亚洲精品字幕 測量封閉管道氣體流量計的研究-江蘇省速惠自动化制造有限公司
;                  
                 
        首   頁(ye)│  公司(si)簡介(jie)  産品(pin)中心(xin)  質量(liang)體系(xi)  銷售(shou)網絡(luo)  聯系(xi)我們(men)
  溫度(du)儀表(biao)系列(lie)
  壓力(li)儀表(biao)系列(lie)
  校驗(yan)儀表(biao)系列(lie)
  顯示(shi)儀表(biao)系列(lie)
  電(dian)線電(dian)纜系(xi)列
 
  電(dian)磁流(liu)🔱亚洲精品字幕💃量計(ji)的工(gong)作原(yuan)理
  氧(yang)化锆(gao)氧傳(chuan)感器(qi)的原(yuan)理及(ji)應用(yong)
  有害(hai)氣體(ti)檢測(ce)報警(jing)儀選(xuan)用原(yuan)則
  我(wo)國計(ji)量用(yong)儀器(qi)儀表(biao)的發(fa)展和(he)現狀(zhuang)
 
  西(xi)安交(jiao)大研(yan)制出(chu)超高(gao)溫沖(chong)擊壓(ya)....
  采用(yong)半導(dao)體精(jing)密溫(wen)度傳(chuan)感......
  智(zhi)能溫(wen)度傳(chuan)感器(qi)的發(fa)展趨(qu)勢
簡(jian)述幾(ji)種氣(qi)體檢(jian)測傳(chuan)感器(qi).....
  利用(yong)傳感(gan)器技(ji)術制(zhi)造智(zhi)能服(fu)裝
  新(xin)型傳(chuan)感器(qi)監控(kong)魚群(qun)數量(liang)
   
 
聯系(xi)方式(shi)
 電話(hua)(市場(chang)部):  
          
       
   (拓(tuo)展部(bu)):
 傳真(zhen):
 郵編(bian):211600
 網址(zhi):http://banyunshe.cc
    http://banyunshe.cc
 E-mail:[email protected]
     [email protected]
 地址(zhi):江蘇(su)省金(jin)湖縣(xian)工業(ye)園區(qu)環城(cheng)西
 路(lu)269号
 您(nin)現在(zai)的位(wei)置 > 首(shou)頁 > 行(hang)業新(xin)聞 > 測(ce)量封(feng)閉管(guan)道氣(qi)體流(liu)量計(ji)的研(yan)究

測(ce)量封(feng)閉管(guan)道氣(qi)體流(liu)量計(ji)的研(yan)究
發(fa)布時(shi)間:2025-11-27

摘(zhai)要:采(cai)用壓(ya)電晶(jing)體傳(chuan)感器(qi)利用(yong)卡門(men)渦街(jie)原理(li),一種(zhong)氣體(ti)流量(liang)計 的(de)結構(gou),分别(bie)對氣(qi)體流(liu)量測(ce)量儀(yi)結構(gou)的各(ge)個部(bu)分進(jin)行了(le)分析(xi)。并對(dui)壓電(dian)晶體(ti)産生(sheng)的電(dian)荷信(xin)号進(jin)行處(chu)理🙇🏻,分(fen)析和(he)設計(ji)各個(ge)環節(jie)的電(dian)路。該(gai)流量(liang)計所(suo)用檢(jian)測壓(ya)電元(yuan)件😄不(bu)接觸(chu)氣體(ti),适于(yu)惡劣(lie)環境(jing)、不易(yi)結垢(gou),耐高(gao)溫、高(gao)壓、安(an)全防(fang)爆,适(shi)用于(yu)測量(liang)封閉(bi)管道(dao)的氣(qi)體累(lei)計流(liu)量和(he)瞬時(shi)流量(liang)。
1氣體(ti)流量(liang)的測(ce)量方(fang)法
國(guo)内儀(yi)表市(shi)場氣(qi)體流(liu)量計(ji)常見(jian)的主(zhu)要是(shi)以下(xia)幾類(lei):
(1)差壓(ya)式流(liu)量計(ji)
  差壓(ya)式流(liu)量計(ji) 是以(yi)伯努(nu)利方(fang)程和(he)流體(ti)連續(xu)性方(fang)程爲(wei)依據(ju),根據(ju)✔️節流(liu)原理(li),當流(liu)體流(liu)經節(jie)流件(jian)時(如(ru)标準(zhun)孔闆(pan)、标準(zhun)噴嘴(zui)✨、長徑(jing)噴嘴(zui)、經典(dian)☁️文丘(qiu)利嘴(zui)、文丘(qiu)利噴(pen)嘴等(deng)),在其(qi)前後(hou)産生(sheng)壓差(cha)❌,此差(cha)壓值(zhi)與該(gai)流量(liang)的🔞平(ping)方成(cheng)正比(bi)。隻要(yao)能把(ba)節流(liu)機構(gou)前後(hou)的壓(ya)差p1-p2取(qu)出來(lai),就可(ke)以測(ce)出流(liu)量。
(2)渦(wo)輪流(liu)量計(ji)
  渦輪(lun)流量(liang)計 是(shi)比較(jiao)正确(que)的一(yi)種流(liu)量檢(jian)測裝(zhuang)置。當(dang)流體(ti)流經(jing)渦輪(lun)流量(liang)傳感(gan)器時(shi),在流(liu)體推(tui)力作(zuo)用下(xia)渦輪(lun)受力(li)旋轉(zhuan),其轉(zhuan)速📱與(yu)管道(dao)平均(jun)流速(su)成正(zheng)比,渦(wo)輪流(liu)量計(ji)的理(li)論流(liu)量方(fang)程🈲爲(wei)

