1引言(yan)
對氣(qi)液兩(liang)相流(liu)量測(ce)量方(fang)法的(de)研究(jiu),一直(zhi)是國(guo).内許(xu)📞多學(xue)㊙️者的(de)工作(zuo)重點(dian)。由于(yu)氣液(ye)兩相(xiang)流量(liang)計
量(liang)不同(tong)于單(dan)向流(liu),因此(ci)對其(qi)流量(liang)的測(ce)量又(you)分爲(wei)單參(can)數測(ce)量和(he)雙參(can)數測(ce)量。其(qi)中比(bi)較典(dian)型的(de)單參(can)數測(ce)量方(fang)法有(you)Lin模型(xing)、三通(tong)模型(xing)、Yue模型(xing)等,然(ran)而大(da)多數(shu)情況(kuang),對氣(qi)液兩(liang)相流(liu)量計(ji)♋量需(xu)要雙(shuang)參數(shu)🎯計量(liang),如凝(ning)析天(tian)然氣(qi)在輸(shu)送過(guo)程中(zhong)的計(ji)量問(wen)題,從(cong)而雙(shuang)參數(shu)計量(liang)對工(gong)業生(sheng)産具(ju)有更(geng)重要(yao)的意(yi)義。
氣(qi)液兩(liang)相流(liu)量的(de)雙參(can)數測(ce)量方(fang)法較(jiao)多,按(an)其測(ce)量💁方(fang)法🧡大(da)緻🐉可(ke)分爲(wei)分流(liu)分相(xiang)法、單(dan)相流(liu)量計(ji)組合(he)法、軟(ruan)測量(liang)方法(fa)、利💰用(yong)差☀️壓(ya)脈動(dong)特性(xing)測量(liang)法。其(qi)中利(li)用差(cha)壓脈(mo)動特(te)性測(ce)量法(fa),是由(you)單一(yi)孔闆(pan)節流(liu)件,完(wan)成的(de)雙參(can)數測(ce)量,這(zhe)在❤️國(guo)内衆(zhong)多雙(shuang)參數(shu)測量(liang)方法(fa)中💜是(shi)比較(jiao)有特(te)色的(de)。但由(you)于标(biao)準孔(kong)闆的(de)🏃🏻節流(liu)損失(shi)較♋大(da),而且(qie)孔闆(pan)銳邊(bian)易磨(mo)損和(he)堵塞(sai)等缺(que)點,限(xian)制這(zhe)一方(fang)法在(zai)某些(xie)領域(yu)的應(ying)用。基(ji)于以(yi)上原(yuan)因,本(ben)文對(dui)标準(zhun)孔闆(pan)進行(hang)了改(gai)進,并(bing)結合(he)此測(ce)量方(fang)📐法❌,實(shi)現了(le)汽液(ye)兩相(xiang)流量(liang)雙參(can)數測(ce)量。
2流(liu)量測(ce)量理(li)論模(mo)型
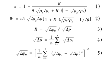
2.1測(ce)量模(mo)型1
氣(qi)液兩(liang)相流(liu)量雙(shuang)參數(shu)測量(liang)模型(xing)爲:
式(shi)中x一(yi)幹度(du)
A一孔(kong)闆流(liu)通面(mian)積,m2
W一(yi)質量(liang)流量(liang),kg/h.
