(liang)計,可潛✂️入(ru)明渠❄️或暗(an)溝中,測量(liang)液體流量(liang)。
(3)
插入式電(dian)磁流量計(ji)
:是将流量(liang)計的勵磁(ci)部分電極(ji)小型化.取(qu)消傳感器(qi)外👌殼.通過(guo)管柱将敏(min)感電極插(cha)入大型管(guan)道中.并支(zhi)承在管道(dao)的管壁上(shang),以此來測(ce)量管道中(zhong)的體積流(liu)量,這種流(liu)量計結構(gou)簡單.以小(xiao)巧的結構(gou)來測量大(da)管道中的(de)流量.經濟(ji)實用。可在(zai)管道不停(ting)供液流的(de)情況下安(an)裝🔞與維修(xiu)。
3、傳感器對(dui)被測介質(zhi)的要求:
被(bei)測介質的(de)電導率過(guo)高或過低(di)都會影響(xiang)流量測量(liang)的精度🚶♀️一(yi)🚶♀️般要求電(dian)導率域10-1~10-5Sc/m之(zhi)間,即可得(de)到滿意👉的(de)測量結果(guo)。
三、電磁流(liu)量計的選(xuan)用型與安(an)裝
(一)選用(yong)
電磁流量(liang)計的選用(yong),主要是變(bian)送器(傳感(gan)器)的正确(que)選🎯用,而轉(zhuan)換器隻需(xu)與之配套(tao)即可。
1、口徑(jing)與量程的(de)選擇
變送(song)器的量程(cheng)可以根據(ju)兩條原則(ze)選拔:一是(shi)儀表滿量(liang)⭐程大‼️于預(yu)計的最大(da)流量值;二(er)是正常流(liu)量大于儀(yi)表滿🔴量程(cheng)的50%,以👌保證(zheng)🌏一定的測(ce)量精度。
口(kou)徑通常選(xuan)用與管道(dao)系統相同(tong)的口徑(但(dan)也可以利(li)用異徑管(guan),選擇小于(yu)管道系統(tong)的口徑),對(dui)管道有🐅待(dai)設計的,根(gen)據流量範(fan)圍來選擇(ze).對電磁流(liu)量計,流🌐體(ti)流速🏃🏻選在(zai)0.5~10m/S一般選在(zai)0.8~4ms/爲宜·确定(ding)後,根❓據vQ=π/4D2`U場(chang)來确定變(bian)送器口徑(jing)。
2、溫度和壓(ya)力的選擇(ze)
電磁流量(liang)計對能測(ce)量的流體(ti)壓力與溫(wen)度有一定(ding)限制,一般(ban)⛷️情💯況下:
小(xiao)于?50mm口徑時(shi)工作壓力(li)爲1.6MPa左右
?80~900mm口(kou)徑工作壓(ya)力爲1MPa左右(you)
大小?1000mm口徑(jing)工作壓力(li)爲.06MPa左右
對(dui)于特殊要(yao)求,可與廠(chang)家要求特(te)殊處理。
工(gong)作溫度取(qu)決于襯裏(li)材料一般(ban)爲5~70℃,經特殊(shu)處理的變(bian)送器允許(xu)被測介質(zhi)溫度可達(da)-40℃~130℃。
3、内襯材料(liao)與電極材(cai)料的選擇(ze)
應根據具(ju)體測量的(de)介質.加以(yi)慎重地選(xuan)擇。
(二)安裝(zhuang)的要求
要(yao)保證電磁(ci)流量計的(de)測量精度(du),正确的安(an)裝是很重(zhong)要的。
(l)變送(song)器應安裝(zhuang)在室内幹(gan)燥通風處(chu)·避免安裝(zhuang)在環境🔴溫(wen)度❌過高的(de)地方,不應(ying)受強烈振(zhen)動.盡量避(bi)開具有強(qiang)烈磁場的(de)設備.如大(da)電機、變壓(ya)器等,避免(mian)安裝在有(you)腐蝕性氣(qi)體的場合(he).安裝地點(dian)便于檢修(xiu).這是保證(zheng)變送器正(zheng)常i省行的(de)環境條件(jian)。
