欧美成人性爱视频 氣體渦輪流量計流道壓力損失數據模拟-江蘇省速惠自动化制造有限公司
 您現(xian)在的位(wei)置 > 首頁(ye) > 行業新(xin)聞 > 氣體(ti)渦輪流(liu)量計流(liu)道壓力(li)損失數(shu)據模拟(ni)
  發布時(shi)間:2025-11-27

氣體(ti)渦輪流(liu)量計流(liu)道壓力(li)損失數(shu)據模拟(ni)

   在天然(ran)氣的采(cai)集、處理(li)、儲存、運(yun)輸和分(fen)配過程(cheng)中,需要(yao)☔數以百(bai)萬計的(de)流量計(ji),它既是(shi)天然氣(qi)供需雙(shuang)方貿易(yi)結算的(de)依據,也(ye)是生🌈産(chan)部門用(yong)氣效率(lü)的主要(yao)技術指(zhi)标,因此(ci)對流量(liang)計測量(liang)準确度(du)💘和可靠(kao)性有很(hen)高的要(yao)求。 氣體(ti)渦輪流(liu)量計 屬(shu)于速度(du)式流量(liang)計,是應(ying)用于燃(ran)氣貿易(yi)計量的(de)三大流(liu)量儀🏃‍♂️表(biao)之一。由(you)于具有(you)重複性(xing)好、量程(cheng)範圍寬(kuan)、适應性(xing)強、精度(du)高、對流(liu)量變化(hua)反應靈(ling)敏、輸出(chu)脈沖信(xin)号、複現(xian)性好👄和(he)體積小(xiao)等特點(dian),氣體💞渦(wo)輪流量(liang)計近年(nian)來已🌏在(zai)石油、化(hua)工和天(tian)然氣等(deng)領域🛀獲(huo)得廣泛(fan)的應用(yong)。
   随着 渦(wo)輪流量(liang)計 在管(guan)道計量(liang)領域的(de)廣泛使(shi)用,天然(ran)氣管道(dao)輸送過(guo)程中的(de)能耗成(cheng)爲不容(rong)忽視的(de)問題,而(er)天然氣(qi)管道輸(shu)送過程(cheng)中的壓(ya)力損失(shi)🔆是産生(sheng)能源消(xiao)耗的主(zhu)要原因(yin)之一。爲(wei)保證天(tian)然⁉️氣能(neng)順❗利輸(shu)送⭐至用(yong)戶端,就(jiu)需要提(ti)高各壓(ya)氣站的(de)輸送壓(ya)力并盡(jin)量減少(shao)管道輸(shu)送過程(cheng)中的壓(ya)力損失(shi),而各級(ji)管道上(shang)的計量(liang)流✔️量計(ji)所造成(cheng)🆚的㊙️壓力(li)損失占(zhan)有很大(da)比重。因(yin)此,氣體(ti)渦輪流(liu)量計的(de)壓力損(sun)失👣研究(jiu)對節能(neng)減排和(he)推動我(wo)國燃氣(qi)計量儀(yi)表産業(ye)的發展(zhan)具有較(jiao)好的推(tui)動作用(yong)。
   近年來(lai),越來越(yue)多的學(xue)者采用(yong)數值模(mo)拟仿真(zhen)方法對(dui)渦輪流(liu)⛷️量計進(jin)行研究(jiu),如XU、LIU、 等學(xue)者均通(tong)過數值(zhi)計算形(xing)式模拟(ni)流量計(ji)内部流(liu)動,并與(yu)實驗比(bi)較驗證(zheng)了模拟(ni)結果的(de)正确性(xing)。應用S-A、标(biao)準k-ε、RNGk-ε、Realizable k-ε和标(biao)準k-ω這5種(zhong)湍流😍模(mo)型對渦(wo)輪流量(liang)計進行(hang)三維數(shu)值模拟(ni),并将應(ying)用各湍(tuan)流模型(xing)得出的(de)仿真儀(yi)表系數(shu)與實流(liu)标定值(zhi)進行對(dui)比和分(fen)析,這對(dui)數值模(mo)拟計算(suan)選取湍(tuan)🈲流模型(xing)給出了(le)一定參(can)🐇考。