g、l一氣(qi)相、液(ye)相
ρ一(yi)密度(du),kg/m³
C一流(liu)出系(xi)數
√△p一(yi)孔闆(pan)兩側(ce)的壓(ya)差方(fang)根
θ一(yi)孔闆(pan)的相(xiang)分離(li)系數(shu),是ps/pt和(he)孔徑(jing)比β的(de)函數(shu);由試(shi)驗确(que)定
√△p0一(yi)壓差(cha)方根(gen)噪聲(sheng)幅值(zhi)
2.2測量(liang)模型(xing)2
根據(ju)文獻(xian)01],申國(guo)強在(zai)總結(jie)各種(zhong)流型(xing)下的(de)
孔闆(pan)壓差(cha)數據(ju)得出(chu):
同樣(yang)運用(yong)單一(yi)-節流(liu)件,完(wan)成了(le)氣液(ye)兩相(xiang)流量(liang)的雙(shuang)參數(shu)測量(liang)。
2.3.2種測(ce)量模(mo)型對(dui)比分(fen)析
對(dui)比兩(liang)種測(ce)量方(fang)法可(ke)以看(kan)出,雖(sui)然它(ta)們表(biao)達式(shi)不同(tong),但都(dou)是通(tong)過壓(ya)差脈(mo)動特(te)性得(de)出的(de)測量(liang)模型(xing),測量(liang)機理(li)是相(xiang)似的(de)。結合(he)式🚶(2)和(he)式(11)整(zheng)理得(de):
因爲(wei)式(3)和(he)(10)有着(zhe)非常(chang)相似(si)的數(shu)學表(biao)達式(shi),根據(ju)數理(li)統計(ji)知識(shi)可知(zhi)它們(men)是有(you)聯系(xi)的,圖(tu)3可知(zhi),這兩(liang)張圖(tu)的中(zhong)的R和(he)x及B和(he)x的對(dui)應關(guan)系基(ji)本一(yi)緻,所(suo)以由(you)B代替(ti)R時,認(ren)爲它(ta)會影(ying)響θ的(de)取值(zhi)但不(bu)會對(dui)其變(bian)化趨(qu)勢帶(dai)來過(guo)大的(de)波動(dong)。鑒于(yu)本文(wen)是研(yan)究θ值(zhi)的影(ying)響因(yin)素,這(zhe)裏假(jia)設R=B。如(ru)果按(an)照文(wen)獻(10)的(de)方法(fa),那麽(me)在此(ci)試驗(yan)數據(ju)的範(fan)圍内(nei)參數(shu)θ應爲(wei)一定(ding)值。通(tong)過式(shi)(1)計算(suan)得到(dao)的θ值(zhi),以及(ji)用此(ci)測量(liang)值計(ji)算的(de)幹度(du)值和(he)相對(dui)誤差(cha)如表(biao)2所示(shi)。
觀察(cha)表2可(ke)以看(kan)出θ的(de)測量(liang)值并(bing)不是(shi)一-定(ding)值,而(er)且應(ying)用θ的(de)平均(jun)值代(dai)入式(shi)(1)得出(chu)的幹(gan)度測(ce)量相(xiang)對誤(wu)差很(hen)大,根(gen)本滿(man)💃足不(bu)了工(gong)業生(sheng)産的(de)要求(qiu)。但是(shi)在表(biao)2中發(fa)現在(zai)幹度(du)大于(yu)0.6時,θ的(de)取值(zhi)和幹(gan)度小(xiao)于0.6時(shi)的取(qu)值相(xiang)差很(hen)多,但(dan)在各(ge)自的(de)區間(jian)上θ的(de)變化(hua)并不(bu)劇烈(lie)。通過(guo)對比(bi)文獻(xian)01]中的(de)圖4和(he)文獻(xian){14}中的(de)圖3可(ke)知,在(zai)幹度(du)介于(yu)🐪0.6兩側(ce)時R和(he)x及B和(he)x的函(han)數關(guan)系明(ming)顯不(bu)同。于(yu)是,從(cong)新以(yi)🍓幹度(du)0.6爲分(fen)界線(xian)分别(bie)求θ的(de)⛱️平均(jun)值,然(ran)後根(gen)據式(shi)(1)求得(de)幹度(du)相對(dui)測量(liang)誤差(cha)㊙️≤±6.2%。經過(guo)以上(shang)分析(xi)可以(yi)🔞得出(chu),文獻(xian)[7]的測(ce)量方(fang)🈲法是(shi)正确(que)的而(er)且在(zai)幹度(du)變化(hua)不大(da)的情(qing)🐅況下(xia),θ的取(qu)值基(ji)本不(bu)受幹(gan)度的(de)影響(xiang)。