富(fu)氫氣流量(liang)測量與純(chun)氫流量計(ji)算 發布時(shi)間:2025-11-27
摘要:供(gong)需雙方貿(mao)易交接計(ji)量以富氫(qing)氣體中的(de)純氫量爲(wei)準,由🏃🏻于測(ce)量的富氫(qing)氣體中含(han)有飽和水(shui)蒸氣,随着(zhe)溫度的變(bian)化,其中的(de)水蒸氣與(yu)氫的體積(ji)分數均會(hui)發生變化(hua),導緻🌐氫的(de)平均相對(dui)㊙️分子質量(liang)不停變化(hua),爲測量帶(dai)來困難。針(zhen)對該問題(ti),對比分析(xi)了 渦街流(liu)量計 方法(fa)、科氏力質(zhi)量流量計(ji)方法、 孔闆(pan)流量計 方(fang)法三種測(ce)量方案,最(zui)後選取孔(kong)闆流量計(ji)結合熱導(dao)式氫分析(xi)儀測量氫(qing)的體積分(fen)數,通過在(zai)流量演算(suan)器中進行(hang)密度補👨❤️👨償(chang)、幹氣部分(fen)計算、純氫(qing)流量計算(suan),實現了準(zhun)确🧑🏾🤝🧑🏼測量、數(shu)據可信。 某(mou)化工廠從(cong)附近的氯(lü)堿廠輸入(ru)純度爲98%的(de)氫氣,用于(yu)生産氫體(ti)積分數φH2爲(wei)70%~90%的富氫氣(qi)體,再經1根(gen)内徑爲468mm的(de)管道返送(song)回氯堿廠(chang),混🔴合氣中(zhong)的水蒸氣(qi)達到飽和(he)狀态,通過(guo)熱導式氫(qing)♈分析儀測(ce)量混合氣(qi)中的氫體(ti)積分數,測(ce)量範圍爲(wei)50%~100%。該分析儀(yi)測量出的(de)是幹氣體(ti)中的氫體(ti)積分數,而(er)工藝要求(qiu)測量🈲的是(shi)濕氣體幹(gan)部分流量(liang),并與氫體(ti)積分數一(yi)起計算純(chun)氫的體積(ji)流量,因此(ci)文中⚽所述(shu)是一個變(bian)組分氣體(ti)的濕氣體(ti)幹部分流(liu)量測量⛱️問(wen)題。 1測量方(fang)案的确定(ding) 1.1渦街流量(liang)計方法 1)該(gai)方法信号(hao)處理較爲(wei)簡單。渦街(jie)流量計是(shi)一種體積(ji)💞流量計,即(ji)輸出信号(hao)僅與流過(guo)旋渦發生(sheng)體處的流(liu)體平均流(liu)速☔成正㊙️比(bi),而與物料(liao)的密度、黏(nian)度等無關(guan)。如果能用(yong)渦街流量(liang)計測量某(mou)種氣體的(de)體積流量(liang),則信号經(jing)下面的㊙️處(chu)理後,就可(ke)得到純⛷️氫(qing)體積流量(liang)。 a)将濕氣體(ti)中的水汽(qi)量扣除。 B)将(jiang)濕氣體的(de)幹部分流(liu)量換算爲(wei)标準狀态(tai)流量。 c)将測(ce)量到的幹(gan)氣體中氫(qing)體積分數(shu)值與濕氣(qi)體的幹部(bu)✊分體積流(liu)量相乘,即(ji)得到純氫(qing)的體積流(liu)量。 由于測(ce)量對象具(ju)有管徑大(da)、流速低、靜(jing)壓低、流體(ti)密度小🏃♀️的(de)特♍點,用渦(wo)街流量計(ji)測量是否(fou)可行,須經(jing)分析和🔴具(ju)體驗算才(cai)可确定。 2)已(yi)知條件。該(gai)測量對象(xiang)與最低可(ke)測流速有(you)關的參數(shu)包括:管道(dao)内徑D20=468mm,最高(gao)壓力爲70Kpa,常(chang)用壓力爲(wei)40Kpa,最低壓力(li)爲20Kpa,幹部分(fen)最🐕大體積(ji)流量爲1×104m3/h,幹(gan)部分常用(yong)體積流量(liang)爲7×103m3/h,最🚩小體(ti)積流量爲(wei)2.8×103m3/h,介質溫度(du)爲21.0~63.5℃(常用50℃),常(chang)用工況流(liu)體密度🌂ρ1=0.4138KG/m3。