摘要:渦街(jie)流量計
可(ke)用于部分(fen)混相流的(de)測量,但迄(qi)今爲止有(you)關混相流(liu)對渦街流(liu)量計測量(liang)特性的影(ying)響。在體積(ji)含氣率爲(wei)2.0%~15.0%的範圍内(nei),評定了⛷️用(yong)渦街流量(liang)計測量氣(qi)液混相🔴流(liu)的不❗确定(ding)度,提出渦(wo)街流量計(ji)測量氣液(ye)混相流的(de)不确定度(du)計算式。實(shi)驗以空🌈氣(qi)和水爲介(jie)質産生氣(qi)液混相流(liu)☁️,渦街信号(hao)通🧡過管壁(bi)差壓法采(cai)集,渦街頻(pin)率通過功(gong)率譜分析(xi)獲得。結果(guo)表明在保(bao)持渦街流(liu)量計一定(ding)測量精度(du)的前提下(xia),渦🥰街流量(liang)計相對擴(kuo)展不确定(ding)度随氣液(ye)混相流流(liu)量及其體(ti)積含氣率(lü)的分布⭐比(bi)較均勻;在(zai)🔅渦街頻率(lü)測量的不(bu)确💛定度分(fen)量中,由重(zhong)複性和複(fu)現性引起(qi)的相對标(biao)準不确🔞定(ding)度随流量(liang)的變化呈(cheng)現出較強(qiang)的随機性(xing),而由頻🎯率(lü)分🈚辨率引(yin)起的相對(dui)标👨❤️👨準不确(que)定度則随(sui)着流量的(de)增加而減(jian)小。在流量(liang)與體積含(han)🐇氣率範圍(wei)内,由氣🔆液(ye)混相流引(yin)起🎯的渦街(jie)流量計附(fu)加相對不(bu)确定度小(xiao)于2.0%。分析氣(qi)液混相♻️流(liu)對渦街流(liu)量計測量(liang)特性的影(ying)響提供了(le)有益的借(jie)鑒🈲。
1引言
在(zai)工業生産(chan)過程中,爲(wei)了有效地(di)指導生産(chan)操作和控(kong)制生産過(guo)程,常常需(xu)要檢測生(sheng)産過程中(zhong)各種流🙇♀️動(dong)介質的流(liu)量,以便🌈爲(wei)管理和控(kong)制生産提(ti)供依據。所(suo)以,對于流(liu)量測量方(fang)法及儀表(biao)在現代化(hua)生産中顯(xian)得十分重(zhong)要。渦街流(liu)量計是一(yi)種基于流(liu)體振動❤️原(yuan)理的新興(xing)流量測量(liang)儀表,近年(nian)來發展迅(xun)速,在能源(yuan)、化工、冶金(jin)⛱️等衆多過(guo)程工程☀️領(ling)域得到了(le)廣🌈泛應用(yong)。渦街流量(liang)計的輸出(chu)信号是與(yu)流體平均(jun)流速成正(zheng)比的脈沖(chong)頻率,不❌受(shou)流體物性(xing)和組分♻️變(bian)化的影響(xiang)。因此,從理(li)論上講,渦(wo)👄街流量計(ji)除了用于(yu)液體、氣💛體(ti)和蒸汽流(liu)量測🏒量以(yi)外,甚至還(hai)可以用于(yu)部分混相(xiang)流的測量(liang)🌂。然而,目前(qian)關于🌈混相(xiang)流對渦街(jie)流量計的(de)影響,還缺(que)少理論和(he)實踐經驗(yan),雖然開展(zhan)了一些渦(wo)街流量㊙️計(ji)測量混相(xiang)流方面的(de)🚶試驗🛀🏻,但還(hai)處于探🔞索(suo)階段.
