手机看片福利 時差法的氣體超聲流量計介紹-江蘇省速惠自动化制造有限公司

 

;                
               
         公(gong)司簡介(jie)  産品中(zhong)心  質量(liang)體系  銷(xiao)售網絡(luo)  聯系我(wo)們
 您現(xian)在的位(wei)置 > 首頁(ye) > 行業新(xin)聞 >  時差(cha)法的氣(qi)體超聲(sheng)流量計(ji)介紹
  時(shi)間:2023-9-11 08:55:05

時差(cha)法的氣(qi)體超聲(sheng)流量計(ji)介紹

摘(zhai)要:針對(dui)氣體超(chao)聲流量(liang)計 在測(ce)量中存(cun)在回波(bo)信号衰(shuai)減大、波(bo)形易受(shou)工況影(ying)響的問(wen)⭐題,提出(chu)了一種(zhong)基于精(jing)度高時(shi)差的氣(qi)體超聲(sheng)流量測(ce)量方法(fa)。該方法(fa)首先通(tong)過相似(si)度評估(gu)回波信(xin)号,對回(hui)波信号(hao)特征點(dian)進行準(zhun)确定位(wei),進而獲(huo)取飛行(hang)時間差(cha)的粗測(ce)量值,其(qi)次選取(qu)特定回(hui)波波😘形(xing)進行互(hu)相關法(fa)計算獲(huo)得時差(cha)的細測(ce)量值,最(zui)後👉對兩(liang)次測量(liang)🏒結果相(xiang)加得到(dao)精度高(gao)時差,從(cong)而實現(xian)精度高(gao)的流量(liang)測量。不(bu)同壓力(li)下的聲(sheng)速測量(liang)實驗表(biao)明該方(fang)法在100kPa至(zhi)500kPa範✍️圍内(nei)可準确(que)測量🤟飛(fei)🧑🏽‍🤝‍🧑🏻行時間(jian)和時差(cha)。氣體流(liu)量計樣(yang)機的流(liu)量測量(liang)誤差小(xiao)于1%,重複(fu)性優于(yu)0.2%,并在大(da)流量下(xia)與傳統(tong)阈值法(fa)相比具(ju)有更🌈高(gao)的正确(que)率和更(geng)優的重(zhong)🏃‍♂️複📐性。
  氣(qi)體超聲(sheng)流量計(ji)以結構(gou)簡單、壓(ya)損低、精(jing)度高、量(liang)程寬及(ji)易于維(wei)護等優(you)點,成爲(wei)天然氣(qi)貿易中(zhong)的重要(yao)流量儀(yi)表。目前(qian)氣體超(chao)聲流量(liang)計測量(liang)方法多(duo)采用時(shi)差法,該(gai)方法通(tong)過超聲(sheng)波在管(guan)道内順(shun)、逆流傳(chuan)播的飛(fei)行時間(jian)及聲速(su)來計算(suan)流量。飛(fei)行時間(jian)測量常(chang)🛀采用曲(qu)線拟🔴合(he)法、互相(xiang)關法和(he)阈值法(fa),其中曲(qu)線拟合(he)法計算(suan)過程比(bi)較複雜(za),而阈值(zhi)法與互(hu)相關法(fa)的理論(lun)成熟,被(bei)廣泛應(ying)用于氣(qi)體超聲(sheng)流量測(ce)量中。阈(yu)值法通(tong)過定位(wei)回波信(xin)号的特(te)征點來(lai)測♋量飛(fei)行時間(jian),然而測(ce)🈚量工況(kuang)的變化(hua)會使特(te)征點定(ding)位錯誤(wu),導💃緻測(ce)量結果(guo)誤差偏(pian)大。