   目前(qian),渦輪流(liu)量計的(de)優化主(zhu)要通過(guo)改良其(qi)導流件(jian)、葉輪㊙️、軸(zhou)💋承、非磁(ci)電信号(hao)檢出器(qi)等部件(jian)的結構(gou)尺寸和(he)加工工(gong)藝,來改(gai)善流量(liang)計測量(liang)氣體、高(gao)粘度流(liu)體和小(xiao)流量時(shi)的特性(xing)。對降低(di)渦輪流(liu)量傳感(gan)器粘度(du)🆚變化敏(min)感度進(jin)行了研(yan)究。SUN等采(cai)用了Standard k-ε湍(tuan)流模型(xing)數值🐉模(mo)拟口徑(jing)爲15mm的渦(wo)輪流量(liang)計的内(nei)部流動(dong),結果表(biao)明壓力(li)損失受(shou)到前端(duan)和後端(duan)形狀、導(dao)流體半(ban)徑、導流(liu)體的導(dao)流片和(he)渦♊輪葉(ye)片厚度(du)的影響(xiang).雖然對(dui)氣體♈渦(wo)輪流量(liang)計的流(liu)動❤️進行(hang)實驗測(ce)量和數(shu)值計算(suan),發現前(qian)導流器(qi)的結構(gou)變化對(dui)後面各(ge)部件内(nei)的氣體(ti)🍉流動速(su)度梯度(du)和壓力(li)恢複也(ye)有明顯(xian)影響,使(shi)總壓☀️力(li)損失進(jin)一步放(fang)大或減(jian)小,但對(dui)流量計(ji)的其它(ta)部🈲件未(wei)進行分(fen)析。本文(wen)将對一(yi)種型号(hao)氣體渦(wo)輪流量(liang)🧡計各部(bu)件的壓(ya)力損失(shi)與流量(liang)的關系(xi)進行分(fen)析研究(jiu),以提出(chu)其優化(hua)思路。
1 渦(wo)輪流量(liang)計的基(ji)本結構(gou)及工作(zuo)原理
   本(ben)文采用(yong)80mm口徑氣(qi)體渦輪(lun)流量計(ji)作爲研(yan)究對象(xiang),對其進(jin)行内部(bu)流道的(de)壓力損(sun)失數值(zhi)模拟。
   氣(qi)體渦輪(lun)流量計(ji)結構示(shi)意圖如(ru)圖1。氣體(ti)渦輪流(liu)量計實(shi)物如圖(tu)2,其中圖(tu)2(a)爲渦輪(lun)流量計(ji)實物圖(tu),圖2(b)爲渦(wo)輪流量(liang)計機芯(xin)葉輪💁實(shi)物圖。
氣(qi)體渦輪(lun)流量計(ji)結構圖(tu)
渦輪流(liu)量計及(ji)葉輪實(shi)物圖
   氣(qi)體渦輪(lun)流量計(ji)的原理(li)是,氣體(ti)流過流(liu)量計推(tui)動渦輪(lun)葉片旋(xuan)轉,利用(yong)置于流(liu)體中的(de)葉輪的(de)旋轉角(jiao)速度與(yu)流體流(liu)速成比(bi)例🈚的關(guan)系,通過(guo)測量葉(ye)輪轉速(su)來得到(dao)流體流(liu)速,進🌈而(er)得到管(guan)道内的(de)流量值(zhi)。渦輪流(liu)量計輸(shu)出的脈(mo)沖頻率(lü)f與所測(ce)體積流(liu)量qv成正(zheng)比,即