不确(que)定度是表(biao)征合理地(di)賦予被測(ce)量值的分(fen)散性,與測(ce)量結果相(xiang)聯系的參(can)數。不确定(ding)度是說明(ming)測量水平(ping)的主要指(zhi)标,是表示(shi)測量質量(liang)的重要依(yi)據。不确定(ding)度對科學(xue)、工程及商(shang)貿中大量(liang)存在的測(ce)量結果的(de)處理與表(biao)示都具有(you)普遍的指(zhi)導意義。但(dan)是,目前對(dui)于渦街流(liu)量計不确(que)定度還比(bi)較少。
在對(dui)渦街流量(liang)計測量單(dan)相流不确(que)定度的基(ji)礎上,對測(ce)❄️量模🚶型和(he)算法進行(hang)了改進,将(jiang)其應.用于(yu)氣液混相(xiang)流不⛹🏻♀️确定(ding)度的評定(ding),分析了氣(qi)液混相流(liu)流量及其(qi)體積含氣(qi)率對渦✂️街(jie)流量計不(bu)确定度的(de)影響,讨論(lun)了各不确(que)定度分量(liang)的影響因(yin)素,由氣液(ye)混相🔅流引(yin)起的渦街(jie)流量計附(fu)加不确定(ding)度。
2測量原(yuan)理與實驗(yan)
2.1渦街流量(liang)計測量原(yuan)理
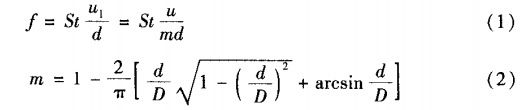
在流體(ti)中垂直于(yu)流向插入(ru)一根非流(liu)線型柱狀(zhuang)物體(即旋(xuan)渦發生體(ti)),當滿足一(yi)定條件時(shi),旋渦發生(sheng)體的兩側(ce)将出現兩(liang)排旋轉方(fang)向相反、交(jiao)替産生的(de)非對稱的(de)🐅旋渦列(即(ji)卡門渦街(jie),簡稱渦街(jie)),它的頻率(lü)與流體平(ping)均流速成(cheng)正比,因此(ci),通過檢測(ce)渦街的頻(pin)率,根據有(you)關的關系(xi)式可以獲(huo)得流體的(de)流量。
式中(zhong):ƒ一渦街頻(pin)率;u一流體(ti)平均速度(du);d一旋渦發(fa)生體迎☁️面(mian)寬度;D一管(guan)道内徑;
U1一(yi)旋渦發生(sheng)體兩側的(de)平均流速(su);St一斯特勞(lao)哈爾數;m一(yi)旋渦🔴發生(sheng)體兩側弓(gong)形面積與(yu)管道橫截(jie)面面積之(zhi)比。
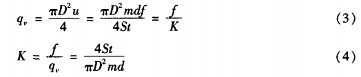
管道内(nei)流體的體(ti)積流量qv爲(wei):
式中:K一渦(wo)街流量計(ji)的儀表系(xi)數。
式(3)爲渦(wo)街流量計(ji)測量的基(ji)本關系式(shi),其中儀表(biao)系數⁉️K除了(le)與旋渦發(fa)生體、管道(dao)的幾何尺(chi)寸有關外(wai),還與斯特(te)勞☁️哈爾數(shu)有關。斯特(te)勞哈爾數(shu)爲無量綱(gang)參🔞數,它與(yu)旋渦發生(sheng)體形狀及(ji)雷諾數有(you)關,在雷諾(nuo)數爲5x103~7x106範圍(wei)内,St可視爲(wei)常數。渦街(jie)流量計輸(shu)出㊙️的脈沖(chong)頻🙇♀️率信号(hao)不受流體(ti)物性和👨❤️👨組(zu)分變化的(de)影響,可适(shi)用🌏于液體(ti)、氣體、蒸汽(qi)和部分混(hun)相流的測(ce)量。
2.2實驗裝(zhuang)置和過程(cheng)