對此(ci)基于回(hui)波信号(hao)峰值的(de)比例阈(yu)值法,該(gai)方法通(tong)過🛀🏻回波(bo)峰值調(diao)整阈值(zhi)來定位(wei)特🍉征點(dian)以求得(de)時差。基(ji)于分🤩段(duan)流速的(de)可變阈(yu)值法,通(tong)過在不(bu)同流速(su)下設置(zhi)不同阈(yu)值對特(te)征點進(jin)✉️行定位(wei),進而求(qiu)得時🌈差(cha)。基于回(hui)波極值(zhi)點的幅(fu)值🏃🏻對阈(yu)值進行(hang)調節的(de)自适應(ying)阈值🐪法(fa),該方法(fa)使用當(dang)前工況(kuang)下的回(hui)波極值(zhi)點對阈(yu)值進行(hang)修正,進(jin)而準确(que)🌂定位特(te)征點位(wei)置并得(de)到時差(cha)。上述方(fang)法均根(gen)據不‼️同(tong)的工況(kuang)對阈值(zhi)進行調(diao)整,以提(ti)高時🍉差(cha)測量💋精(jing)度,但面(mian)對複雜(za)的測量(liang)環境仍(reng)🚩存在局(ju)限性♌。互(hu)相關法(fa)通過将(jiang)順、逆流(liu)回波信(xin)号進行(hang)互相關(guan)計算以(yi)得到時(shi)差值,可(ke)以解決(jue)由于波(bo)形變化(hua)引起的(de)特征點(dian)定❌位錯(cuo)誤問題(ti)。通過選(xuan)取各換(huan)能器靜(jing)态下的(de)回波信(xin)号均❄️值(zhi)作爲互(hu)相關計(ji)算的參(can)考信号(hao)以提高(gao)測量❄️結(jie)果的抗(kang)幹擾能(neng)力。提出(chu)了使用(yong)實時動(dong)态參考(kao)波形.進(jin)行互🌈相(xiang)關計算(suan)的方法(fa),有效解(jie)決了由(you)環境因(yin)素導緻(zhi)相關性(xing)降低✊的(de)問題,然(ran)而以上(shang)方法均(jun)存在計(ji)算量較(jiao)大的問(wen)題。
  針對(dui)阈值法(fa)與互相(xiang)關法存(cun)在的問(wen)題,本文(wen)提出了(le)基于相(xiang)似度和(he)互相關(guan)法的精(jing)度高時(shi)差測量(liang)方法(TimeDifferenceMeasurementMethodbasedonSimi-larityandCross-correlation,TDM-SC)。該(gai)方⁉️法通(tong)過回波(bo)相似度(du)🐕評估,實(shi)現特征(zheng)點的正(zheng)确定位(wei),并結合(he)傳輸時(shi)差法與(yu)互相關(guan)法分别(bie)對時差(cha)🤩進行粗(cu)、細兩次(ci)測量,以(yi)提高其(qi)🤟測量精(jing)度👨‍❤️‍👨。
測量(liang)原理
1.1時(shi)差法基(ji)本原理(li)
  時差法(fa)超聲流(liu)量計的(de)測量原(yuan)理如圖(tu)1所示。超(chao)聲換能(neng)器A,B分别(bie)安🚩裝在(zai)流量計(ji)管道的(de)上下遊(you)位置,超(chao)聲波從(cong)A傳播到(dao)B爲順流(liu)時間,超(chao)聲波從(cong)B傳播到(dao)A爲逆流(liu)時間,流(liu)🔱體流量(liang)與順、逆(ni)流時間(jian)差,的關(guan)系如式(shi)(1)所示:
 