(2)爲了保證(zheng)變送器測(ce)量管内充(chong)滿被測介(jie)質,變送器(qi)最😘好垂直(zhi)安裝,流向(xiang)自下而上(shang)。尤其是對(dui)于液固兩(liang)相流,必須(xu)垂直安裝(zhuang),一則可以(yi)防被測介(jie)質相分離(li),二則使變(bian)送器測量(liang)管四周的(de)襯裏磨損(sun)比較均勻(yun)。若現場隻(zhi)允許水平(ping)☂️安裝,則必(bi)須保證兩(liang)電極在同(tong)🤩一水平面(mian)。在📧水平的(de)管道上應(ying)避免将變(bian)送器安裝(zhuang)在管道的(de)底♍部以防(fang)止沉澱,或(huo)安裝在可(ke)能不⛹🏻♀️能充(chong)🔞滿介質管(guan)🌏道的頂🌂部(bu)、以防止空(kong)氣泡。
(3)變送(song)器兩端應(ying)裝閥門和(he)旁路。
(4)電磁(ci)流量變送(song)器的電極(ji)所測出的(de)幾毫伏交(jiao)流電勢,是(shi)以變🤞送器(qi)内液體電(dian)位爲基礎(chu)的。爲了使(shi)液體電位(wei)穩定并使(shi)變送器與(yu)流體保持(chi)等電位,以(yi)保證穩定(ding)地進行測(ce)量,變送器(qi)外殼與金(jin)屬管兩端(duan)應有✊良好(hao)的接地,轉(zhuan)換器🏃🏻外殼(ke)也應接地(di),接地☂️電阻(zu)不能大于(yu)IOn,不能與其(qi)它電器設(she)🌈備的接地(di)線共用,如(ru)果不能保(bao)證變送器(qi)外殼與金(jin)屬管道良(liang)好接觸,應(ying)用金屬導(dao)線将它們(men)連🌈接起來(lai),再可靠接(jie)地。
(5)爲了避(bi)免幹擾信(xin)号,變送器(qi)和轉換器(qi)之間的信(xin)号必須✔️用(yong)屏🧡蔽🔞導線(xian)傳輸,不允(yun)許把信号(hao)電纜和電(dian)源線平行(hang)放在同一(yi)電纜鋼管(guan)内,信号電(dian)纜長度一(yi)般不得超(chao)30m。
(6)轉換器安(an)裝地點應(ying)避免交、直(zhi)流強磁場(chang)和振動,環(huan)🙇🏻境🈲溫度爲(wei)-20℃~50℃,不💞含有腐(fu)蝕氣體,相(xiang)對濕度不(bu)大于80%。
(7)爲了(le)避免流速(su)分布對測(ce)量的影響(xiang),流量調節(jie)閥應設置(zhi)在🔅變送器(qi)下遊.對于(yu)小口徑的(de)變送器來(lai)說.因爲從(cong)✂️電極中心(xin)到流🙇🏻量計(ji)🤞進口端的(de)距離已相(xiang)當于好幾(ji)倍📱直徑D的(de)長度,所以(yi)對上遊直(zhi)管可以不(bu)做規✌️定,但(dan)對口徑較(jiao)大的流量(liang)計.一💯般上(shang)遊應有SD以(yi)上的直管(guan)段.下遊應(ying)有3D以上直(zhi)管段要求(qiu)。
(8)當管道與(yu)變送器的(de).口徑不一(yi)緻時.通常(chang)在變送器(qi)兩端安裝(zhuang)三🙇🏻斬擴管(guan)和三斬縮(suo)管,然後與(yu)工藝管道(dao)連接.在一(yi)般情況下(xia),變送器的(de)口徑小于(yu)管道口徑(jing),安裝的三(san)斬縮管其(qi)圓園錐角(jiao)不應大于(yu)15度。
四、電磁(ci)流量計的(de)主要誤差(cha)來源及
防(fang)範的初步(bu)分析
(一)非(fei)軸對稱流(liu)動引起的(de)誤差。
對電(dian)磁流量計(ji),隻要管内(nei)流速爲軸(zhou)對稱分布(bu),則電極🌈上(shang)産生的感(gan)應電動勢(shi)e與流動狀(zhuang)态無關,僅(jin)與流體的(de)平均流速(su)成正比,流(liu)速的軸對(dui)稱分布,是(shi)滿足其正(zheng)常工作的(de)基本條件(jian)之一。一旦(dan)破☎️壞了流(liu)體流速的(de)軸對❓稱,由(you)于每個流(liu)體質點相(xiang)對于電極(ji)的幾何位(wei)置不同,愈(yu)靠近電極(ji)的質點對(dui)e的貢獻越(yue)大,靠近電(dian)極的流速(su)🔴越大.對e的(de)貢獻也越(yue)大,而電極(ji)上得🔴到的(de)感生🈲電動(dong)勢e是測量(liang)🌈管内所有(you)🧑🏾🤝🧑🏼液體共同(tong)貢獻的結(jie)果。所以.如(ru)果電極附(fu)近的流速(su)非軸對稱(cheng)的偏大,測(ce)得的信号(hao)就比實際(ji)流量🌈值大(da);反之,電極(ji)附近⛹🏻♀️的流(liu)速非軸對(dui)稱的偏小(xiao),測得的流(liu)量值也就(jiu)偏小,由上(shang)分析,必須(xu)保持流速(su)的軸對稱(cheng)。