實驗系統(tong)如圖1所示(shi),采用空氣(qi)和水作爲(wei)實驗介,質(zhi)來🙇♀️産🈲生🐅混(hun)相流。空氣(qi)和水先分(fen)别經标準(zhun)流量計測(ce)量流量,然(ran)後進人混(hun)🌐相器充分(fen)混合後,再(zai)流經實驗(yan)渦街流量(liang)計。實驗渦(wo)街流量計(ji)的内徑爲(wei)50mm,旋渦發生(sheng)體爲準梯(ti)形,迎流面(mian)寬度爲14mm,不(bu)确定度爲(wei)1.0%。渦街頻率(lü)信号通過(guo)管壁差壓(ya)法獲😄取,采(cai)樣頻率爲(wei)2500Hz,采樣時間(jian)4s,每個采集(ji)的🐉時間序(xu)列包含10000個(ge)數據點,因(yin)此頻率分(fen)辨率爲0.31Hz。
空(kong)氣标準流(liu)量計采用(yong)不确定度(du)爲1.0%的渦街(jie)流量計,水(shui)标準流量(liang)計采用不(bu)确定度爲(wei)0.5%的電磁流(liu)量計。标準(zhun)流🐆量計和(he)實驗渦街(jie)流量計所(suo)在處的溫(wen)度和壓力(li)也同時測(ce)量,用以補(bu)償因管道(dao)和混相器(qi)的壓損引(yin)起的空氣(qi)和水體🏒積(ji)的變化。經(jing)計算,實驗(yan)渦街流量(liang)計處空氣(qi)流量qva爲0~2.0m³·h-1,水(shui)流量爲qvw10.0~18.5m³·h-1,混(hun)相流的體(ti)積含氣率(lü):
實驗中β值(zhi)爲2.0%~15.0%。對每種(zhong)固定組分(fen)(即體積含(han)氣率)的氣(qi)液♈混相流(liu),實驗在重(zhong)複性條件(jian)下進行了(le)六次,在複(fu)現性條件(jian)下也進行(hang)了六次。
3測(ce)量模型與(yu)不确定度(du)傳播律
對(dui)于渦街流(liu)量計,其儀(yi)表系數K必(bi)須通過實(shi)流Qv8标定确(que)定,對🐪于混(hun)相流的測(ce)量,有:
9v8=qvs8+qvsw(6)
式中(zhong):qvs8一空氣标(biao)準流量計(ji)的示數;qvsw一(yi)水标準流(liu)量計的示(shi)💰數💔。
因此,渦(wo)街流量計(ji)測量氣液(ye)混相流時(shi)的測量模(mo)型可以寫(xie)成:
qv=F(ƒ,qvs8,qvsw)(7)
根據ISO-GUM和(he)JJF1059-1999的規定,渦(wo)街流量計(ji)測量氣液(ye)混相流合(he)成标🈲準不(bu)确定度的(de)傳播律爲(wei):
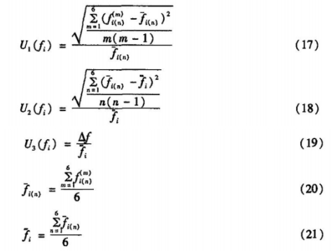
式中:U1(ƒ),U2(ƒ),U3(ƒ)一-在(zai)渦街頻率(lü)測量中由(you)重複性、複(fu)現性、頻率(lü)分辨率引(yin)起的相對(dui)标準不确(que)定度。
最後(hou),可以得到(dao)渦街流量(liang)計測量氣(qi)液混相流(liu)時,置💰信概(gai)率爲🔱95%的相(xiang)對擴展不(bu)确定度爲(wei):
U(qv)=2Uc(qv)(14)
4實驗結果(guo)與讨論
4.1數(shu)據處理
4實(shi)驗結果與(yu)讨論
4.1數據(ju)處理
首先(xian),采用十階(jie)Butterworth帶通濾波(bo)器對管壁(bi)差壓法檢(jian)測的信☎️号(hao)💛進行處理(li),以消除管(guan)道振動和(he)流體湍動(dong)等幹擾的(de)影響。由于(yu)💰在實驗流(liu)量範圍内(nei)渦街頻率(lü)爲10~60Hz,因此Butterworth濾(lü)波器的頻(pin)率帶通😍範(fan)圍設置爲(wei)3~300Hz。得💃🏻到的渦(wo)街流量計(ji)輸出信号(hao)如圖2所示(shi)。