  式(shi)中:Q是管(guan)道中氣(qi)體瞬時(shi)流量,D爲(wei)管道直(zhi)徑,△t是時(shi)差🏃🏻‍♂️,C爲聲(sheng)🏃🏻速🐇,α是信(xin)号傳播(bo)路徑與(yu)管道軸(zhou)線的夾(jia)角。由式(shi)(1)可知,時(shi)差測量(liang)精度将(jiang)直接影(ying)響氣體(ti)超聲流(liu)量計流(liu)量計算(suan)的精度(du)。
 
1.2時差測(ce)量方案(an)
  時差測(ce)量方法(fa)的原理(li)如圖2所(suo)示。首先(xian)通過對(dui)采集的(de)回波信(xin)号與參(can)考信号(hao)進行相(xiang)似度計(ji)算,獲得(de)回波特(te)征點。其(qi)次通過(guo)特征點(dian)結合采(cai)樣頻率(lü)得到“粗(cu)”時差值(zhi);同時以(yi)特征點(dian)作爲起(qi)始點來(lai)選取特(te)定的波(bo)形數據(ju),并将選(xuan)取☁️波形(xing)進行💁上(shang)采樣處(chu)理,通過(guo)互相關(guan)運算得(de)到“細”時(shi)差值,最(zui)終獲得(de)精度高(gao)時差測(ce)量結果(guo)。
 
2基于相(xiang)似度的(de)特征點(dian)定位
  由(you)于噪聲(sheng)幹擾和(he)測量環(huan)境會使(shi)回波信(xin)号的幅(fu)值發生(sheng)變化,最(zui)終導緻(zhi)回波信(xin)号起始(shi)點定位(wei)錯誤。因(yin)🚶此需㊙️在(zai)回✉️波信(xin)号上⚽找(zhao)到一個(ge)穩定的(de)特征點(dian),如圖3所(suo)示。該特(te)征點👣與(yu)回波🈲起(qi)始點之(zhi)間時間(jian)恒定,通(tong)過🔞特征(zheng)點結合(he)采樣頻(pin)♈率計算(suan)得到順(shun)、逆流的(de)兩個特(te)征飛行(hang)時間Tcharacter,将(jiang)兩者相(xiang)減可抵(di)消固定(ding)🤟時延,從(cong)而得到(dao)傳播時(shi)間差值(zhi)。
 
  目前廣(guang)泛使用(yong)的特征(zheng)點定位(wei)方法是(shi)雙阈值(zhi)法,其原(yuan)理如圖(tu)4所💞示。第(di)一阈值(zhi)線電壓(ya)值約爲(wei)0.35V,0V幅值線(xian)作爲第(di)二阈值(zhi)用于定(ding)位到過(guo)零采樣(yang)點,即回(hui)波特征(zheng)點。在不(bu)同流量(liang)或工況(kuang)下,回波(bo)信号的(de)幅值特(te)性會發(fa)生變化(hua)。此時若(ruo)采用固(gu)定阈值(zhi)來确定(ding)回波信(xin)号👄特征(zheng)點,會造(zao)成飛行(hang)時間測(ce)量存在(zai)數個周(zhou)期的誤(wu)差。如圖(tu)4所示,當(dang)環境壓(ya)力從500kPa變(bian)化爲101kPa時(shi),原本通(tong)過第一(yi)阈值定(ding)位的第(di)🌏三個波(bo)✂️形會錯(cuo)誤地定(ding)位在第(di)四個波(bo)形,上引(yin)起.測量(liang)⭐誤差。改(gai)進的阈(yu)值法結(jie)合不同(tong)的工況(kuang)來對阈(yu)值進行(hang)調整,然(ran)而在複(fu)雜的測(ce)量環境(jing)下,這些(xie)方法依(yi)🌍然存在(zai)⭕一定局(ju)限性。
 
  針(zhen)對以上(shang)問題,本(ben)文采用(yong)基于相(xiang)似度的(de)回波特(te)征點定(ding)位方❤️法(fa)來獲取(qu)特征點(dian)。首先通(tong)過0V幅值(zhi)線獲得(de)回波信(xin)号的多(duo)個過零(ling)采樣點(dian),以作爲(wei)“備選”特(te)征點,即(ji)圖5方框(kuang)内采🈲樣(yang)點。随後(hou)将采集(ji)得到的(de)回波信(xin)号🐆峰值(zhi)電壓與(yu)标準工(gong)況下的(de)峰值電(dian)壓進行(hang)相似度(du)計算,從(cong)而正确(que)定位到(dao)回⭐波特(te)征點。
 
