孔闆流(liu)量計計量(liang)分析
SKLG型
差(cha)壓式孔闆(pan)流量計
優(you)點是适用(yong)于較大口(kou)徑管道的(de)計量;結構(gou)簡單,安❄️裝(zhuang)容😍易;無可(ke)動部件,性(xing)能可靠,耐(nai)用;應用曆(li)史悠久,标(biao)準規定📱全(quan);SKLG型差壓式(shi)孔‼️闆流量(liang)計按标準(zhun)制造的孔(kong)闆不需要(yao)标定;價格(ge)便宜。SKLG型差(cha)壓式孔闆(pan)流量計缺(que)點:壓損大(da)時不适宜(yi)長輸管線(xian)計量;量程(cheng)比小;前🙇🏻後(hou)直管段要(yao)求長,占地(di)面積大;輸(shu)出信号爲(wei)模拟信🤩号(hao),重複性不(bu)高;對整套(tao)流量計的(de)精度影響(xiang)因素多且(qie)錯綜複雜(za),很難🌏提高(gao)測量精度(du)。
一、不确定(ding)度分析
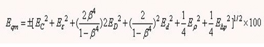
節(jie)流式差壓(ya)流量計不(bu)确定度計(ji)算式:
(1)式中(zhong);Eqm-流量相對(dui)不确定度(du),% ;EC,Eε,ED,Ed,Eρ,EΔp-分别爲C,ε,D,d,ρ,Δp的(de)相對不确(que)定度,%;β-直徑(jing)比,無量綱(gang)。
1.SKLG型
孔闆流(liu)量計計
算(suan)方程中描(miao)述流體流(liu)動狀态真(zhen)實性不确(que)定度因素(su)
多年來,我(wo)國的天然(ran)氣計量一(yi)直以體積(ji)流量爲結(jie)算🤞依據,即(ji)以一個大(da)氣壓(101.325kPa)下,20℃時(shi)的天然氣(qi)的量,對應(ying)的體積流(liu)量。根據标(biao)準,天然氣(qi)标準體積(ji)流量計算(suan)公式爲♋[2]
(2) 式(shi)中:qsc-标準狀(zhuang)态下天然(ran)氣體積流(liu)量,m3/s;As-秒計量(liang)系數,無量(liang)綱,As=3.1794×10-6;C-流出系(xi)數,無量綱(gang);E-漸近速度(du)系數,無量(liang)綱;d-孔闆開(kai)孔直徑,mm;FG-相(xiang)對密度系(xi)數,無量綱(gang);ε-可膨脹性(xing)系數,無量(liang)綱;F2-超壓縮(suo)因子,無量(liang)綱;FT-流動溫(wen)度系數,無(wu)量綱;p1-孔🏃♀️闆(pan)上遊側取(qu)壓孔氣流(liu)絕對靜🙇♀️壓(ya),MPa;Δp-氣流流經(jing)孔闆時🈲産(chan)生的差壓(ya),Pa。
流出系數(shu)C爲通過節(jie)流裝置的(de)實際流量(liang)值與理論(lun)流量值之(zhi)比🌈。它是在(zai)上遊直管(guan)段充分長(zhang)的實驗條(tiao)件下🈲,并且(qie)孔闆節流(liu)裝置在滿(man)足規定的(de)技術指标(biao)下進行🈲校(xiao)準标🐇定的(de),才具計量(liang)特性。
(3)式中(zhong): 直徑比,β=d/D;D值(zhi)的單位爲(wei)mm;當間距符(fu)合法蘭取(qu)壓方式時(shi), L1=L2=25.4/D;當✊間距符(fu)合角接取(qu)壓方式時(shi),L1=L2=0。
根據規範(fan),孔闆開孔(kong)直徑d、測量(liang)管内徑JD、直(zhi)徑比β和管(guan)🌍徑雷諾數(shu)ReD的極限值(zhi)應符合表(biao)1規定。
表1 孔(kong)徑、管内徑(jing)、直徑比和(he)雷諾數極(ji)限值表
|
法(fa)蘭取壓
|
角(jiao)接取壓
|