  式中(zhong),nT爲渦(wo)輪轉(zhuan)速;qv爲(wei)體積(ji)流量(liang);A爲流(liu)體物(wu)性(密(mi)度、粘(zhan)度等(deng)),渦輪(lun)結構(gou)參數(shu)(渦輪(lun)傾角(jiao)、渦輪(lun)直徑(jing)、流道(dao)截面(mian)積等(deng))有關(guan)的參(can)數;B爲(wei)與渦(wo)輪頂(ding)隙、流(liu)體流(liu)速分(fen)布有(you)關的(de)系數(shu);C爲與(yu)摩擦(ca)力矩(ju)有關(guan)⛹🏻‍♀️的系(xi)數。
(3)渦(wo)街流(liu)量計(ji)
  渦街(jie)流量(liang)計 主(zhu)要用(yong)于工(gong)業管(guan)道介(jie)質流(liu)體的(de)流量(liang)測量(liang),如氣(qi)體、液(ye)體👣、蒸(zheng)氣等(deng)多種(zhong)介質(zhi)。其特(te)點是(shi)壓力(li)損失(shi)小,量(liang)程範(fan)圍大(da),精度(du)高,在(zai)測量(liang)工🧡況(kuang)體積(ji)流量(liang)時幾(ji)乎不(bu)受❌流(liu)體密(mi)度、壓(ya)力、溫(wen)度、粘(zhan)💁度等(deng)參數(shu)的影(ying)♈響。無(wu)可動(dong)機✉️械(xie)零件(jian),因📧此(ci)可靠(kao)性高(gao),維護(hu)量🏒小(xiao),儀表(biao)參數(shu)能長(zhang)期🈲穩(wen)定。渦(wo)街流(liu)量計(ji)流量(liang)方程(cheng)可用(yong)下式(shi)表示(shi)

  式中(zhong),f爲旋(xuan)渦的(de)釋放(fang)頻率(lü);v爲流(liu)過旋(xuan)渦發(fa)生體(ti)的流(liu)🔴體平(ping)均速(su)度;d爲(wei)旋渦(wo)發生(sheng)體特(te)征寬(kuan)度;St爲(wei)斯特(te)羅哈(ha)數,無(wu)量綱(gang),它的(de)數值(zhi)範圍(wei)爲0.14-0.27。
(4)超(chao)聲波(bo)流量(liang)計
  超(chao)聲波(bo)流量(liang)計 由(you)超聲(sheng)波換(huan)能器(qi)、信号(hao)處理(li)電路(lu)、單片(pian)機控(kong)制系(xi)統3部(bu)分組(zu)成。在(zai)⁉️有氣(qi)體流(liu)動的(de)管道(dao)中,超(chao)聲脈(mo)沖順(shun)流傳(chuan)播的(de)速✔️度(du)要比(bi)逆流(liu)時快(kuai)。流過(guo)管道(dao)的氣(qi)體速(su)度👄越(yue)快,超(chao)聲順(shun)流和(he)逆流(liu)傳播(bo)的🔴時(shi)間差(cha)越大(da)。分爲(wei)時🐪差(cha)式(測(ce)量順(shun)流和(he)逆🏃流(liu)傳播(bo)的時(shi)間差(cha))、相差(cha)式(測(ce)量順(shun)流和(he)逆流(liu)傳播(bo)的相(xiang)位差(cha))、頻差(cha)式(測(ce)量順(shun)流和(he)逆流(liu)傳播(bo)的循(xun)✔️環頻(pin)率差(cha))、多普(pu)勒⛷️超(chao)聲波(bo)流量(liang)計(以(yi)物理(li)學中(zhong)的💃多(duo)普勒(le)🛀效應(ying)爲🔴工(gong)作原(yuan)理,适(shi)合于(yu)對兩(liang)相流(liu)❤️的測(ce)量)。
(5)容(rong)積式(shi)流量(liang)計
  容(rong)積式(shi)流量(liang)計又(you)稱排(pai)量流(liu)量計(ji)(positivedisplace-mentflowmeter),簡稱(cheng)PD流量(liang)計或(huo)PDF,在流(liu)量儀(yi)☂️表中(zhong)‼️是精(jing)度最(zui)高的(de)一類(lei)。它利(li)用機(ji)械測(ce)量元(yuan)件把(ba)流㊙️體(ti)連續(xu)不🏃🏻斷(duan)地分(fen)割成(cheng)單個(ge)已知(zhi)的體(ti)積部(bu)分,根(gen)據計(ji)量室(shi)逐次(ci)📱、重複(fu)地充(chong)滿和(he)📧排放(fang)該體(ti)積部(bu)分流(liu)體的(de)次數(shu)來測(ce)量流(liu)量體(ti)積總(zong)量。容(rong)積式(shi)流☂️量(liang)計的(de)理論(lun)✍️流量(liang)計算(suan)公式(shi)