由(you)于工況♈條(tiao)件下的流(liu)體密度小(xiao)于0.5KG/m3,使用渦(wo)街流量計(ji)測量将受(shou)到流體密(mi)度的♈限制(zhi),因此根❓據(ju)上述數據(ju)計算得到(dao)常用工況(kuang)條件下最(zui)小體積流(liu)量對應的(de)流速爲3.57m/s。 3)最(zui)低可測流(liu)速驗算[1-2]。提(ti)供了大口(kou)徑渦街流(liu)量計最低(di)可測流速(su)😘公式: 式中(zhong):v———最低可測(ce)流速,m/s;ρ———流體(ti)密度,KG/m3。 将ρ=0.4138KG/m3代(dai)入式(1)得到(dao)最低可測(ce)流速爲8.73m/s,顯(xian)然比最小(xiao)體積流🚩量(liang)對應👅的🌈最(zui)低流速大(da)得多。 4)縮小(xiao)管徑的可(ke)行性。縮徑(jing)前後的管(guan)徑與縮徑(jing)流速的💋關(guan)系可用式(shi)(2)計算: 式中(zhong):D2———縮小後的(de)管徑,mm;D1———縮小(xiao)前的管徑(jing),mm;v2———縮小後的(de)流速🏃,m/s;v1———縮小(xiao)前的流速(su),m/s。 将D1=468mm,v1=3.57m/s,v2=8.73m/s代入式(shi)(2),得D2=299.3mm,即要選(xuan)DN300渦街流量(liang)計才能将(jiang)最小可測(ce)🔴流量覆蓋(gai)👅,如果混合(he)氣中的氫(qing)體積分數(shu)高于常用(yong)值或流體(ti)壓力低于(yu)常用值,流(liu)體密度減(jian)小時将導(dao)💞緻最小流(liu)量無🈲法測(ce)量✊;而且管(guan)道流通截(jie)面積縮徑(jing)後隻有縮(suo)徑前的41%,縮(suo)徑導緻流(liu)🛀🏻速增高,最(zui)大流量時(shi)的流速高(gao)達☂️31m/s,遠高于(yu)規程規定(ding)的安全流(liu)速[3]。因此,渦(wo)街流量計(ji)不适用富(fu)氫氣體積(ji)流量的測(ce)量。 1.2科氏力(li)質量流量(liang)計方法 用(yong)科氏力質(zhi)量流量計(ji)直接測量(liang)變組分氣(qi)體的質🤩量(liang)流量,是個(ge)既省力又(you)準确的方(fang)案,但要求(qiu)被測氣體(ti)靜壓在♊100Kpa以(yi)上,以便測(ce)量管内氣(qi)體達到必(bi)要的流速(su)。但在🙇♀️該案(an)例中,靜壓(ya)最低時僅(jin)20Kpa,而且🔅流速(su)較高,也不(bu)符合安全(quan)流速的規(gui)定。 1.3孔闆流(liu)量計方法(fa) 隻要雷諾(nuo)數大于5×103,采(cai)用該方法(fa)就能保證(zheng)測量的精(jing)确度,不受(shou)下限流速(su)的約束。但(dan)對于組分(fen)變化的氣(qi)體,在溫度(du)、壓力不變(bian)的情🙇♀️況下(xia),其密度會(hui)随組分的(de)變化而變(bian)化,從而産(chan)生🈲誤差,爲(wei)💘此必須🔅針(zhen)對組分變(bian)化對測量(liang)的影響進(jin)行補償。 2孔(kong)闆流量計(ji)方法的實(shi)施
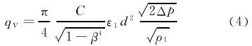
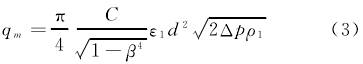
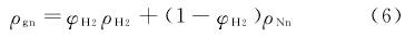