|
D≥12.5mm
|
D≥12.5mm
|
|
50m≤D≤1000mm
|
50m≤D≤1000mm
|
|
0.20≤β≤0.75
|
0.20≤β≤0.75
|
|
ReD≥1260β2D
|
ReD≥5000(用(yong)于0.20≤β≤0.45)ReD≥10000(用于β>0.45)
|
當(dang)氣流流束(shu)在孔闆前(qian)1D處充滿管(guan)道,且爲紊(wen)流狀态時(shi)🌏,流🔆出✏️系數(shu)C的百分誤(wu)差爲:當β≤0.6時(shi),爲±0.6%;當0.67πβ≤0.75時,爲(wei)±β%。
2.被測介質(zhi)實際物理(li)性質的不(bu)确定度因(yin)素
2.1 多相、非(fei)牛頓流體(ti)[3]~[5]
标準中要(yao)求流經流(liu)量計的流(liu)體必須是(shi)單相的牛(niu)頓💃🏻流體。但(dan)是在油氣(qi)田開采中(zhong)現場液體(ti)含有微粒(li)雜質💔或氣(qi)泡,氣體中(zhong)有液滴或(huo)固體微粒(li)是難以避(bi)免的,問題(ti)的關🆚鍵是(shi)這🐇些分散(san)相的含量(liang)多少會影(ying)🤩響到基本(ben)特性?确定(ding)這個界限(xian)是很重要(yao)的,未來界(jie)‼️限的試驗(yan)研究是流(liu)量計研制(zhi)的一個内(nei)容。
結果表(biao)明:(1)用孔闆(pan)流量計測(ce)量氣體流(liu)量,當氣體(ti)中夾㊙️帶少(shao)量體時,流(liu)量測量不(bu)确定度偏(pian)高,測量的(de)濕氣流量(liang)随β的增加(jia)而減少,在(zai)β比爲0.7時,測(ce)得的流量(liang)偏差爲-1.7% ;(2)當(dang)少量液體(ti)時,在β比爲(wei)0.5時表明孔(kong)闆性能較(jiao)好,但是将(jiang)夾帶在孔(kong)闆上遊脫(tuo)出💃,以獲得(de)計量性能(neng);(3)用舊的孔(kong)闆流量計(ji)測量濕氣(qi),流量計量(liang)值将降低(di)3%。
2.2 天然氣相(xiang)對密度的(de)影響
密度(du)參數是天(tian)然氣測量(liang)中極爲物(wu)性參數, 密(mi)度測量的(de)不準🈲确⛱️度(du)對整個測(ce)量系統的(de)不精度有(you)着很💰大影(ying)響。根據計(ji)量條件估(gu)算密度帶(dai)來的不确(que)定度:當儀(yi)表精度較(jiao)低運行在(zai)下限時,不(bu)确🥰定度爲(wei)±0.818%;反之🚩,不确(que)定度則在(zai)±0.793%,由此可見(jian)密度在流(liu)量測量中(zhong)至關🏃🏻♂️重要(yao),所以爲了(le)準确進行(hang)天然氣計(ji)量,選用在(zai)線色譜儀(yi)進行組分(fen)在線分析(xi)是十分必(bi)要的。
3.測量(liang)中重要設(she)備(如孔闆(pan)開孔直徑(jing)及直徑比(bi))的不确定(ding)度
規範規(gui)定,标準孔(kong)闆是由機(ji)械加工獲(huo)得的一塊(kuai)圓形🌈穿孔(kong)🐪的薄闆。它(ta)的節流孔(kong)圓筒形柱(zhu)面與孔闆(pan)上📞遊端面(mian)垂直,其邊(bian)緣是尖銳(rui)的, 孔闆厚(hou)與孔闆直(zhi)徑比是比(bi)較小的。孔(kong)闆在測量(liang)管内的部(bu)🔅分應該是(shi)圓的并與(yu)測量管軸(zhou)線同軸,孔(kong)闆的兩端(duan)面應始終(zhong)是平整的(de)和平行的(de)
3.1 孔闆偏心(xin)
