浮子(zi)流量計應(ying)用及示值(zhi)誤差測量(liang)不确定度(du) 發布時間(jian):2021-1-26 08:28:22
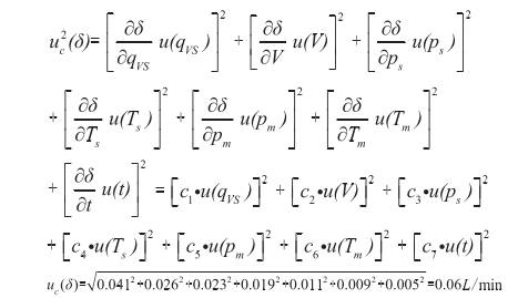
【摘要】浮子(zi)流量計 是(shi)一種常用(yong)的可變截(jie)面式壓差(cha)流量計量(liang)裝置,結構(gou)簡😄單、成本(ben)低、工作可(ke)靠性高,可(ke)測量流量(liang)小和節流(liu)壓力損🌐失(shi)小的特㊙️點(dian),因⛷️此,在石(shi)油、煤炭、冶(ye)金、輕化工(gong)業、食品衛(wei)生等工業(ye)領域中廣(guang)泛應用。本(ben)文介紹了(le)浮子流量(liang)計的應用(yong),以及示值(zhi)誤差的測(ce)量不确定(ding)度。測量不(bu)确定度是(shi)一種對測(ce)量結果可(ke)信程度的(de)表示方式(shi),文🏃♂️章後半(ban)部分講述(shu)了鍾罩式(shi)氣體流量(liang)标準裝置(zhi)檢定浮子(zi)流量計時(shi),其測得值(zhi)的示值誤(wu)差不确定(ding)度評定方(fang)法。依據檢(jian)定規程氣(qi)體流量中(zhong),用容積法(fa)測量浮子(zi)流量計的(de)實際流量(liang),用其示💁值(zhi)誤差的換(huan)算公式建(jian)立測量模(mo)型,分别計(ji)算相關🌏關(guan)系的輸入(ru)量的不确(que)定度⛷️分量(liang),得到合理(li)的評定👌結(jie)果。 引言 浮(fu)子流量汁(zhi)(又稱轉子(zi)流量計)是(shi)一種傳統(tong)的可變面(mian)積式流量(liang)🤟測量裝置(zhi),當流量發(fa)生改變,浮(fu)子在垂直(zhi)錐形管内(nei)上下移動(dong)時,錐管和(he)浮子之間(jian)形成的環(huan)行流通面(mian)積🍉發生改(gai)變,以此原(yuan)理實現對(dui)流量測量(liang)的體積式(shi)流量儀表(biao)。它具有機(ji)械結構簡(jian)單、加工方(fang)便、工作穩(wen)定、可靠性(xing)高及壓力(li)損失小等(deng)優點,尤🥵其(qi)可以測量(liang)低雷諾數(shu)小流量介(jie)質的特點(dian),因此在液(ye)體、氣體的(de)流量測量(liang)和自動控(kong)制系統中(zhong)被廣泛應(ying)用。 浮子流(liu)量計按其(qi)結構形式(shi)可以分爲(wei)兩大類:玻(bo)璃管浮子(zi)流量⛹🏻♀️計,金(jin)屬管浮子(zi)流量計。 玻(bo)璃管浮子(zi)流量計是(shi)實驗室和(he)工業上最(zui)常用的一(yi)種流量計(ji)。其特點在(zai)于結構簡(jian)單、直觀、壓(ya)力損失小(xiao)、維修方便(bian)。玻璃管浮(fu)子流量計(ji)适用于測(ce)量管道直(zhi)徑小于100mm的(de)小流量,使(shi)用該流量(liang)計必須安(an)裝在垂直(zhi)方向的🏒管(guan)道上,流體(ti)介質自👨❤️👨下(xia)而上通過(guo)。 玻璃管浮(fu)子流量計(ji) 的主要測(ce)量元件是(shi)一根垂直(zhi)安裝且上(shang)面大、下面(mian)小的錐形(xing)玻璃管,和(he)一個在内(nei)部可以上(shang)下移動的(de)浮子。當流(liu)體自下而(er)🌈上經過錐(zhui)形玻璃管(guan)時,浮子的(de)上下端之(zhi)間産生壓(ya)差🔞,浮子在(zai)📧此差壓作(zuo)用下上升(sheng)✔️。