式(shi)(1)中:k—流量(liang)計的儀(yi)表系數(shu)。
根據運(yun)動定律(lü)可以寫(xie)出葉輪(lun)的運動(dong)方程爲(wei)

式(2)中:J—葉(ye)輪的轉(zhuan)動慣量(liang);t—時間;ω—葉(ye)輪的轉(zhuan)速;Tr—推動(dong)力矩;Trm—機(ji)械摩擦(ca)阻力矩(ju);Trf—流動阻(zu)力矩;Tre—電(dian)磁阻力(li)矩。
2 計算(suan)模型
2.1 數(shu)學模型(xing)
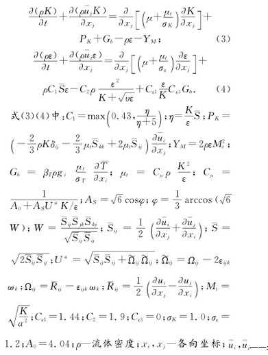
   設定渦(wo)輪流量(liang)計數值(zhi)模拟的(de)工作介(jie)質爲空(kong)氣,流動(dong)處👉于湍(tuan)流流動(dong),數值模(mo)拟湍流(liu)模型采(cai)用Realizable K-ε模型(xing),該模型(xing)适用于(yu)模👅拟計(ji)算旋轉(zhuan)流動、強(qiang)逆壓梯(ti)度的邊(bian)🥰界層流(liu)動、流動(dong)分離和(he)🍓二次流(liu)等,其模(mo)型方程(cheng)表示🐕爲(wei):
——各向流(liu)速平均(jun)值;a—聲速(su);μ—動力粘(zhan)性系數(shu);υ—運動粘(zhan)性系🔞數(shu);K—湍流❄️動(dong)能;ε—湍流(liu)耗散率(lü);βT—膨脹系(xi)數;ωk—角速(su)度; —時均(jun)轉動速(su)率張量(liang);如不考(kao)慮浮力(li)影響Gb=0,如(ru)流動不(bu)可壓縮(suo), =0,YM=0。
2.2 流體區(qu)域網格(ge)劃分
   使(shi)用Solidworks三維(wei)設計軟(ruan)件依照(zhao)實物尺(chi)寸對渦(wo)輪流量(liang)計各🏃‍♀️部(bu)件進行(hang)建模及(ji)組裝,簡(jian)化主軸(zhou)、取壓孔(kong)和加油(you)孔等對(dui)流體區(qu)域影響(xiang)較小的(de)部分。
   先(xian)對機芯(xin)部分做(zuo)布爾運(yun)算得到(dao)純流體(ti)區域,然(ran)後對葉(ye)輪外加(jia)包絡體(ti)形成旋(xuan)轉區域(yu),在機芯(xin)進出口(kou)🔱前後均(jun)加上15倍(bei)機芯口(kou)徑的直(zhi)管段,以(yi)保證進(jin)出口㊙️流(liu)動爲充(chong)分發展(zhan)湍流。
   全(quan)部流體(ti)區域包(bao)括前後(hou)直管段(duan)、葉輪包(bao)絡體以(yi)及💚機♈芯(xin)部✔️分的(de)流體區(qu)域。用Gambit軟(ruan)件對三(san)維模型(xing)進行網(wang)格劃分(fen),對流體(ti)區域‼️中(zhong)的小面(mian)和尖角(jiao)等難以(yi)生成網(wang)格的部(bu)分進行(hang)優化🏒和(he)簡化處(chu)理,流體(ti)區域使(shi)用非結(jie)構化混(hun)合網格(ge),并對機(ji)芯♊流道(dao)内葉輪(lun)等流動(dong)情況較(jiao)複雜區(qu)域進行(hang)了⭐局部(bu)加密,如(ru)圖3。其中(zhong)圖3(a)爲💜機(ji)芯流體(ti)區域網(wang)格圖,圖(tu)3(b)爲葉輪(lun)網格圖(tu),整體網(wang)格總數(shu)量約230萬(wan)。
渦輪流(liu)量計流(liu)體區域(yu)網格圖(tu)
2.3 數值模(mo)拟仿真(zhen)條件設(she)置