根據GB2624-81規定(ding),孔闆應與(yu)節流裝置(zhi)中的直管(guan)段對中。實(shi)♻️驗表明,孔(kong)闆偏心引(yin)起的計量(liang)誤差一般(ban)在2%以内,孔(kong)徑比β值愈(yu)高,偏心率(lü)✉️影響愈大(da),應不用值(zhi)高的孔闆(pan)。
3.2 孔闆彎曲(qu)
由于安裝(zhuang)或維修不(bu)當。使孔闆(pan)發生彎曲(qu)或變形, 導(dao)⭕緻流量測(ce)量誤差較(jiao)大。在法蘭(lan)取壓的孔(kong)闆上進行(hang)測試,孔闆(pan)🙇♀️彎曲産生(sheng)✔️的最大誤(wu)差約爲3.5%,見(jian)圖1。
3.3 孔闆邊(bian)緣尖銳度(du)
孔闆入口(kou)邊緣磨損(sun)變鈍不銳(rui)或受腐蝕(shi)發生缺口(kou),或孔闆管(guan)道内部的(de)焊縫或計(ji)量法蘭墊(nian)片,都将使(shi)實際流量(liang)系數增大(da)和差壓降(jiang)低,造成計(ji)算氣量偏(pian)小。
二、提高(gao)計量精度(du)的措施
1.消(xiao)除氣流中(zhong)的脈動流(liu)
管道中由(you)于氣體的(de)流速和壓(ya)力發生突(tu)然變化,造(zao)🐪成🐆脈動流(liu),它能引起(qi)差壓的波(bo)動,而節流(liu)裝置的流(liu)量計算公(gong)式是💞以蘭(lan)孔闆的穩(wen)定流動爲(wei)基礎的,當(dang)測量點有(you)脈動🎯現象(xiang)時,穩定原(yuan)理不能成(cheng)立,從而影(ying)響測量精(jing)度,産生計(ji)量誤差。
脈(mo)流流量總(zong)不确定度(du)等于按GB/T2624-93計(ji)算的測量(liang)誤差與🏃🏻脈(mo)動附加不(bu)确定度的(de)合成。
(4)式中(zhong):ET-脈動附加(jia)不确定度(du),無量綱;
-軸(zhou)向時均速(su)度,m/s;
-速度脈(mo)動分量均(jun)方根值,m/s。(公(gong)式應用條(tiao)件
≤0.32) 因此,爲(wei)了保證天(tian)然氣計量(liang)精度,必須(xu)抑制脈動(dong)流。常用的(de)措🐉施㊙️有:
(1)在(zai)滿足計量(liang)能力的條(tiao)件下,應選(xuan)擇内徑較(jiao)小的測量(liang)管,提高差(cha)壓和孔徑(jing)比;
(2)采用短(duan)引壓管線(xian),減少管線(xian)中的阻力(li)件,并使上(shang)下遊管🌏線(xian)❌長度相等(deng),減少系統(tong)中産生諧(xie)振和壓力(li)脈動振🈲幅(fu)增🌈加;
(3)從管(guan)線中消除(chu)遊離液體(ti),管線中的(de)積液引起(qi)的脈動可(ke)采用自動(dong)清管系統(tong)或低處安(an)裝分液器(qi)來處理。
2.計(ji)量裝置的(de)設計安裝(zhuang)應符合規(gui)範
由于影(ying)響孔闆流(liu)量計測量(liang)精度的根(gen)本原因是(shi)節流裝置(zhi)👨❤️👨的幾何形(xing)狀和流動(dong)動态是否(fou)偏離設計(ji)标🐪準。因此(ci)在使用過(guo)程中必須(xu)定期做好(hao)系統的校(xiao)檢、維護工(gong)作,對于實(shi)際使用中(zhong)的壓力、溫(wen)度、流量等(deng)工況參數(shu)的🔆變化,應(ying)進行及時(shi)修正。可采(cai)用全補償(chang)的流量計(ji)算機的積(ji)算方案😄,以(yi)減少計量(liang)誤差,确保(bao)計量精度(du)。
3.避免人爲(wei)計量誤差(cha)
加強計量(liang)管理,提高(gao)操作人員(yuan)技術素質(zhi)。