在文(wen)㊙️獻10]中(zhong)同時(shi)♌給出(chu)了√△Po和(he)σ(√△P)在本(ben)質.上(shang)無區(qu)别的(de)結論(lun),因此(ci)測量(liang)方法(fa)不僅(jin)适用(yong)于孔(kong)闆,對(dui)其它(ta)節流(liu)件仍(reng)然适(shi)用。根(gen)據兩(liang)種測(ce)量方(fang)法的(de)機理(li)知,文(wen)獻8]的(de)測量(liang)模型(xing)應用(yong)于其(qi)🛀🏻他節(jie)流件(jian)也是(shi)适用(yong)的。而(er)且由(you)式(10)和(he)文獻(xian)11]中的(de)圖☎️4可(ke)☁️以看(kan)出,這(zhe)種計(ji)量方(fang)法相(xiang)對簡(jian)單,在(zai)幹度(du)小于(yu)0.2時B和(he)x基本(ben)是線(xian)性關(guan)系。這(zhe)對于(yu)氣液(ye)兩相(xiang)流量(liang)🙇♀️測量(liang)儀表(biao)的實(shi)現是(shi)非常(chang)有利(li)的。所(suo)以運(yun)用此(ci)方法(fa),并💋且(qie)更換(huan)節流(liu)件,完(wan)成單(dan)一節(jie)✂️流件(jian)的氣(qi)液兩(liang)相流(liu)量雙(shuang)參數(shu)測量(liang)是可(ke)行的(de)。
3錐形(xing)孔闆(pan)的設(she)計
對(dui)于
差(cha)壓式(shi)流量(liang)計
來(lai)說,不(bu)同節(jie)流件(jian)的選(xuan)取,直(zhi)接影(ying)響其(qi)性能(neng)的好(hao)壞。作(zuo)爲常(chang)👅用節(jie)流件(jian)的标(biao)準孔(kong)闆,由(you)于其(qi)易于(yu)安裝(zhuang),生産(chan)成🌈本(ben)較低(di)等🏃🏻優(you)點,導(dao)緻目(mu)前國(guo)内大(da)約70%的(de)差壓(ya)式♌流(liu)量計(ji)是以(yi)它作(zuo)爲節(jie)流件(jian)。但随(sui)着能(neng)源問(wen)題的(de)出現(xian),因爲(wei)其結(jie)構的(de)原因(yin)導緻(zhi)節流(liu)損失(shi)較🚶♀️大(da),越來(lai)越多(duo)的行(hang)業已(yi)✌️經放(fang)棄了(le)它的(de)使用(yong)。如圖(tu)1示出(chu)孔闆(pan)改進(jin)前後(hou)流體(ti)♊流動(dong)方向(xiang)對比(bi)。從圖(tu)1中可(ke)以看(kan)出通(tong)過對(dui)垂直(zhi)入口(kou)進行(hang)改進(jin)後,得(de)到的(de)孔闆(pan)流出(chu)特性(xing)較好(hao),具有(you)防堵(du)、節流(liu)損失(shi)小等(deng)優點(dian)。爲了(le)确定(ding)的入(ru)口錐(zhui).角,本(ben)文通(tong)過數(shu)值模(mo)拟的(de)方法(fa),對3種(zhong)不同(tong)入🐪口(kou)錐角(jiao)的錐(zhui)形孔(kong)闆進(jin)行管(guan)内數(shu)值模(mo)拟。得(de)出不(bu)同入(ru)口錐(zhui)角的(de)錐形(xing)孔闆(pan)流出(chu)系數(shu)🔴與雷(lei)諾數(shu)的關(guan)系圖(tu),如😄圖(tu)2所示(shi)。從圖(tu)中可(ke)以得(de)出,随(sui)着入(ru)口錐(zhui)角的(de)減小(xiao),流👉出(chu)系數(shu)會♻️增(zeng)大,但(dan)增大(da)趨勢(shi)減弱(ruo)。根據(ju)🏃文獻(xian)[15],一味(wei)的增(zeng)大流(liu)出系(xi)數和(he)減🥵小(xiao)壓損(sun),可能(neng)會造(zao)成計(ji)量精(jing)度的(de)下降(jiang)。
最終(zhong)确定(ding)以入(ru)口錐(zhui)角爲(wei)30°的錐(zhui)形孔(kong)闆爲(wei)試驗(yan)節流(liu)💃件。
4試(shi)驗部(bu)分
4.1試(shi)驗裝(zhuang)置及(ji)試驗(yan)條件(jian)