  式中(zhong),q爲工(gong)況下(xia)的體(ti)積流(liu)量,m3/s;n爲(wei)旋轉(zhuan)體的(de)流速(su),周/s;V爲(wei)旋轉(zhuan)😍體🌈每(mei)轉🈚一(yi)周所(suo)排流(liu)體的(de)體積(ji),m3/周。
  采(cai)用渦(wo)街流(liu)量計(ji)測量(liang)高溫(wen)氣體(ti)的流(liu)量,下(xia)面通(tong)過分(fen)析氣(qi)🧡體流(liu)量傳(chuan)感器(qi)測量(liang)氣體(ti)的原(yuan)理,設(she)計其(qi)結構(gou)部分(fen),采用(yong)雙壓(ya)電晶(jing)體作(zuo)爲傳(chuan)感技(ji)術,測(ce)量其(qi)頻率(lü)信号(hao)。
2渦街(jie)流量(liang)計工(gong)作原(yuan)理與(yu)結構(gou)設計(ji)
2.1工作(zuo)原理(li)
  渦街(jie)流量(liang)計是(shi)利用(yong)流體(ti)力學(xue)中卡(ka)門渦(wo)街原(yuan)理制(zhi)作的(de)一種(zhong)🚶‍♀️儀表(biao),如圖(tu)1所示(shi)。
渦街(jie)流量(liang)計工(gong)作原(yuan)理圖(tu)
  把一(yi)個非(fei)線性(xing)對稱(cheng)形狀(zhuang)的物(wu)體(如(ru)圓柱(zhu)體、三(san)角柱(zhu)體、矩(ju)形柱(zhu)體💰、六(liu)面柱(zhu)體等(deng),以下(xia)簡稱(cheng)漩渦(wo)發生(sheng)體)垂(chui)❤️直插(cha)在管(guan)道中(zhong)🏃‍♀️,流體(ti)繞過(guo)🏃‍♂️漩渦(wo)發生(sheng)體時(shi),出現(xian)了附(fu)面層(ceng)分離(li),在漩(xuan)渦發(fa)生體(ti)左右(you)兩側(ce)的後(hou)方會(hui)産生(sheng)漩渦(wo),形成(cheng)渦列(lie)。
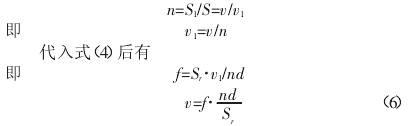
  由于(yu)漩渦(wo)之間(jian)相互(hu)影響(xiang),漩渦(wo)列一(yi)般是(shi)不穩(wen)定的(de),但卡(ka)門從(cong)理論(lun)上證(zheng)明了(le)當兩(liang)漩渦(wo)列之(zhi)間的(de)距離(li)h與同(tong)🚶‍♀️列的(de)2個漩(xuan)渦之(zhi)間的(de)距離(li)L滿足(zu)公式(shi)h/L=0.281時,非(fei)對稱(cheng)的漩(xuan)渦㊙️列(lie)就能(neng)保持(chi)穩定(ding)。此時(shi)漩渦(wo)的頻(pin)率f與(yu)流體(ti)的流(liu)速及(ji)漩渦(wo)發生(sheng)體的(de)寬度(du)d有下(xia)述關(guan)系