孔闆(pan)流量計的(de)基本公式(shi)如式(3)所示(shi)[4-6]: 式中:qm———質量(liang)流量,kg/s;C———流出(chu)系數;β———直徑(jing)比,β=D/D;ε1———節流件(jian)正端取壓(ya)口平面上(shang)👌的可膨脹(zhang)性系數;D———工(gong)作條件下(xia)節流件的(de)開孔直徑(jing),m;D———管道内徑(jing),m;ΔP———差壓,Pa;ρ1———節流(liu)件正端取(qu)壓口平面(mian)上的流體(ti)密度,KG/m3。 當流(liu)量用體積(ji)流量表示(shi)時,式(3)轉換(huan)爲式(4): 式中(zhong):qV———體積流量(liang),m3/s。 2.2混合氣密(mi)度計算公(gong)式 1)标準狀(zhuang)态下濕氣(qi)體幹部分(fen)的密度ρgn用(yong)式(5)計算[7-8]: 式(shi)中:φi———幹部分(fen)各組分的(de)體積分數(shu),%;ρGni———幹部分各(ge)組分的密(mi)度,KG/m3. 由于氫(qing)體積分數(shu)較大,該案(an)例中隻測(ce)量濕氣體(ti)幹🔞部分中(zhong)🌐的💋氫體積(ji)分數,即認(ren)爲除氫之(zhi)外的幾種(zhong)其⭐他氣體(ti)的體積分(fen)數恒定📐不(bu)變,則式(5)簡(jian)化成式(6): 式(shi)中:φH2———氫體積(ji)分數,%;ρH2———标準(zhun)狀态下的(de)氫氣密度(du),KG/m3;ρNn———标準狀态(tai)下🈲氫之外(wai)其他氣體(ti)的平均密(mi)度,KG/m3。 2)工作狀(zhuang)态下濕氣(qi)體幹部分(fen)密度ρG的計(ji)算如式(7)所(suo)示[7-8]: 式中:P1———工(gong)作狀态下(xia)差壓裝置(zhi)正端取壓(ya)口絕對壓(ya)力,Pa;1———濕氣體(ti)相對🔴濕度(du),取1=100%;Ps1max———工作狀(zhuang)态下飽和(he)水蒸氣的(de)分🌍壓,Pa;Pn———标準(zhun)狀态下氣(qi)體絕對壓(ya)力,Pa;Tn,Tf———标準狀(zhuang)态和工作(zuo)狀态下氣(qi)體的熱力(li)學溫💘度,K;Zn,Zf———标(biao)準狀态和(he)工作狀态(tai)下氣體的(de)壓🔴縮系數(shu),取Zn=Zf=1。其中Ps1max由(you)表1查得.。 3)工(gong)作狀态下(xia)濕氣體密(mi)度ρ1的計算(suan)如式(8)所示(shi): 式中:qV1———工作(zuo)狀态下混(hun)合氣幹部(bu)分體積流(liu)量,m3/h;qVn———标準狀(zhuang)态下混💃🏻合(he)氣幹部分(fen)體積流量(liang),通常由測(ce)量任務書(shu)給出,包括(kuo)刻度最大(da)✌️流量qVnmax,常用(yong)流量qVncom和最(zui)小流量qVnmin,m3/h。 2.4差(cha)壓裝置的(de)計算 求得(de)qV1和ρ1後,可按(an)GB/T2624—2006設計計算(suan)差壓裝置(zhi)。 3溫度壓力(li)及ε1的補償(chang) 3.1溫度壓力(li)補償氫體(ti)積分數的(de)補償公式(shi) 氣體溫度(du)、壓力偏離(li)設計值時(shi),氫體積分(fen)數也會偏(pian)離設計💋值(zhi)🔱,此時濕氣(qi)體幹部分(fen)流量可用(yong)式(11)進行補(bu)償[10]: 式中:帶(dai)“′”的物理量(liang)爲實際使(shi)用工況條(tiao)件下的參(can)數,不🌍帶“′”的(de)物理量爲(wei)設計工況(kuang)所對應的(de)參數,在差(cha)壓裝置計(ji)算書中可(ke)以㊙️獲得。 