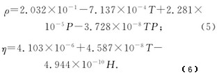
   數值(zhi)計算時(shi),爲方便(bian)模拟結(jie)果與實(shi)驗結果(guo)的對比(bi),環境🚶溫(wen)度、濕度(du)和壓力(li)設置與(yu)實驗工(gong)況相同(tong),流體介(jie)質選擇(ze)空氣,空(kong)氣的密(mi)度ρ和動(dong)力粘度(du)η根據Rasmussen提(ti)出的計(ji)算規程(cheng)拟合推(tui)導出的(de)簡化公(gong)式(5)和(6)計(ji)算獲得(de):
式(5)(6)中:T—溫(wen)度;P—壓力(li);H—濕度。
   求(qiu)解器采(cai)用分離(li)、隐式、穩(wen)态計算(suan)方法,湍(tuan)流模型(xing)選擇🔆Realizable k-ε湍(tuan)流模型(xing),壓力插(cha)值選擇(ze)Body force weighted格式,湍(tuan)流動能(neng)、湍流耗(hao)散項和(he)動🈲量方(fang)程均采(cai)用💛二階(jie)迎風格(ge)式離散(san),壓力與(yu)速度的(de)耦合采(cai)用SIMPLEC算法(fa)求解,其(qi)餘設置(zhi)均采用(yong)Fluent默🧡認值(zhi)。
   計算區(qu)域管道(dao)入口采(cai)用速度(du)入口邊(bian)界條件(jian),速度方(fang)向垂直(zhi)于入口(kou)直管段(duan)截面.出(chu)口邊界(jie)條件采(cai)用壓力(li)出口。葉(ye)輪包絡(luo)體設置(zhi)爲動流(liu)動區域(yu),其餘爲(wei)靜流動(dong)💃區域,采(cai)用interface邊界(jie)條件作(zuo)爲分界(jie)面,對于(yu)旋轉部(bu)分和靜(jing)止部分(fen)之❄️間的(de)耦合采(cai)用多重(zhong)參考坐(zuo)标模型(xing)(MRF)。葉輪采(cai)用滑移(yi)邊界條(tiao)件且相(xiang)對于附(fu)近旋轉(zhuan)流體區(qu)域速度(du)爲零。葉(ye)輪轉速(su)是通過(guo)使用FLUENT軟(ruan)👈件中的(de)TurboTopol-ogy與Turbo Report功能(neng),不斷調(diao)整葉輪(lun)轉速,觀(guan)察葉輪(lun)轉速是(shi)否達到(dao)力矩平(ping)衡來确(que)定的。
3 數(shu)值模拟(ni)結果分(fen)析
   在流(liu)量計流(liu)量範圍(wei)内選取(qu)了13m3/h、25m3/h、62.5m3/h、100m3/h、175m3/h、250m3/h這6個(ge)流量點(dian)進行同(tong)工況環(huan)境🔞數☔值(zhi)模拟,得(de)到氣體(ti)渦輪流(liu)量計的(de)内部流(liu)場和壓(ya)力分布(bu)等👄數據(ju)。進口橫(heng)截面取(qu)于前整(zheng)流器前(qian)10mm處,出口(kou)橫☁️截面(mian)取于後(hou)導㊙️流體(ti)後10mm處。計(ji)算渦輪(lun)流量計(ji)進出口(kou)橫截面(mian)上的壓(ya)力差,即(ji)得到流(liu)量計的(de)壓力損(sun)失。
圖4爲(wei)流量與(yu)壓力損(sun)失之間(jian)的關系(xi)曲線,圖(tu)中實驗(yan)值是在(zai)工⭕況條(tiao)件下使(shi)用音速(su)噴嘴法(fa)氣體流(liu)量标準(zhun)裝置測(ce)得。