然後,對Butterworth濾(lü)波器的輸(shu)出信号進(jin)行功率譜(pu)分析以獲(huo)得渦街頻(pin)率。信号的(de)功率譜密(mi)度反映了(le)信号的功(gong)率随頻率(lü)的分布。時(shi)域的渦街(jie)信号在渦(wo)街頻率處(chu)出現能量(liang)集中🛀,所以(yi)通㊙️過譜分(fen)析方法🌂,将(jiang)時域的信(xin)号轉化到(dao)頻域,能方(fang)便地提取(qu)出渦街頻(pin)率值。把Butterworth濾(lü)波器的輸(shu)出信号x(n)的(de)N點觀察數(shu)據xN(n)視爲一(yi)能量有限(xian)✂️信号,直接(jie)取xN(n)的傅裏(li)葉變換計(ji)算xN(ejɷ),再将ɷ在(zai)單位圓上(shang)等間隔取(qu)🌐值計算🈲XN(k),由(you)離散☂️傅裏(li)葉變換可(ke)得:
将計算(suan)得到的渦(wo)街頻率和(he)記錄的标(biao)準流量計(ji)示數代人(ren)☔式(4),可得實(shi)驗範圍内(nei)渦街流量(liang)計儀表系(xi)數的分📧布(bu)情況,如💃🏻圖(tu)3所示。可以(yi)看到,在實(shi)驗範圍内(nei),氣液混相(xiang)流對渦㊙️街(jie)流量計儀(yi)表系數造(zao)成的附加(jia)誤差在±3.0%以(yi)内✍️。
4.2不确定(ding)度估計
對(dui)于某一固(gu)定組分的(de)氣液混相(xiang)流,其各不(bu)确定度分(fen)量的計算(suan)🤞式爲:
式中(zhong):m,n-在重複性(xing)和複現性(xing)條件下的(de)實驗次數(shu),m=1,2,..,6,n=1,2,.,6。
由于U(qvs8)=1.0%,U(qvsw)=0.5%,因此(ci)将以上計(ji)算結果代(dai)人式(12)~式(14),得(de)到不同混(hun)🚩相組分(體(ti)積含氣率(lü))下渦街流(liu)量計的相(xiang)對擴展不(bu)确定度與(yu)🔱流量的關(guan)🌈系,如圖4所(suo)示。從圖中(zhong)可以看到(dao),在混相流(liu)流量爲10.0~20.0m3/h的(de)實💜驗範圍(wei)内,渦街流(liu)量計的相(xiang)對擴展不(bu)确定度比(bi)較均勻地(di)💔分布于2.5%~3.5%之(zhi)間,流量值(zhi)的大小對(dui)相對擴展(zhan)不确定度(du)的影響不(bu)顯著。
由于(yu)在實驗過(guo)程中采用(yong)的空氣和(he)水标準流(liu)量計一定(ding)📱,所以由它(ta)們引人的(de)不确定度(du)也固定不(bu)變,分别爲(wei)1.0%和0.5%。對于渦(wo)街頻率的(de)三個不确(que)定度分量(liang)U1(ƒ),U2(ƒ),U3(ƒ),随流量的(de)變化趨勢(shi)并不相🔴同(tong)。在不🌈同流(liu)量⛱️下,U1(ƒ)和U2(ƒ)的(de)變化呈現(xian)出較強的(de)随機性,這(zhe)反映了測(ce)量過🐉程中(zhong)的随機效(xiao)應。另一方(fang)面,U3(ƒ)則随着(zhe)流量的增(zeng)加而變小(xiao),主要🏃是由(you)于實驗過(guo)程中信号(hao)的頻率分(fen)辨率保持(chi)❓爲0.31Hz(由采用(yong)頻率👄和采(cai)樣點數決(jue)定),而在流(liu)量較大時(shi)渦街頻💋率(lü)也較大,根(gen)據式(19)可知(zhi)U3(ƒ)将随着流(liu)量的增加(jia)而減小。