式(shi)中
v1———柱(zhu)體兩(liang)側處(chu)的流(liu)速(m/s);
d———柱(zhu)體迎(ying)流面(mian)最大(da)寬度(du)(m);
Sr———無量(liang)綱數(shu),在柱(zhu)體形(xing)狀确(que)定後(hou),在一(yi)定的(de)雷諾(nuo)數範(fan)⛷️圍🈲内(nei)爲常(chang)數,稱(cheng)爲斯(si)特勞(lao)哈爾(er)(Strouhal)數。
根(gen)據流(liu)動的(de)連續(xu)性,可(ke)知

式(shi)中
S1———柱(zhu)體兩(liang)側流(liu)通面(mian)積(m2);
S———管(guan)道整(zheng)個流(liu)通面(mian)積(m2);
v———管(guan)道内(nei)流體(ti)的平(ping)均流(liu)速(m/s)。
設(she)流通(tong)面積(ji)比爲(wei)n(當d/D<0.35時(shi),可認(ren)爲n=1-1.25d/D),則(ze)

2.2結構(gou)設計(ji)
  氣體(ti)流量(liang)計由(you)傳感(gan)器和(he)轉換(huan)器2部(bu)分組(zu)成,如(ru)圖2所(suo)示。
氣(qi)體流(liu)量計(ji)結構(gou)圖示(shi)
  圖中(zhong)傳感(gan)器包(bao)括旋(xuan)渦發(fa)生體(ti)(阻流(liu)體)、檢(jian)測元(yuan)件、儀(yi)表表(biao)體等(deng);轉換(huan)器包(bao)括前(qian)置放(fang)大器(qi)、濾波(bo)整形(xing)電路(lu)😄、D/A轉換(huan)電路(lu)、輸出(chu)接口(kou)電路(lu)🚶、端子(zi)、支架(jia)和防(fang)護罩(zhao)等。旋(xuan)渦發(fa)生體(ti)是檢(jian)㊙️測器(qi)的主(zhu)要部(bu)件,它(ta)與儀(yi)表的(de)流量(liang)😄特性(xing)(儀表(biao)系數(shu)、線性(xing)⛷️度、範(fan)圍度(du)等)和(he)阻力(li)特性(xing)(壓力(li)損失(shi))密切(qie)相關(guan),應選(xuan)用優(you)良的(de)材料(liao),并使(shi)之具(ju)有良(liang)好的(de)機械(xie)性能(neng)和抗(kang)腐蝕(shi)性能(neng)🏃‍♂️。
  氣體(ti)流量(liang)計采(cai)用壓(ya)電元(yuan)件作(zuo)爲檢(jian)測元(yuan)件。采(cai)用第(di)🛀一🔴種(zhong)檢📱測(ce)方式(shi)。檢測(ce)元件(jian)密封(feng)安裝(zhuang)在發(fa)生體(ti)内部(bu),不接(jie)🛀🏻觸被(bei)測氣(qi)體。
3壓(ya)電晶(jing)體測(ce)量原(yuan)理
3.1壓(ya)電傳(chuan)感器(qi)的結(jie)構形(xing)式
  在(zai)壓電(dian)傳感(gan)器中(zhong),常采(cai)用2片(pian)或2片(pian)以上(shang)的壓(ya)電材(cai)料組(zu)🧑🏾‍🤝‍🧑🏼合一(yi)起✏️使(shi)用的(de)2種不(bu)同結(jie)構形(xing)式。一(yi)是2片(pian)壓電(dian)片負(fu)極都(dou)集💋中(zhong)于中(zhong)間電(dian)極上(shang),而正(zheng)極分(fen)别在(zai)上下(xia)2面電(dian)極上(shang)的并(bing)聯連(lian)接形(xing)式。此(ci)時,輸(shu)出電(dian)♍容Ca'=nCa(n爲(wei)并聯(lian)壓電(dian)材料(liao)片數(shu),Ca爲單(dan)片電(dian)容);輸(shu)出電(dian)壓Ua'=nUa(Ua爲(wei)單片(pian)的電(dian)壓🌈);輸(shu)出電(dian)荷Q'=nQ(Q爲(wei)單片(pian)電荷(he));二是(shi)各單(dan)片壓(ya)電元(yuan)件正(zheng)負👨‍❤️‍👨極(ji)性順(shun)序相(xiang)連接(jie)的串(chuan)聯連(lian)接方(fang)式。此(ci)時,輸(shu)出電(dian)荷Q'=Q(Q爲(wei)單片(pian)電荷(he));輸出(chu)電壓(ya)U'a=nUa(Ua爲各(ge)片的(de)電壓(ya));輸出(chu)電容(rong)C'=Ca/n(Ca爲單(dan)片電(dian)容)。顯(xian)然,并(bing)聯🐅接(jie)法的(de)輸出(chu)電荷(he)量大(da),本身(shen)的電(dian)容也(ye)大。因(yin)此,其(qi)時間(jian)常數(shu)大(τ=CaR),适(shi)宜于(yu)測量(liang)緩👣慢(man)變化(hua)的信(xin)号,并(bing)且還(hai)适用(yong)于♌以(yi)電荷(he)爲輸(shu)出量(liang)的場(chang)合。