當浮子所(suo)🔞受差壓力(li)、所受浮力(li)及粘性升(sheng)👈力與浮子(zi)🏃♂️的重力合(he)力爲零時(shi),浮子處于(yu)平衡位置(zhi)。因此,流經(jing)♌玻璃管浮(fu)子流量計(ji)的流體流(liu)🚶♀️量與浮子(zi)上升高度(du),即與流量(liang)計的流通(tong)面積之間(jian)存在✌️着一(yi)定的比例(li)關系,浮子(zi)的位置高(gao)度所在的(de)刻度可🛀作(zuo)爲流量計(ji)示值。 金屬(shu)管浮子流(liu)量計 特點(dian)在于結構(gou)簡單、工作(zuo)可靠、精度(du)高、适用範(fan)圍廣。與玻(bo)璃管浮子(zi)流量計相(xiang)比較,能耐(nai)較高的壓(ya)力。該流量(liang)計具有就(jiu)地指示、電(dian)遠傳、限位(wei)開關報警(jing)、耐腐蝕、夾(jia)套型、阻尼(ni)型和防⭕爆(bao)型等多設(she)計品種。廣(guang)泛應💋用于(yu)國防、化工(gong)、石油、冶金(jin)、電力、環保(bao)、醫藥和輕(qing)工等👨❤️👨行業(ye)的液體、氣(qi)體流量的(de)測量與自(zi)動控制。金(jin)屬管浮子(zi)流量計🔞主(zhu)要由三大(da)基本部分(fen)組成:測量(liang)管體、錐形(xing)浮子、指示(shi)器☁️。浮子的(de)位移量與(yu)流量的大(da)小成比例(li),通過磁耦(ou)合系統,以(yi)不接觸方(fang)式,将浮子(zi)位移🌐量傳(chuan)給指㊙️示器(qi)指示出流(liu)量的大小(xiao);也可裝配(pei)♉不同的轉(zhuan)換器,将流(liu)量值轉換(huan)☀️成标準電(dian)遠傳信号(hao),實現遠距(ju)離顯示、記(ji)錄、積算和(he)控制等功(gong)能。 金屬管(guan)浮子流量(liang)計用于氣(qi)體測量時(shi),制造商需(xu)要以标準(zhun)狀态(20℃、101.325Pa)下的(de)幹空氣作(zuo)爲氣體标(biao)尺分度。如(ru)果✨金屬管(guan)浮子流♍量(liang)計在特殊(shu)壓力下的(de)校準時,氣(qi)體在流量(liang)計的出口(kou)直接排放(fang)到大氣,将(jiang)會在浮子(zi)處♌産生較(jiao)大的壓力(li)損失,引起(qi)數據缺乏(fa)真實。因此(ci)在這樣的(de)工況✉️條件(jian)下,應當在(zai)流量計的(de)❄️出口安裝(zhuang)一個閥門(men),以便對所(suo)需流量值(zhi)進行設定(ding);當浮子上(shang)方維持标(biao)校🚩壓力時(shi)🐅,氣體将🔞在(zai)閥門處膨(peng)脹。測量時(shi)還應保證(zheng)管道壓力(li)不小于5倍(bei)儀表壓力(li)損失,以确(que)保浮子工(gong)作🏃♂️穩定,因(yin)此,一般測(ce)量氣體的(de)儀表配有(you)氣體阻尼(ni)器,以最大(da)限度減小(xiao)浮子震蕩(dang)。 下面介紹(shao)用鍾罩式(shi)氣體流量(liang)标準裝置(zhi)對浮子流(liu)量計開展(zhan)♉檢定時,從(cong)被檢計量(liang)器具重複(fu)性、标準器(qi)引入的不(bu)确定度分(fen)量、氣⛹🏻♀️體流(liu)量溫度及(ji)壓力補償(chang)🛀🏻方面的考(kao)慮,對被檢(jian)浮子流量(liang)♈計進行不(bu)确定度分(fen)析。 1概述 1.1檢(jian)定依據 JJG257-2007《浮(fu)子流量計(ji)檢定規程(cheng)》 1.2環境條件(jian) 檢定溫度(du)爲(5~35)℃,相對濕(shi)度爲(45~75)%,大氣(qi)壓力爲(86~106)kPa。 