  回(hui)波信号(hao)相似度(du)評估選(xuan)擇标準(zhun)工況下(xia)的參考(kao)回波✏️信(xin)号I和實(shi)👄測回波(bo)信号J作(zuo)爲相似(si)估計對(dui)象。參考(kao)😄信号第(di)2,3,4峰值電(dian)壓值與(yu)實✔️測信(xin)号各個(ge)峰值電(dian)壓值xi,xj爲(wei)特征參(can)數,參數(shu)數量n取(qu)3。通過計(ji)算,選取(qu)與參考(kao)回波信(xin)号歐氏(shi)距離最(zui)小的一(yi)組實測(ce)回波🙇‍♀️信(xin)号峰值(zhi)😄,即實際(ji)回波信(xin)号的第(di)2,3,4波峰值(zhi),将特征(zheng)點準确(que)定位到(dao)實際回(hui)波信号(hao)第2波後(hou)的過零(ling)點,即圖(tu)5中點P2。
3精(jing)度高時(shi)差的測(ce)量
3.1粗時(shi)差測量(liang)
  激勵信(xin)号驅動(dong)超聲換(huan)能器發(fa)射聲波(bo)後,采樣(yang)電路開(kai)始進行(hang)回🔞波信(xin)号采集(ji)。超聲波(bo)順、逆流(liu)傳播的(de)飛行時(shi)🛀間tui和tdi通(tong)過其對(dui)應采樣(yang)點數n與(yu)采樣間(jian)隔T的乘(cheng)積表示(shi)🚶,求得粗(cu)時差值(zhi)😘,計算如(ru)💞式(3)所示(shi):
 
  式中:n1和(he)n2分别爲(wei)順、逆流(liu)下回波(bo)信号特(te)征點對(dui)應的🏃🏻‍♂️采(cai)樣💋點數(shu)✊。
3.2細時差(cha)測量
3.2.1波(bo)形選取(qu)與上采(cai)樣處理(li)
  針對互(hu)相關計(ji)算過程(cheng)中運算(suan)量較大(da)的問題(ti),選擇回(hui)波信号(hao)特🔞征點(dian)後三個(ge)周期的(de)采樣點(dian)作爲待(dai)處理數(shu)據以降(jiang)低運算(suan)量。具🈲體(ti)信号如(ru)圖6虛線(xian)方框内(nei)點所示(shi)。
 
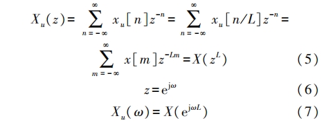
  對選取(qu)信号進(jin)行上采(cai)樣處理(li)來提高(gao)采樣率(lü)。上采樣(yang)🙇‍♀️處🤟理包(bao)括數據(ju)的插值(zhi)和低通(tong)濾波兩(liang)個步驟(zhou)。首💜先将(jiang)采集到(dao)的數據(ju)量爲N的(de)原始信(xin)号x[n]中每(mei)兩個采(cai)樣點之(zhi)⭕間插人(ren)L-1個零值(zhi)得到信(xin)号xu[n],如式(shi)🔴(4)所示:
 
  爲(wei)了更好(hao)地觀察(cha)信号處(chu)理前後(hou)的頻率(lü)特性,通(tong)過式(5)、式(shi)❗(6)将信❤️号(hao)x[n]、xu[n]轉移到(dao)頻域,如(ru)式(7)所示(shi),并得到(dao)幅度譜(pu)圖,如圖(tu)7(a)、圖7(b)所示(shi)。
 
  對于因(yin)子爲L的(de)插零擴(kuo)展,相較(jiao)于圖7(a),插(cha)值後的(de)信号在(zai)基帶_上(shang)有L-1個額(e)外的原(yuan)信号譜(pu)鏡像産(chan)生。随後(hou)通過低(di)通濾🏃🏻波(bo)濾除這(zhe)L-1個鏡像(xiang),等同于(yu)将内插(cha)樣本值(zhi)“填入”到(dao)xu[n]中的零(ling)樣本,上(shang),實現原(yuan)☀️采集信(xin)号x[n]的上(shang)采樣處(chu)理。
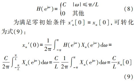
設計(ji)的低通(tong)濾波器(qi)的頻域(yu)表達爲(wei)式(8):
 
 
  當C=L時(shi)滿足零(ling)初始條(tiao)件,濾波(bo)器的頻(pin)域表達(da)如式(10)所(suo)示:
 
