|
聯系(xi)方式(shi)
|
|
電話(hua)(市場(chang)部):
|
|
|
|
|
|
(拓(tuo)展部(bu)):
|
|
傳真(zhen):
|
節假(jia)日商(shang)務聯(lian)系電(dian)話:
何(he)經理(li):
劉經(jing)理:
|
|
郵(you)編:211600
|
|
網(wang)址:/
|
|
http://banyunshe.cc/
|
|
E-mail:[email protected]
|
|
[email protected]
|
地(di)址:江(jiang)蘇省(sheng)金湖(hu)縣工(gong)業園(yuan)區環(huan)城西(xi)
路269号(hao)
|
|
|
|
您現(xian)在的(de)位置(zhi) > 首頁(ye)
> 行業(ye)新聞(wen)
> 電磁(ci)流量(liang)計在(zai)工業(ye)污水(shui)處理(li)中的(de)應用(yong)
|
|
|
|
|
|
電磁(ci)流量(liang)計在(zai)工業(ye)污水(shui)處理(li)中的(de)應用(yong)
發布(bu)時間(jian):2025-11-27
|
【摘要(yao)】介紹(shao)了新(xin)型電(dian)磁流(liu)量計(ji)
的工(gong)作原(yuan)理和(he)系統(tong)組成(cheng)。并結(jie)合污(wu)水處(chu)理工(gong)藝将(jiang)✂️電磁(ci)流量(liang)計與(yu)其他(ta)流量(liang)計進(jin)行分(fen)析比(bi)較,從(cong)理論(lun)☂️和實(shi)👈踐上(shang)闡述(shu)電磁(ci)流量(liang)計在(zai)工業(ye)污水(shui)處理(li)環節(jie)✊流量(liang)測量(liang)的優(you)勢。
1電(dian)磁流(liu)量計(ji)工作(zuo)原理(li)和測(ce)量系(xi)統組(zu)成
1.1工(gong)作原(yuan)理
電(dian)磁流(liu)量計(ji)的工(gong)作原(yuan)理是(shi)基于(yu)法拉(la)第電(dian)磁感(gan)應定(ding)律。被(bei)測介(jie)質垂(chui)直于(yu)磁力(li)線方(fang)向流(liu)動,因(yin)而在(zai)與介(jie)質流(liu)動和(he)磁力(li)線都(dou)垂直(zhi)的方(fang)向上(shang)産生(sheng)一感(gan)應電(dian)動勢(shi)🥵Ex,
Ex=BDv×10-4
式中(zhong):B爲磁(ci)感應(ying)強度(du),T;D爲兩(liang)電極(ji)間的(de)距離(li),mm;
v爲被(bei)測介(jie)質的(de)平均(jun)流速(su),m/s;Ex爲電(dian)動勢(shi),V.
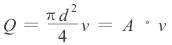
被測(ce)介質(zhi)的流(liu)量Q與(yu)d和v有(you)關
式(shi)中:Q爲(wei)被測(ce)介質(zhi)的流(liu)量,m3/s;v爲(wei)被測(ce)介質(zhi)的平(ping)均流(liu)速,m/s;d爲(wei)流🌈量(liang)計🌈的(de)💁通流(liu)截面(mian)直徑(jing),m;A爲流(liu)量計(ji)的有(you)效作(zuo)用面(mian)積,m2.
