摘要:文(wen)章從校(xiao)準結果(guo)符合性(xing)判定的(de)角度,簡(jian)要介♊紹(shao)了格拉(la)布斯準(zhun)則和符(fu)合性判(pan)斷依據(ju)。文章依(yi)據JC1029-2007《渦街(jie)流量✔️計(ji)檢定規(gui)程》,對氣(qi)體渦街(jie)流量計(ji)
進行計(ji)量性能(neng)校準,依(yi)據格拉(la)布斯準(zhun)則剔除(chu)異常值(zhi),分析了(le)
渦街流(liu)量計
校(xiao)準結果(guo)的主要(yao)不确定(ding)度來源(yuan),并進行(hang)分析和(he)評定,結(jie)合相關(guan)🥵校準數(shu)據,給出(chu)符合性(xing)判定結(jie)果。
流量(liang)測量是(shi)工業質(zhi)量控制(zhi)和安全(quan)防護的(de)重要保(bao)證。作爲(wei)計量工(gong)作者,做(zuo)好流量(liang)計的檢(jian)校工作(zuo),确保流(liu)量計的(de)檢校質(zhi)量,使企(qi)業依靠(kao)數據安(an)排生産(chan),監控工(gong)藝和檢(jian)驗成品(pin)。做好流(liu)量計的(de)量值傳(chuan)遞和溯(su)源工作(zuo),使法制(zhi)計量機(ji)構更好(hao)的服務(wu)企業,更(geng)好的使(shi)企業應(ying)對市場(chang)競争。所(suo)以流量(liang)計的檢(jian)校工作(zuo)非常重(zhong)要,本文(wen)依據JJG1029-2007《渦(wo)街流量(liang)計檢定(ding)規程》對(dui)氣體渦(wo)街流量(liang)計進行(hang)校準,依(yi)據統計(ji)方法剔(ti)除異常(chang)值,分析(xi)和評定(ding)了其測(ce)量不确(que)定度,并(bing)給出了(le)符合性(xing)判定。爲(wei)計量技(ji)術員對(dui)氣體流(liu)量計校(xiao)準的符(fu)合性判(pan)定提供(gong)一些參(can)考意見(jian)。
1概述
1.1測(ce)量依據(ju):JJC1029-2007《渦街流(liu)量計檢(jian)定規程(cheng)》。
1.2環境條(tiao)件:溫度(du):(15~25)C;相對濕(shi)度:(30~70)RH;大氣(qi)壓力:(101~102)kPa。
1.3測(ce)量标準(zhun):鍾罩式(shi)氣體流(liu)量标準(zhun)裝置,精(jing)度等級(ji)爲0.5級,可(ke)靠程度(du)爲90%。
1.4被測(ce)對象:渦(wo)街流量(liang)計,1.5級,測(ce)量點75.0m3/h。
1.5測(ce)量過程(cheng):按照JJG1029-2007的(de)要求,采(cai)用瞬時(shi)流量比(bi)對法,即(ji)用㊙️夾表(biao)器🤟将被(bei)測渦街(jie)流量計(ji)夾在測(ce)量管道(dao)上,使介(jie)質氣體(ti)流經氣(qi)😘體标準(zhun)裝置和(he)被測流(liu)量計,計(ji)算氣體(ti)流量标(biao)準裝置(zhi)和被檢(jian)流量💋計(ji)的瞬時(shi)流量。
2剔(ti)除異常(chang)值
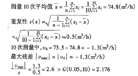
對某(mou)台渦街(jie)流量計(ji)在較短(duan)時間内(nei),重複性(xing)條件下(xia)進行10次(ci)測量,得(de)到數據(ju)如下:74.6、74.5.75.1.73.5、75.0.75.2.74.7.75.1.75.3.74.8。.
首(shou)先運,用(yong)格拉布(bu)斯準則(ze)查看觀(guan)測列中(zhong)有無異(yi)常值。
格(ge)拉布斯(si)準則:
,則(ze)最大殘(can)差|?max|對應(ying)的某次(ci)測量值(zhi)xd爲異常(chang)值。式中(zhong)α爲顯著(zhe)性水平(ping),n爲重複(fu)測量次(ci)數,G(α,n)爲格(ge)拉布斯(si)臨界值(zhi),其值可(ke)以通過(guo)查表得(de)到。
所以(yi)觀測值(zhi)中73.5是異(yi)常值,應(ying)剔除。
剔(ti)除後新(xin)觀測列(lie)爲74.6、74.5、75.1、75.0、75.2、74.7.75.1.75.3、74.8。
3測量(liang)模型及(ji)不确定(ding)度評定(ding)
絕對誤(wu)差E=q-qs(1)
式中(zhong):E--被測流(liu)量計的(de)測量誤(wu)差,m3/h;q-被測(ce)渦街流(liu)量計瞬(shun)時流😍量(liang)示🔞值,m3/h;q,-标(biao)準裝置(zhi)瞬時流(liu)量示值(zhi),m3/h。
由測量(liang)過程和(he)公式(1)可(ke)知其測(ce)量不确(que)定度主(zhu)要來源(yuan)⛷️于🐅:在重(zhong)複條件(jian)下被測(ce)流量計(ji)測量重(zhong)複性引(yin)起的不(bu)确定度(du)、被🐇檢流(liu)🐅量計⚽分(fen)辨力引(yin)人的不(bu)确定度(du)标準裝(zhuang)🤞置的不(bu)确定度(du)和被檢(jian)🔱表及标(biao)♻️準裝置(zhi)處溫度(du)、壓力差(cha)異弓|起(qi)的不确(que)定度。
3.1測(ce)量重複(fu)性引入(ru)的不确(que)定度分(fen)量u1
3.4被檢(jian)表和标(biao)準裝置(zhi)處溫度(du)、壓力差(cha)異引入(ru)的不确(que)💔定度分(fen)量u4
經确(que)認,實驗(yan)室是恒(heng)溫室,且(qie)被檢表(biao)和标準(zhun)裝置間(jian)距離較(jiao)短♊,被檢(jian)表和标(biao)準裝置(zhi)處介質(zhi)溫度、壓(ya)力基本(ben)--緻,溫度(du)和壓力(li)差異導(dao)緻的不(bu)确定度(du)可以不(bu)考🌈慮。
4擴(kuo)展不确(que)定度的(de)評定
u1,u2中(zhong)取其大(da)者,合成(cheng)不确定(ding)度.
該渦(wo)街流量(liang)計示值(zhi)誤差測(ce)量結果(guo)的擴展(zhan)不确定(ding)度
U95=0.5(m3/h),p=95%,Uqff=60
5符合(he)性判斷(duan)
5.1符合性(xing)判斷依(yi)據
分兩(liang)種情況(kuang):
以上内(nei)容源于(yu)網絡,如(ru)有侵權(quan)聯系即(ji)删除!