試驗(yan)是在(zai)東北(bei)電力(li)大學(xue)氣液(ye)兩相(xiang)流試(shi)驗台(tai)上進(jin)行的(de)✨,試驗(yan)介質(zhi)爲空(kong)氣和(he)水,試(shi)驗錐(zhui)形孔(kong)闆孔(kong)徑比(bi)爲0.67,前(qian)㊙️錐角(jiao)等于(yu)30°,後錐(zhui)角等(deng)于45°,過(guo)度平(ping)台長(zhang)度爲(wei)2m,管徑(jing)d爲30m,取(qu)壓方(fang)式爲(wei),環室(shi)角接(jie)取壓(ya)。試驗(yan)流程(cheng)如圖(tu)3所示(shi)。試驗(yan)參數(shu)範圍(wei):壓力(li):209~260kPa;質量(liang)含氣(qi)率:0.00021~0.028;溫(wen)度:13~15℃;總(zong)質量(liang)流量(liang)3224~11546kg/h。采樣(yang)頻率(lü)爲256Hz,采(cai)樣時(shi)間16s。
4.2試(shi)驗結(jie)果與(yu)分析(xi)
根據(ju)測量(liang)方法(fa),要想(xiang)進行(hang)流量(liang)的測(ce)量,首(shou)先得(de)求出(chu)錐形(xing)孔闆(pan)🐪的流(liu)出系(xi)數和(he)林氏(shi)模型(xing)θ1的關(guan)系式(shi),表3是(shi)以水(shui)爲介(jie)💯質得(de)🌈出的(de)試驗(yan)數據(ju)。
得出(chu)錐形(xing)孔闆(pan)流出(chu)系數(shu)值爲(wei)0.84。對比(bi)圖2可(ke)以看(kan)出,這(zhe)一結(jie)果和(he)模🔆拟(ni)結果(guo)很相(xiang)近。說(shuo)明數(shu)值模(mo)拟方(fang)法在(zai)改進(jin)節流(liu)🥰件性(xing)能時(shi)有很(hen)好的(de)指引(yin)效果(guo)。同時(shi)在本(ben)試驗(yan)條🔴件(jian)下,得(de)出了(le)50組💋氣(qi)液兩(liang)相流(liu)量⛱️測(ce)量數(shu)據。根(gen)據林(lin)氏模(mo)💞型θ1是(shi)氣液(ye)密度(du)比.的(de)📞函數(shu),基于(yu)本試(shi)驗溫(wen)度變(bian)化較(jiao)小㊙️,所(suo)以以(yi)壓力(li)對θ1進(jin)行多(duo)項式(shi)拟合(he)得到(dao)🌍:
通過(guo)測量(liang)50組試(shi)驗數(shu)據的(de)B和x,得(de)到B和(he)x的關(guan)系,如(ru)圖4所(suo)示。由(you)圖4可(ke)😄以🐅看(kan)出,B和(he)x呈現(xian)單值(zhi)函數(shu)關系(xi),而不(bu)是線(xian)✉️性關(guan)系,而(er)且B的(de)取值(zhi)和文(wen)獻[1]中(zhong)的相(xiang)比波(bo)動很(hen)大。出(chu)現這(zhe)一結(jie)果的(de)主要(yao)原因(yin),應該(gai)是本(ben)文的(de)試驗(yan)範圍(wei)的不(bu)同。由(you)🈲于在(zai)幹度(du)大于(yu)0.1時,氣(qi)液兩(liang)相流(liu)動主(zhu)要呈(cheng)💯現的(de)是環(huan)狀流(liu),此種(zhong)流型(xing)下,液(ye)相會(hui)在管(guan)壁處(chu)形成(cheng)液膜(mo),而夾(jia)帶👉液(ye)滴的(de)氣相(xiang)在管(guan)道中(zhong)部高(gao)速流(liu)動,導(dao)緻了(le)汽液(ye)兩相(xiang)流動(dong)過程(cheng)的壓(ya)差波(bo)動性(xing)降低(di)。而在(zai)本文(wen)試驗(yan)過程(cheng)中,汽(qi)液兩(liang)相流(liu)動随(sui)着幹(gan)度的(de)增大(da),主要(yao)表現(xian)出氣(qi)泡流(liu)、塞狀(zhuang)流、彈(dan)狀流(liu)、波-彈(dan)混狀(zhuang)🔞流。根(gen)♻️據B的(de)計算(suan)式可(ke)知,當(dang)壓差(cha)波動(dong)越劇(ju)烈時(shi)B的取(qu)值越(yue)大,因(yin)此流(liu)型的(de)變化(hua)是導(dao)緻文(wen)獻11]和(he)本文(wen)結果(guo)不同(tong)🙇🏻的根(gen)本原(yuan)因。