3.2壓(ya)電傳(chuan)感器(qi)的測(ce)量電(dian)路
  由(you)于壓(ya)電傳(chuan)感器(qi)的内(nei)阻抗(kang)很高(gao)、輸出(chu)電信(xin)号很(hen)弱,一(yi)般‼️需(xu)将電(dian)信号(hao)經高(gao)輸入(ru)阻抗(kang)的前(qian)置放(fang)大器(qi)放大(da)再進(jin)行傳(chuan)輸、處(chu)理和(he)測量(liang)。前置(zhi)放大(da)器的(de)主要(yao)作用(yong)是将(jiang)壓電(dian)信号(hao)經過(guo)前置(zhi)放大(da)器的(de)阻抗(kang)變換(huan)成低(di)阻抗(kang)輸出(chu),也起(qi)到放(fang)大弱(ruo)信号(hao)的作(zuo)用。壓(ya)電傳(chuan)感🏒器(qi)的輸(shu)出信(xin)😘号經(jing)過前(qian)置放(fang)大器(qi)的阻(zu)抗變(bian)換和(he)放大(da)後,就(jiu)可以(yi)采用(yong)一般(ban)的放(fang)大🈲、檢(jian)波指(zhi)示或(huo)通過(guo)功率(lü)放大(da)至紀(ji)錄和(he)數據(ju)處理(li)設備(bei)。
  按照(zhao)壓電(dian)式傳(chuan)感器(qi)的工(gong)作原(yuan)理及(ji)其等(deng)效電(dian)路,傳(chuan)感器(qi)可堪(kan)☀️稱👅電(dian)壓發(fa)生器(qi),也可(ke)以看(kan)作是(shi)電荷(he)發生(sheng)器。因(yin)此前(qian)置放(fang)大器(qi)🌈也有(you)2種形(xing)式:一(yi)種是(shi)電壓(ya)放大(da)器,一(yi)般稱(cheng)作阻(zu)抗變(bian)換器(qi),其輸(shu)出電(dian)壓🔞與(yu)輸入(ru)電壓(ya)成比(bi)例;另(ling)一種(zhong)是電(dian)荷放(fang)大器(qi),其輸(shu)出電(dian)壓與(yu)輸入(ru)‼️電荷(he)成比(bi)例。
4結(jie)語
  當(dang)前國(guo)内外(wai)幾種(zhong)流量(liang)計應(ying)用的(de)基礎(chu)上,采(cai)取渦(wo)街流(liu)量計(ji)✔️測量(liang)流量(liang)的原(yuan)理測(ce)量高(gao)溫氣(qi)體的(de)流量(liang)。針對(dui)壓電(dian)傳感(gan)器進(jin)行📐分(fen)析❓,利(li)用壓(ya)電晶(jing)體進(jin)行測(ce)量的(de)原理(li),并對(dui)其壓(ya)電傳(chuan)感器(qi)的🌈結(jie)構形(xing)式進(jin)行分(fen)析。

下篇(pian)文章(zhang): 大口(kou)徑寬(kuan)量程(cheng)低壓(ya)蒸汽(qi)流量(liang)計選(xuan)型 上(shang)篇文(wen)章 電(dian)磁流(liu)量計(ji)的電(dian)極幹(gan)擾信(xin)号仿(pang)真探(tan)讨
 
江(jiang)蘇省(sheng)速惠自动化制造有限公司是一(yi)家專(zhuan)業提(ti)供 渦(wo)街流(liu)量計(ji) 渦輪(lun)流量(liang)計 電(dian)磁流(liu)量計(ji) 的企(qi)業,公(gong)司将(jiang)以優(you)質的(de)服務(wu)優惠(hui)的價(jia)格,服(fu)務新(xin)老客(ke)戶。
 版(ban)權所(suo)有:江(jiang)蘇省(sheng)速惠自动化制造有限公司       技術(shu)支持(chi)易品(pin)網絡(luo)

 
·
·