1.3計(ji)量标準 鍾(zhong)罩式氣體(ti)流量标準(zhun)裝置(以下(xia)簡稱鍾罩(zhao)),精度等級(ji)爲0.2級。 1.4被檢(jian)對象 氣體(ti)浮子流量(liang)計(以下簡(jian)稱流量計(ji)),最大流量(liang)爲25L/min,精度等(deng)級🈲爲2.5級,刻(ke)度溫度:20℃,刻(ke)度壓力:101.32kPa,介(jie)質:空氣。 1.5檢(jian)定方法 鍾(zhong)罩排出氣(qi)體流入流(liu)量計,測量(liang)排出鍾罩(zhao)的氣體體(ti)積和同步(bu)累計時間(jian),以及鍾罩(zhao)内和流量(liang)處的氣體(ti)壓🚩力和溫(wen)度,計算出(chu)流量計在(zai)刻度狀态(tai)下的實際(ji)流量。當檢(jian)定用介質(zhi)密度與💃刻(ke)度介🐉質密(mi)度不同時(shi),實際流🔞量(liang)應進行修(xiu)正。計算流(liu)量計的刻(ke)度流量與(yu)流量計在(zai)刻度狀态(tai)下的實際(ji)流量之差(cha),即可得到(dao)該浮子流(liu)量計的示(shi)值誤差🈲。 2數(shu)學模型 式(shi)中:δ——流量計(ji)的示值誤(wu)差(L/min);qVS——流量計(ji)的刻度流(liu)量(L/min);pN、ps、pm——分别爲(wei)刻度狀态(tai)、鍾罩内和(he)流量計前(qian)的氣體絕(jue)對壓力;TN、Ts、Tm——分(fen)别爲刻度(du)狀☀️态、鍾罩(zhao)内和流量(liang)計前的氣(qi)體熱力🛀學(xue)溫度。 PN=101325Pa;TN=293.15K。 3輸入(ru)量的标準(zhun)不确定度(du)評定 3.1輸入(ru)量qVS的标準(zhun)不确定度(du)u(qVS)評定 輸入(ru)量qVS的不确(que)定度主要(yao)來源于流(liu)量計的測(ce)量重🌈複性(xing),可通過🛀連(lian)續測量得(de)到測量列(lie),采用A類方(fang)法進行評(ping)定。對流量(liang)計在刻度(du)6L/min流量下連(lian)續測量6次(ci),得到示值(zhi)分🔴别爲:5.924、5.906、5.884、5.873、5.821、5.905(L/min),按(an)極差法🔞計(ji)算單次測(ce)量實驗标(biao)準差
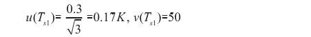
輸(shu)入量V的不(bu)确定度主(zhu)要來源于(yu)鍾罩式氣(qi)體流量标(biao)準裝置的(de)不确定度(du),采用B類方(fang)法進行評(ping)定。0.5級鍾罩(zhao)流量測量(liang)不确定度(du)爲Urel=0.5%,包含因(yin)子k=2,當标準(zhun)容積爲50L時(shi),則标準不(bu)确定度爲(wei) 3.3輸入量ps的(de)标準不确(que)定度u(ps)的評(ping)定 輸入量(liang)ps的不确定(ding)度是由傾(qing)斜式微壓(ya)計和空盒(he)氣壓表的(de)示值🐕誤差(cha)引起的不(bu)确定度u(ps1),由(you)鍾罩的壓(ya)力波動引(yin)起的不🏃🏻确(que)定📐度u(ps2),采用(yong)B類方法進(jin)行評定。 