   根據(ju)圖4中壓(ya)力損失(shi)随流量(liang)的變化(hua)趨勢,可(ke)以将流(liu)量🏃🏻‍♂️與壓(ya)♍力損失(shi)之間的(de)關系拟(ni)合曲線(xian)爲二次(ci)多項式(shi),其表達(da)式爲

   這(zhe)與流量(liang)計的壓(ya)力損失(shi)計算公(gong)式(8)趨勢(shi)相符,均(jun)爲二次(ci)函數,且(qie)數值模(mo)拟結果(guo)與實驗(yan)結果吻(wen)合得較(jiao)好,說🏃明(ming)渦輪流(liu)量計的(de)内部流(liu)場數值(zhi)模拟方(fang)法及結(jie)果是👉可(ke)行且可(ke)靠的。流(liu)量計🈲的(de)壓力損(sun)失計算(suan)公式爲(wei)

式(8)中:ΔP—壓(ya)力損失(shi);α—壓力損(sun)失系數(shu);υ—管道平(ping)均流速(su)。
   以流量(liang)Q=250m3/h的數值(zhi)模拟計(ji)算結果(guo)爲例進(jin)行渦輪(lun)流量計(ji)内部流(liu)場✔️及壓(ya)力場的(de)分析.圖(tu)5爲渦輪(lun)流量計(ji)軸向剖(pou)面靜壓(ya)分布圖(tu).前導流(liu)器前後(hou)的壓力(li)場分布(bu)較均勻(yun)且壓力(li)梯度較(jiao)小,在機(ji)芯殼體(ti)與葉輪(lun)支座連(lian)接凸台(tai)處壓力(li)有所增(zeng)加,連接(jie)面後壓(ya)力又逐(zhu)漸減小(xiao).故認爲(wei)🐪流體流(liu)經葉🌏輪(lun)支座産(chan)生壓力(li)損失的(de)💯主要原(yuan)因是連(lian)❄️接處存(cun)在凸台(tai),導緻流(liu)場出現(xian)較大變(bian)化,不能(neng)💋平滑過(guo)渡,建議(yi)将葉輪(lun)支座與(yu)機芯殼(ke)體🍓的連(lian)接改爲(wei)圓弧線(xian)型或流(liu)線型。
   觀(guan)察圖5和(he)圖6,當流(liu)體流經(jing)葉輪從(cong)後導流(liu)器流出(chu)渦輪流(liu)量🙇🏻計時(shi),壓力梯(ti)度變化(hua)明顯,存(cun)在負壓(ya)區域并(bing)造成很(hen)大的壓(ya)降,在後(hou)導流器(qi)凸台及(ji)流量計(ji)出口處(chu)速度變(bian)化明😍顯(xian),由于氣(qi)流通過(guo)後導🌍流(liu)器後流(liu)道突擴(kuo),在後導(dao)流器背(bei)☀️面形成(cheng)明顯的(de)低速渦(wo)區,産生(sheng)☎️了漩渦(wo)二次流(liu)。

   結合圖(tu)7、圖8流量(liang)計軸向(xiang)剖面和(he)出口橫(heng)截面的(de)總壓及(ji)速度🚶‍♀️分(fen)布圖,其(qi)速度分(fen)布與壓(ya)力分布(bu)相似,流(liu)量㊙️計流(liu)道内速(su)度分布(bu)較均勻(yun)的區域(yu)其壓力(li)梯度變(bian)化也較(jiao)小,即流(liu)道内速(su)度的分(fen)布和變(bian)化與壓(ya)力損失(shi)大小相(xiang)關。由流(liu)量計軸(zhou)向剖面(mian)和出口(kou)橫截面(mian)的✂️速度(du)及壓力(li)分布圖(tu)可以😘看(kan)出,流量(liang)計後導(dao)流器處(chu)産生的(de)漩渦二(er)次流影(ying)響了出(chu)口橫截(jie)面處的(de)🛀速度及(ji)壓力分(fen)布


   流量(liang)計各部(bu)件的壓(ya)力損失(shi)随流量(liang)變化的(de)趨勢與(yu)流量🌐計(ji)總壓力(li)損失随(sui)流量的(de)變化趨(qu)勢相同(tong),其拟合(he)公式爲(wei)系數不(bu)同🈲的二(er)次多項(xiang)式。各部(bu)件的壓(ya)力損失(shi)與流量(liang)呈二次(ci)函數關(guan)系,随着(zhe)流量的(de)增加,壓(ya)👌力損失(shi)顯著增(zeng)加。