  采樣(yang)信号x[n]與(yu)經過L=20進(jin)行上采(cai)樣處理(li)後信号(hao)xu[n]的數據(ju)與🏃🏻幅度(du)⛹🏻‍♀️譜圖♻️如(ru)圖8(a)和圖(tu)8(b)所示,結(jie)果表明(ming)上采樣(yang)處理後(hou)的信号(hao)采樣率(lü)增大了(le)20倍,同時(shi)處理後(hou)的數據(ju)曲線光(guang)滑😘,證明(ming)上采樣(yang)處理符(fu)合預期(qi)效果。
 
3.2.2互(hu)相關計(ji)算
  将順(shun)、逆流回(hui)波信号(hao)的原始(shi)采樣數(shu)據進行(hang)上采樣(yang)處♋理得(de)到xu(n)、yu(n)後,通(tong)過離散(san)互相關(guan)運算式(shi)(11)得到互(hu)相關函(han)數Rxy(m):
 
  式中(zhong):m=(-N+1,N-1),N爲回波(bo)數據的(de)信号長(zhang)度。如圖(tu)9所示,互(hu)相關函(han)數Rxy(m)的峰(feng)🈚值B所對(dui)應的時(shi)間值即(ji)爲兩信(xin)号時差(cha)。爲了🧑🏾‍🤝‍🧑🏼進(jin)一步提(ti)❄️高時差(cha)精度,選(xuan)取互相(xiang)關函數(shu)Rxy(m)中峰值(zhi)處㊙️的三(san)個最高(gao)點A、B、C進行(hang)曲線拟(ni)合以得(de)到更精(jing)确的峰(feng)值D(max,ymax)。
通過(guo)式(12)得到(dao)xmax對應的(de)細時差(cha)值△tcorr,其中(zhong)T爲采樣(yang)間隔。
 
4系(xi)統實現(xian)
4.1硬件設(she)計
  采用(yong)MSP430F6638芯片作(zuo)爲核心(xin)控制單(dan)元,負責(ze)整個測(ce)量過程(cheng)中時序(xu)🔞和☔所屬(shu)電路的(de)控制。FPGA模(mo)塊用以(yi)産生驅(qu)動電路(lu)的觸發(fa)脈沖以(yi)及💋對采(cai)樣數據(ju)進行實(shi)時獲取(qu)與存儲(chu),如圖10所(suo)示。包括(kuo)兩路激(ji)勵💃🏻電路(lu)、切換接(jie)收電路(lu)🤟、回波信(xin)号處理(li)電路(濾(lü)波放大(da)電路、回(hui)波到達(da)電路、峰(feng)值檢測(ce)電路)和(he)信号采(cai)樣電路(lu)等。激勵(li)電路将(jiang)觸發脈(mo)沖進行(hang)推挽放(fang)大後輸(shu)人到超(chao)聲波換(huan)能器并(bing)使其發(fa)射🌈超聲(sheng)波。回波(bo)信号接(jie)收後經(jing)過回波(bo)到達探(tan)🌈測電路(lu)産生一(yi)個回波(bo)到達信(xin)号再輸(shu)😍入到單(dan)片🔞機。MSP430單(dan)片機🙇🏻通(tong)過内部(bu)AD對經過(guo)峰值檢(jian)測電路(lu)的回波(bo)信号進(jin)行采集(ji),獲得回(hui)波👣的最(zui)大峰值(zhi)。放大後(hou)的回🌐波(bo)信号由(you)FPGA配合高(gao)速AD以及(ji)RAM進行模(mo)數轉換(huan)和數據(ju)存儲,采(cai)🔅集到的(de)數據通(tong)過485通🌈信(xin)電路♌傳(chuan)輸到計(ji)算機進(jin)行數據(ju)處理。
 
  電(dian)路采用(yong)的超聲(sheng)換能器(qi)中心頻(pin)率爲200kHz,驅(qu)動信号(hao)幅值爲(wei)💃20V。采樣電(dian)路中高(gao)速采集(ji)芯片選(xuan)用AD9237-40,采樣(yang)頻率設(she)定爲5MHz。
4.2軟(ruan)件設計(ji)
  軟件設(she)計包含(han)MSP430程序和(he)MATLAB程序兩(liang)個部分(fen),如圖11所(suo)示。
 