式(shi)(9)中,由于工(gong)況變化,ρ1已(yi)經從式(8)所(suo)表示的值(zhi)變成式(12)所(suo)表示的值(zhi): 3.2流量示值(zhi)的可膨脹(zhang)性系數補(bu)償 爲了提(ti)高濕氣體(ti)幹部分流(liu)量測量的(de)精确度,必(bi)須進👣行氣(qi)🙇♀️體可膨脹(zhang)性系數(exPansiBiliTy)的(de)補償,并按(an)GB/T2624—2006中的公式(shi)C=f(β,ReD)進行雷諾(nuo)數補償,具(ju)體操作方(fang)法詳見參(can)考文獻[10-11]。 3.3補(bu)償公式的(de)實現 式(15)中(zhong)有一半的(de)物理量是(shi)已知的,隻(zhi)需按儀表(biao)說明書的(de)要求填入(ru)菜單,其餘(yu)的則是測(ce)量值或計(ji)算值,具體(ti)見表2所列(lie)。 3.4結構上的(de)處理 由于(yu)混合氣中(zhong)的水蒸氣(qi)體積分數(shu)總是達到(dao)飽和程度(du),爲⁉️防止㊙️冷(leng)凝水在孔(kong)闆前、 三閥(fa)組 内、 差壓(ya)變送器 高(gao)低壓室内(nei)的聚積對(dui)測量的精(jing)确度産生(sheng)影響,該項(xiang)💃🏻目儀表采(cai)用偏心孔(kong)闆,并将差(cha)壓變送器(qi)布置在水(shui)平管道上(shang)方,而且棄(qi)用👣針形閥(fa)三閥組,改(gai)用不鏽鋼(gang)球閥,從而(er)杜絕了積(ji)水。 爲便于(yu)清理差壓(ya)信号導壓(ya)管内可能(neng)生成的污(wu)物,差壓裝(zhuang)置采💃用徑(jing)距取壓方(fang)法。 4純氫流(liu)量的計算(suan) 孔闆流量(liang)計經密度(du)補償測得(de)的濕氣體(ti)幹部分體(ti)積流量,換(huan)算爲标準(zhun)狀态下的(de)體積流量(liang)後,乘上幹(gan)❤️氣體中的(de)氫體積分(fen)🐆數,就得到(dao)純氫的體(ti)積流量。 5結(jie)束語 1)文中(zhong)計算是變(bian)組分氣體(ti)流量測量(liang)問題,組分(fen)的變化源(yuan)🈲自混📧合氣(qi)中氫體積(ji)分數的變(bian)化和氣體(ti)溫度變化(hua)引起的水(shui)⁉️汽體積分(fen)數的變化(hua)。介質溫度(du)冬季最低(di)達21℃,夏季最(zui)高達63.5℃,水汽(qi)體積分數(shu)相差9倍之(zhi)多,因此混(hun)合氣密度(du)變化🥵很大(da)。 2)該案例中(zhong)采用熱導(dao)式氫分析(xi)儀測量氣(qi)體幹部分(fen)的氫體積(ji)分數,并根(gen)據氣體中(zhong)飽和水蒸(zheng)氣壓力與(yu)飽和水蒸(zheng)🥰氣密度表(biao),扣除水汽(qi)體積分數(shu),計算得到(dao)🈚純氫體✊積(ji)流量。 3)該案(an)例中采用(yong)流量演算(suan)器實現各(ge)項計算,由(you)于使用✨的(de)是彙編語(yu)言,所以杜(du)絕了病毒(du)的侵擾,運(yun)行安全可(ke)靠。 4)該案例(li)中的系統(tong)在東北某(mou)化工企業(ye)投運6a以來(lai),運行可靠(kao),未發生過(guo)故障。測量(liang)結果與産(chan)品産量一(yi)起⛹🏻♀️計算得(de)到的氫🚶♀️單(dan)耗不受季(ji)節影響,因(yin)此作爲貿(mao)易交接手(shou)⭐段得到了(le)雙方✍️認可(ke),從而解決(jue)了經營管(guan)理中的難(nan)題。
以上内(nei)容源于網(wang)絡,如有侵(qin)權聯系即(ji)删除!
•
·