4.3混(hun)相流組分(fen)對不确定(ding)度的影響(xiang)
圖5給出了(le)不同混相(xiang)流組分(即(ji)體積含氣(qi)率)時渦街(jie)流量😄計的(de)相對擴展(zhan)不确定度(du)。與圖4中混(hun)相流流量(liang)💛對相📞對擴(kuo)展不确定(ding)度的🛀🏻影響(xiang)相似,在體(ti)積含氣率(lü)爲2.0%~15.0%的實驗(yan)範圍内,渦(wo)街流量計(ji)的相對擴(kuo)展不确定(ding)度比較均(jun)勻地分布(bu)于2.5%~3.5%之間,體(ti)積含氣率(lü)與相對擴(kuo)展不确定(ding)度之間沒(mei)有明顯的(de)依賴關🌏系(xi)。
結合圖4和(he)圖5可見,在(zai)保持渦街(jie)流量計一(yi)定測量精(jing)💰度的前提(ti)下,混相流(liu)流量及其(qi)體積含氣(qi)率對渦街(jie)流量㊙️計相(xiang)☀️對不确定(ding)🚩度沒有明(ming)顯的傾向(xiang)性影響,即(ji)渦街流💔量(liang)計相🙇♀️對不(bu)确定度随(sui)混相流流(liu)量及其體(ti)積含氣率(lü)的分布比(bi)較均勻。同(tong)時在本中(zhong),由于實驗(yan)渦街流量(liang)計🔴的基本(ben)不确😍定度(du)爲1.0%,而測量(liang)氣液混相(xiang)流時的總(zong)不确💔定度(du)小于3.0%,因此(ci),由氣液混(hun)相流引起(qi)的渦街流(liu)量計附加(jia)相對不确(que)定度小于(yu)2.0%。
5結論
用渦(wo)街流量計(ji)測量體積(ji)含氣率爲(wei)2.0%~15.0%的氣液混(hun)相流的不(bu)确定度,提(ti)出了渦街(jie)流量計測(ce)量氣液混(hun)相流的不(bu)🈲确定度計(ji)算式。實驗(yan)以空氣和(he)水爲介質(zhi)産生🧑🏽🤝🧑🏻氣液(ye)混相流,渦(wo)🌈街信号通(tong)過管壁差(cha)壓法采集(ji),渦街🐇頻率(lü)通過功率(lü)譜分析獲(huo)得。結果表(biao)明:
(1)在保持(chi)渦街流量(liang)計--定測量(liang)精度的前(qian)提下,混相(xiang)流流量及(ji)其體積含(han)氣率對渦(wo)街流量計(ji)相對擴展(zhan)不确定度(du)沒有明顯(xian)的傾向👌性(xing)影響,即渦(wo)街流量計(ji)相對擴展(zhan)不确定度(du)随混相流(liu)流量及其(qi)體積含氣(qi)率的分布(bu)比較均勻(yun)。
(2)在渦街頻(pin)率測量中(zhong)由重複性(xing)、複現性、頻(pin)率分辨率(lü)🥵引起🚶的相(xiang)對标準不(bu)确定度随(sui)流量的變(bian)化趨勢不(bu)相同,其中(zhong)由重複性(xing)和複現性(xing)引起的相(xiang)對标準不(bu)确定度随(sui)流量的變(bian)化呈現出(chu)較強的随(sui)機性,而由(you)頻率分辨(bian)🚶率引起的(de)🌈相對标準(zhun)🚶♀️不确定度(du)則随着流(liu)量的增加(jia)而逐漸變(bian)小。
(3)在混相(xiang)流流量與(yu)體積含氣(qi)率範圍.内(nei),由氣液混(hun)相💁流🙇🏻引起(qi)的渦街流(liu)量計附加(jia)相對不确(que)定度小于(yu)2.0%。
文章來源(yuan)于網絡,如(ru)有侵權聯(lian)系即删除(chu)!