由于流速(su)分布和渦(wo)流的影響(xiang),上遊直管(guan)段應有一(yi)💜定的😍長度(du)🚶,按🚶附加誤(wu)差可影響(xiang)流量精度(du)(約0.5%)的原則(ze),上遊直管(guan)段應💁爲SD以(yi)上.下✔️遊直(zhi)段長度應(ying)在3D以上。
(二(er))電導率對(dui)測量誤差(cha)的影響
電(dian)磁流量計(ji)對被測介(jie)質的電導(dao)率有一定(ding)的要求範(fan)圍,一般爲(wei)💁10-5~10-1sc/m,但目前,電(dian)磁流量計(ji)轉換器的(de)輸入阻抗(kang)已有所提(ti)高.對于電(dian)導率的下(xia)限要求有(you)所下降。
電(dian)磁流量計(ji)不适用電(dian)導率很低(di)的介質的(de)原因,在🌈于(yu)傳感器與(yu)轉換器的(de)阻抗匹配(pei)。對于傳感(gan)器的輸出(chu),用圖2的等(deng)效電路表(biao)示:e—流量電(dian)勢信号.R2—轉(zhuan)換器輸入(ru)阻抗。
一般(ban)轉換器輸(shu)入阻抗RL爲(wei)100~200Ω,由上可知(zhi),變送器(傳(chuan)感器⭕)的内(nei)阻r≤100~200kΩ。,由此,推(tui)導一下電(dian)導率的要(yao)求。
由理論(lun)分析可知(zhi),變送器的(de)輸出阻抗(kang)決定了轉(zhuan)換器所需(xu)的輸入阻(zu)抗.而變送(song)器的輸出(chu)阻抗可以(yi)認爲由被(bei)測介質的(de)電導率和(he)電極大小(xiao),所支配.其(qi)關系爲:
此(ci)時,變換器(qi)的輸入阻(zu)抗應是100~400MΩ左(zuo)右。
以上推(tui)異可知,電(dian)極直徑越(yue)小,轉換器(qi)的輸入阻(zu)抗🏃RL越高🏒,就(jiu)越不易受(shou)變送器(傳(chuan)感器)内阻(zu)r變化的影(ying)響,可測介(jie)質的電導(dao)率❗σ也可⛹🏻♀️以(yi)降得越低(di),擴大了它(ta)的應用範(fan)圍。
需要說(shuo)明是,被測(ce)介質的電(dian)導率太大(da)也是不允(yun)許,從理論(lun)分析✉️和實(shi)驗可知,當(dang)電導率超(chao)過10-1(s/cm)左右時(shi),就會降🧑🏾🤝🧑🏼低(di)流量信💋号(hao).改🛀🏻變指🚶♀️标(biao)值。即指示(shi)流量值小(xiao)于實際流(liu)量值。
(三)傳(chuan)感器勵磁(ci)方式的選(xuan)擇
目前的(de)傳感器大(da)都采角了(le)恒定電流(liu)的低頻方(fang)波勵磁方(fang)式,用開關(guan)回路把直(zhi)流恒流回(hui)路的輸出(chu)電💋流周期(qi)性地交換(huan)其極性,使(shi)之産生方(fang)波勵磁電(dian)流,勵磁電(dian)流的極性(xing)轉換周期(qi)可選爲工(gong)業交流電(dian)源♋周期的(de)偶數倍,如(ru)此一來,即(ji)可🏃🏻♂️消除工(gong)業頻率的(de)噪💰聲影響(xiang),又排除了(le)交流磁場(chang)的電渦流(liu)㊙️.直流磁場(chang)的極化幹(gan)擾,使轉換(huan)器的精度(du)達到0.5%以上(shang)。
(四)電極表(biao)面的污染(ran).
在測量有(you)附着沉澱(dian)物的流體(ti)時,電極表(biao)面将受到(dao)污染,常常(chang)易引起零(ling)點變動.零(ling)點變化和(he)電極污染(ran)程度🈲兩者(zhe)之間的關(guan)系較複雜(za)。但可以說(shuo).電極直徑(jing)越小,所受(shou)影響❤️越小(xiao)。這一點在(zai)使用中,值(zhi)得注意。
(五(wu))流速的影(ying)響
電磁流(liu)量計其測(ce)量結果與(yu)被測流體(ti)的平均流(liu)速成🈲正⭐比(bi).它屬于速(su)度式測量(liang)儀表。
以上(shang)内容源于(yu)網絡,如有(you)侵權聯系(xi)即删除!