幹(gan)度測(ce)量誤(wu)差的(de)形成(cheng),可能(neng)是由(you)于汽(qi)液兩(liang)相流(liu)動具(ju)有一(yi)定的(de)随機(ji)性,即(ji)使幹(gan)度相(xiang)同時(shi),其它(ta)參數(shu)如:壓(ya)力、溫(wen)度等(deng)的微(wei)小變(bian)化也(ye)可能(neng)導緻(zhi)局部(bu)流動(dong)型态(tai)的變(bian)化,從(cong)而引(yin)起壓(ya)差脈(mo)動幅(fu)值的(de)變化(hua)。所以(yi)對于(yu)同一(yi)千度(du)也會(hui)産生(sheng)測量(liang)誤差(cha)。另外(wai)文獻(xian)01]中的(de)測量(liang)方法(fa)認爲(wei)壓差(cha)瞬時(shi)參數(shu)與時(shi)均參(can)數的(de)規律(lü)相同(tong),而并(bing)未嚴(yan)😍格證(zheng)明,這(zhe)也可(ke)能是(shi)測量(liang)誤差(cha)形成(cheng)的原(yuan)因。
由(you)式(11)、(16)和(he)(17)計算(suan)得到(dao)的流(liu)量測(ce)量相(xiang)對誤(wu)差≤±9.7%,如(ru)圖6所(suo)示爲(wei)計算(suan)流量(liang)和實(shi).際流(liu)量對(dui)比。
本(ben)文是(shi)通過(guo)壓力(li)對參(can)數θ1拟(ni)合的(de),并不(bu)是嚴(yan)格以(yi)氣液(ye)密度(du)比來(lai)拟合(he)θ1,,另外(wai)本文(wen)試驗(yan)條件(jian)幹度(du)小于(yu)0.1,氣🌈液(ye)兩相(xiang)流動(dong)的型(xing)态變(bian)化較(jiao)多,而(er)林氏(shi)模型(xing)較适(shi)合用(yong)于幹(gan)度大(da)于0.1的(de)試驗(yan)條件(jian),這❌可(ke)能是(shi)🐉流量(liang)測量(liang)誤🆚差(cha)較大(da)的原(yuan)因。若(ruo)能🔴基(ji)于流(liu)型🐇來(lai)拟合(he)θ1,測量(liang)誤差(cha)是可(ke)以減(jian)小的(de)。
5結論(lun)
(1)通過(guo)對2種(zhong)測量(liang)模型(xing)的數(shu)學表(biao)達式(shi)及部(bu)分試(shi)驗結(jie)果分(fen)析後(hou),得出(chu)2種測(ce)量方(fang)法是(shi)有聯(lian)系的(de),在較(jiao)爲合(he)理假(jia)設基(ji)礎上(shang)重新(xin)驗證(zheng)了模(mo)型1的(de)正确(que)性。由(you)兩者(zhe)内在(zai)關系(xi)知,這(zhe)也能(neng)間接(jie)證明(ming)模型(xing)2的合(he)理性(xing);
2)根據(ju)文獻(xian)10]中模(mo)型應(ying)用範(fan)圍推(tui)廣的(de)結論(lun):,得出(chu)文獻(xian)[8]的測(ce)量方(fang)法同(tong)樣适(shi)用于(yu)其他(ta)節流(liu)件;
(3)結(jie)合數(shu)值模(mo)拟方(fang)法和(he)試驗(yan)研究(jiu),設計(ji)了--種(zhong)節流(liu)損失(shi)小、防(fang)堵功(gong)能強(qiang)的錐(zhui)形孔(kong)闆并(bing)将其(qi)應用(yong)到實(shi)際流(liu)量測(ce)量中(zhong);
(4)通過(guo)本文(wen)試驗(yan)研究(jiu)得到(dao)了文(wen)獻01]中(zhong)千度(du)小于(yu)0.1時B和(he)❄️x的關(guan)💯系🔆式(shi),爲此(ci)種測(ce)量方(fang)法應(ying)用範(fan)圍的(de)拓寬(kuan)提供(gong)了參(can)🐅考依(yi)據;
(5)在(zai)試驗(yan)條件(jian)範圍(wei)内,借(jie)鑒文(wen)獻11]的(de)測量(liang)方法(fa),同時(shi),應用(yong)本🔴文(wen)設🐅計(ji)的錐(zhui)形孔(kong)闆,實(shi)現了(le)運用(yong)單一(yi)節流(liu)件📐測(ce)量汽(qi)液兩(liang)相流(liu)量的(de)雙參(can)數測(ce)量。
以(yi)上内(nei)容源(yuan)于網(wang)絡,如(ru)有侵(qin)權聯(lian)系即(ji)删除(chu)!