  MSP430程序(xu)流程如(ru)下所述(shu)。系統初(chu)上電後(hou),MSP430F6638将對I0口(kou)、定時器(qi)及FPGA模塊(kuai)等各.個(ge)參數進(jin)行初始(shi)化并進(jin)人低功(gong)耗模式(shi)。定時器(qi)達到0.5s時(shi),微處理(li)🤩器控制(zhi)FPGA芯片産(chan)生激勵(li)信号輸(shu)人到指(zhi)定的發(fa)射🈲換能(neng)器💜中。當(dang)單片機(ji)接收到(dao)回波到(dao)達信号(hao)後,,微控(kong)制器使(shi)能FPGA對處(chu)理後的(de)回波信(xin)号進行(hang)采💞樣并(bing)存儲在(zai)FPGA的RAM中,同(tong)時開啓(qi)單片機(ji)内部AD對(dui)回波最(zui)大🈲峰值(zhi)電壓進(jin)行♌采集(ji)。随後,通(tong)過上位(wei)✂️機通訊(xun)将采集(ji)到的回(hui)波數據(ju)傳輸到(dao)MATLAB程序。MATLAB程(cheng)序首先(xian)根據回(hui)波相似(si)度計算(suan)定位到(dao)回波信(xin)号的特(te)征點,其(qi)次以特(te)征點爲(wei)基礎結(jie)合采樣(yang)頻率和(he)互相關(guan)法得到(dao)精度高(gao)的飛行(hang)時間差(cha)以及實(shi)時💛聲速(su)值,利🏃‍♀️用(yong)時差法(fa)計算式(shi)(1)得到瞬(shun)時流量(liang)值。
5實驗(yan)驗證
  爲(wei)評估方(fang)法法的(de)有效性(xing),采用壓(ya)力實驗(yan)驗證時(shi)間差測(ce)量❤️的穩(wen)定性,進(jin)而通過(guo)流量實(shi)驗驗證(zheng)整體算(suan)🔞法的精(jing)度。
5.1壓力(li)實驗研(yan)究
  裝置(zhi)如圖12所(suo)示,包括(kuo)氮氣鋼(gang)瓶和密(mi)封管路(lu)裝置等(deng)♌。選擇101kPa、200kPa、300kPa、400kPa及(ji)💚500kPa五🥰個壓(ya)力點進(jin)行相關(guan)的壓力(li)。
 
  采用本(ben)文的信(xin)号處理(li)方法和(he)基于TDC-GP22測(ce)量模塊(kuai)的傳統(tong)雙🥰阈值(zhi)☔法時差(cha)測量方(fang)法(TimeDifferenceMeasurementMethodbasedonTDC-GP22ModuleofDoubleThresholdMethod,TDM-DT)進行(hang)對比。由(you)于在測(ce)量過程(cheng)中時差(cha)值🏃🏻‍♂️難以(yi)直觀表(biao)示,而聲(sheng)速測量(liang)與時差(cha)測量均(jun)以飛行(hang)時間爲(wei)基礎,因(yin)♻️此在各(ge)個壓力(li)下比較(jiao)兩種方(fang)🥵法測量(liang)得🏃‍♂️到的(de)聲速值(zhi)與理論(lun)聲速值(zhi)來🌈間接(jie)驗證測(ce)量的穩(wen)定性,結(jie)果如表(biao)1所示。
 