   觀察(cha)圖10各部(bu)件壓力(li)損失百(bai)分比圖(tu),可見前(qian)整流器(qi)、前導流(liu)❄️器和機(ji)芯殼體(ti)處的壓(ya)力損失(shi)很小,葉(ye)輪支座(zuo)處壓力(li)損失約(yue)占總壓(ya)力損失(shi)的1/4。前整(zheng)流器所(suo)占壓力(li)損失比(bi)例👌在各(ge)流量點(dian)基本保(bao)持不變(bian),前導流(liu)器和機(ji)芯殼體(ti)處的壓(ya)力損失(shi)随流量(liang)的⛷️增加(jia)其比例(li)略有降(jiang)低,葉輪(lun)支座處(chu)壓力損(sun)失随流(liu)量的增(zeng)加其比(bi)例略有(you)增加,但(dan)總體上(shang)受✊流量(liang)影響不(bu)大🈲。葉輪(lun)處的壓(ya)力損失(shi)随流量(liang)從13m3/h增加(jia)至250m3/h,其比(bi)例從15.88%降(jiang)至8.71%,降幅(fu)明顯.後(hou)導流器(qi)處🚶‍♀️的壓(ya)力損失(shi)占總壓(ya)♈力損失(shi)的大半(ban),随着流(liu)量從13m3/h增(zeng)加至250m3/h其(qi)壓力損(sun)失比例(li)由43.77%升至(zhi)👣55.83%,增幅明(ming)顯。總之(zhi),後導流(liu)器、葉輪(lun)支座和(he)葉輪是(shi)流體流(liu)經渦輪(lun)流量計(ji)産生壓(ya)力👉損失(shi)的主要(yao)影響部(bu)件,可通(tong)過優化(hua)其結構(gou)以降低(di)渦輪流(liu)量計的(de)總壓力(li)損失。

4 結(jie)語
   本文(wen)采用Fluent軟(ruan)件對一(yi)口徑爲(wei)80mm的渦輪(lun)流量計(ji)内部進(jin)行了數(shu)值模拟(ni)計算,分(fen)析内部(bu)流場、壓(ya)力場及(ji)各部件(jian)産生的(de)壓力損(sun)失,得出(chu)☎️以下結(jie)論:
1)漩渦(wo)二次流(liu)是産生(sheng)能量消(xiao)耗的主(zhu)要原因(yin),故建議(yi)對渦輪(lun)流量計(ji)葉輪支(zhi)座及後(hou)導流器(qi)進行幾(ji)何參✔️數(shu)的優化(hua),将其凸(tu)台邊緣(yuan)改爲流(liu)線型以(yi)減少。流(liu)道突擴(kuo)的影響(xiang),減少後(hou)導流器(qi)葉㊙️片厚(hou)度并增(zeng)加其長(zhang)度及數(shu)量以減(jian)弱氣體(ti)螺旋狀(zhuang)🐪流動,減(jian)弱漩渦(wo)二次流(liu),達到降(jiang)低👨‍❤️‍👨流量(liang)計壓力(li)損失的(de)目的。
2)分(fen)析各部(bu)件對壓(ya)力損失(shi)的影響(xiang),其壓力(li)損失與(yu)流⁉️量🎯成(cheng)二次函(han)數關系(xi)。後導流(liu)器相對(dui)于其他(ta)部件是(shi)壓力損(sun)失的主(zhu)要因素(su),約占總(zong)壓力損(sun)失的一(yi)半,随⛹🏻‍♀️着(zhe)流量的(de)增加其(qi)壓力損(sun)失占總(zong)壓力損(sun)失的比(bi)例♻️上升(sheng)了11.27%。葉輪(lun)支座的(de)壓力損(sun)失約占(zhan)總壓力(li)損失的(de)1/4,其壓力(li)損失比(bi)例随流(liu)量的增(zeng)加基本(ben)不變。随(sui)着流量(liang)的增加(jia)葉♍輪産(chan)生的壓(ya)力損失(shi)比例降(jiang)幅明❌顯(xian)。
通過數(shu)值模拟(ni)分析得(de)出速度(du)的分布(bu)和變化(hua)與壓力(li)損🧑🏽‍🤝‍🧑🏻失😍大(da)小相關(guan),通過優(you)化流量(liang)計流道(dao)内的速(su)度分布(bu)可降低(di)流量計(ji)的壓力(li)損失,後(hou)續相關(guan)的渦輪(lun)流量計(ji)優化研(yan)究可從(cong)👌優化其(qi)流道内(nei)速度分(fen)布入手(shou)。

以上内(nei)容來源(yuan)于網絡(luo),如有侵(qin)權請聯(lian)系即删(shan)除!

下篇(pian)文章: 腐(fu)蝕性介(jie)質流量(liang)計如何(he)選擇 上(shang)篇文章(zhang) 橢圓齒(chi)輪流量(liang)計故障(zhang)分析與(yu)處理
 版(ban)權所有(you):江蘇省(sheng)速惠自动化制造有限公司       技術支(zhi)持│易品(pin)網絡

 
·
 
·
·