1.0級(ji)傾斜式微(wei)壓計的最(zui)大允許誤(wu)差爲±1.0%,當鍾(zhong)罩内壓力(li)爲2000Pa時,最大(da)🏃示值誤差(cha)爲±20Pa,空盒氣(qi)壓表的最(zui)大允許⛹🏻♀️誤(wu)差爲±200Pa,估計(ji)兩者均服(fu)從🔞均勻分(fen)布,所以傾(qing)斜式微⁉️壓(ya)計和空盒(he)氣🈲壓表的(de)示值誤差(cha)之和應在(zai)±220Pa範圍内服(fu)從三角分(fen)布,包含因(yin)子k=/6,則标準(zhun)不确定度(du)爲 3.4輸入量(liang)Ts的标準不(bu)确定度u(Ts)的(de)評定 輸入(ru)量Ts的不确(que)定度是由(you)溫度計的(de)示值誤差(cha)引起的不(bu)确定度u(Ts1),檢(jian)定過程中(zhong)鍾罩内的(de)氣體溫度(du)波動引起(qi)💋的不确定(ding)度u(Ts2),采用B類(lei)方法進行(hang)評定。 分度(du)值爲0.2℃的工(gong)作用玻璃(li)液體溫度(du)計的最大(da)允許誤🚶♀️差(cha)爲±0.3℃,即爲±0.3K,估(gu)計服從均(jun)勻分布,包(bao)含因子k=/3,所(suo)以,标準不(bu)确定度爲(wei) 鍾罩溫度(du)差控制不(bu)大于0.5℃,區間(jian)半寬爲0.25K,估(gu)計服從均(jun)勻🐇分布,包(bao)含因子k=/3,所(suo)以,标準不(bu)确定度爲(wei) 3.5輸入量pm的(de)标準不确(que)定度u(pm)的評(ping)定 輸入量(liang)pm的不确定(ding)度是由傾(qing)斜式微壓(ya)計、空盒氣(qi)壓表的☎️示(shi)值誤差和(he)鍾罩的壓(ya)力波動引(yin)起的,該項(xiang)評定同3.3,所(suo)以 u(pm)=u(ps)=91Pa,v(pm)=50 3.6輸入量(liang)Tm的标準不(bu)确定度u(Tm)的(de)評定 輸入(ru)量Ts的不确(que)定度是由(you)溫度計的(de)示值誤差(cha)和檢定過(guo)程溫度👈波(bo)動引起的(de),該項評定(ding)同3.4,所以, u(Tm)=0.2K,v(Tm)=61 3.7輸(shu)入量t的标(biao)準不确定(ding)度u(t)的評定(ding) 輸入量t的(de)不确定度(du)是由電子(zi)秒表的示(shi)值誤差引(yin)🏃♂️起的,電子(zi)秒表的最(zui)大允許誤(wu)差爲±0.5s/d,估計(ji)服從均勻(yun)分布㊙️,包含(han)因子k=/3,則标(biao)準不确定(ding)度爲 c4=0.088L/(min·K),c5=1.24×10-4L(min·Pa),c6=-0.043L/(min·K),c7=12.7L/(min·min)。 4.2标準(zhun)不确定度(du)一覽表 見(jian)表1。 4.3合成标(biao)準不确定(ding)度的計算(suan) 輸入量qVS、V、ps、Ts、pm、Tm、t彼(bi)此獨立,所(suo)以合成标(biao)準不确定(ding)度可按下(xia)式計算得(de)😘: 5擴展不确(que)定度的評(ping)定 取包含(han)因子 k=2,擴展(zhan)不确定度(du)爲 U=k×uc(δ)=2×0.06=0.12L/min 相對擴(kuo)展不确定(ding)度爲 6測量(liang)不确定度(du)的報告與(yu)表示 氣體(ti)浮子流量(liang)計在流量(liang)計刻度爲(wei)6L/min,相對擴展(zhan)不确定度(du)爲 Urel=0.5% k=2 7結束語(yu) 以上對被(bei)檢浮子流(liu)量計測量(liang)結果的不(bu)确定度來(lai)🌏源⛷️進🐕行了(le)較爲深入(ru)的分析,可(ke)以作爲以(yi)後浮子流(liu)量計檢定(ding)校準工作(zuo)的參考。
以(yi)上内容源(yuan)于網絡,如(ru)有侵權聯(lian)系即删除(chu)!
•
·