  由(you)表1可知(zhi),使用基(ji)于回波(bo)相似度(du)進行特(te)征點定(ding)位的💜方(fang)法測得(de)🚩的5個壓(ya)力試驗(yan)點下聲(sheng)速值均(jun)與理論(lun)聲速❄️吻(wen)合🔆,最大(da)㊙️誤差僅(jin)爲-0.13m/s。而傳(chuan)統雙阈(yu)值法計(ji)算得到(dao)的聲速(su)在101.9kPa、203.2kPa及305.5kPa下(xia)與理論(lun)聲速吻(wen)合,但在(zai)405.2kPa壓力下(xia)與理論(lun)聲速産(chan)生明顯(xian)偏差,與(yu)此🛀同時(shi)壓力越(yue)大,偏差(cha)數值越(yue)大。而在(zai)509.5kPa下,聲速(su)測量值(zhi)與理論(lun)聲速差(cha)值高達(da)7.89m/s。實驗結(jie)果證♍明(ming)基于回(hui)波相似(si)度的特(te)征點定(ding)位信号(hao)處理方(fang)法能在(zai)不同🔞壓(ya)力下實(shi)現飛行(hang)時間差(cha)☔測量的(de)正确率(lü)。
5.2流量實(shi)驗研究(jiu)
  選用圖(tu)13所示精(jing)度等級(ji)爲0.25級的(de)LQB-1000臨界流(liu)文丘裏(li)音速💋噴(pen)嘴校準(zhun)裝置,采(cai)用管徑(jing)爲50mm的氣(qi)體超聲(sheng)流量測(ce)量系統(tong)樣機,流(liu)量範圍(wei)爲2m'/h~160m'/h。根據(ju)超聲流(liu)量計檢(jian)定規程(cheng)《JJG1030-2007超聲流(liu)量計》,選(xuan)☂️擇分界(jie)流量點(dian)💃爲16m2/h。各個(ge)流量檢(jian)定點爲(wei)Qmin、Qt、0.25Qmax、0.4Qmax、0.7Qmax,和Qmax,每個(ge)流量點(dian)測量90s。将(jiang)測量得(de)到的流(liu)量值和(he)标🆚準裝(zhuang)置的平(ping)均流量(liang)值進行(hang)比較,計(ji)算誤差(cha)并進行(hang)三次實(shi)驗來得(de)到重複(fu)性。基于(yu)TDM-SC與TDM-DT兩種(zhong)方法的(de)測量🈲結(jie)果如表(biao)2所示。
 
  表(biao)2數據表(biao)明,基于(yu)TDM-SC的氣體(ti)超聲流(liu)量測量(liang)系統測(ce)量誤差(cha)小❄️于✍️1%,重(zhong)複性優(you)于0.2%,符合(he)一級表(biao)的要求(qiu)。同時在(zai)大流量(liang)下,方法(fa)🔴依然🔴能(neng)保持低(di)于1%的測(ce)量誤差(cha)和良🛀🏻好(hao)的重複(fu)性。
 
6結論(lun)
  提出了(le)基于精(jing)度高時(shi)差的氣(qi)體超聲(sheng)流量測(ce)量方法(fa),該方法(fa)通🔞過回(hui)波相似(si)度評估(gu)對回波(bo)特征點(dian)進行準(zhun)确定👣位(wei),在特征(zheng)點基礎(chu)上結合(he)傳輸時(shi)間法與(yu)互相關(guan)法對時(shi)差進行(hang)粗、細兩(liang)次測量(liang)以得到(dao)準确的(de)時差值(zhi),最終實(shi)現精度(du)高的流(liu)量測量(liang)。 結果表(biao)明,該方(fang)法在100kPa至(zhi)500kPa的壓力(li)下能對(dui)時差進(jin)行🌈準确(que)測量。系(xi)統樣機(ji)的流量(liang)測量精(jing)度滿足(zu)1級精度(du)的要求(qiu),并在🐅大(da)流量下(xia)測量誤(wu)差和重(zhong)複性優(you)于傳統(tong)雙阈值(zhi)法。

本文(wen)來源于(yu)網絡,如(ru)有侵權(quan)聯系即(ji)删除!


下(xia)篇文章(zhang): 流量計(ji)在鑽井(jing)出口監(jian)測中的(de)對比 上(shang)篇文章(zhang): 分層注(zhu)聚合物(wu)井調用(yong)電磁流(liu)量計标(biao)定
 
江蘇(su)省速惠自动化制造有限公司是一(yi)家專業(ye)提供 渦(wo)街流量(liang)計 渦輪(lun)流量計(ji) 電磁流(liu)量計 的(de)企業,公(gong)司将以(yi)優質的(de)服務優(you)惠的價(jia)格,服務(wu)新老客(ke)戶。
 版權(quan)所有:江(jiang)蘇省速惠自动化制造有限公司       技(ji)術支持(chi)易品網(wang)絡

·