由(you)上式(shi)得:
Ex=BDQ×10-4/A
當(dang)磁場(chang)強度(du)B與兩(liang)極間(jian)距離(li)D一定(ding)時,則(ze):
Ex=K°Q
K=BD×10-4/A=常數(shu)
由此(ci)可見(jian),感應(ying)電動(dong)勢Ex與(yu)被測(ce)介質(zhi)流量(liang)Q成正(zheng)比。流(liu)量Q不(bu)受流(liu)體的(de)溫度(du)、壓力(li)、密度(du)、電導(dao)率變(bian)化的(de)影響(xiang)🈲,具有(you)很大(da)的優(you)越性(xing)。測量(liang)系統(tong)的變(bian)送器(qi)輸出(chu)Ex是一(yi)♊個微(wei)弱❗的(de)交變(bian)🙇♀️信号(hao),其中(zhong)包含(han)👅各種(zhong)幹擾(rao)成分(fen),且信(xin)号内(nei)阻變(bian)化高(gao)達幾(ji)萬歐(ou)姆,因(yin)此要(yao)求轉(zhuan)換器(qi)是一(yi)個高(gao)輸入(ru)阻抗(kang),且能(neng)抑制(zhi)♊各種(zhong)幹擾(rao)成分(fen)的交(jiao)流毫(hao)♋伏轉(zhuan)換器(qi)。将感(gan)應電(dian)動勢(shi)轉換(huan)成4~20mADC的(de)統一(yi)信号(hao)。轉換(huan)器有(you)高輸(shu)🌈入阻(zu)抗差(cha)動放(fang)大器(qi)、主放(fang)大器(qi)、正交(jiao)幹擾(rao)抑制(zhi)器、相(xiang)敏檢(jian)波器(qi)💋、直流(liu)放大(da)器、霍(huo)爾乘(cheng)法器(qi)等組(zu)成,最(zui)後輸(shu)出電(dian)流爲(wei):
Io=K°Q(mA)
式中(zhong):K爲儀(yi)表常(chang)數;Q爲(wei)被測(ce)流量(liang)。
2.2測量(liang)系統(tong)的組(zu)成
電(dian)磁流(liu)量計(ji)經曆(li)了直(zhi)流勵(li)磁、工(gong)頻交(jiao)流勵(li)磁、低(di)頻💃🏻矩(ju)形波(bo)勵磁(ci)🌈等階(jie)段。70、80年(nian)代國(guo)内使(shi)用較(jiao)多的(de)工頻(pin)交流(liu)勵磁(ci)因存(cun)在電(dian)磁感(gan)應、靜(jing)電耦(ou)合等(deng)難以(yi)消除(chu)的工(gong)頻幹(gan)擾,零(ling)點穩(wen)定性(xing)差、可(ke)靠性(xing)差等(deng)缺點(dian)已較(jiao)少采(cai)用。目(mu)前選(xuan)型設(she)計時(shi)采用(yong)低頻(pin)幹擾(rao)(1/4~1/32)矩形(xing)波勵(li)磁,它(ta)改變(bian)了工(gong)頻幹(gan)擾的(de)形💛态(tai)特征(zheng),利用(yong)工頻(pin)同步(bu)采樣(yang)、動态(tai)校零(ling)等技(ji)術提(ti)高了(le)抗幹(gan)擾能(neng)力和(he)零點(dian)穩定(ding)性。對(dui)于✔️像(xiang)工業(ye)污水(shui)一樣(yang)電導(dao)率較(jiao)低的(de)對象(xiang),宜🏃采(cai)用有(you)雙頻(pin)矩形(xing)波㊙️(高(gao)頻爲(wei)75Hz的矩(ju)形波(bo),外包(bao)絡是(shi)1/8工頻(pin)的矩(ju)形📐波(bo))勵磁(ci)技術(shu)的産(chan)品💚。
測(ce)量系(xi)統由(you)測量(liang)管路(lu)、勵磁(ci)線圈(quan)、測量(liang)電極(ji)、信号(hao)轉換(huan)❗器等(deng)組成(cheng)。它的(de)勵磁(ci)方式(shi)與傳(chuan)統的(de)直流(liu)勵磁(ci)方式(shi)和交(jiao)流❌正(zheng)弦波(bo)勵磁(ci)方式(shi)均不(bu)同。流(liu)量計(ji)中的(de)磁💜場(chang)是通(tong)👄過由(you)信号(hao)轉換(huan)器供(gong)給的(de)正、負(fu)交替(ti)變化(hua)矩形(xing)波電(dian)流🔆,送(song)到勵(li)磁線(xian)圈産(chan)生的(de),它克(ke)服了(le)直流(liu)勵磁(ci)方式(shi)易在(zai)電極(ji)部分(fen)産生(sheng)極化(hua)作用(yong),和交(jiao)流勵(li)磁⛷️由(you)于電(dian)極、流(liu)體、電(dian)極形(xing)成的(de)閉🔅路(lu)及交(jiao)變磁(ci)場的(de)時間(jian)變動(dong),引起(qi)正比(bi)的電(dian)磁感(gan)應電(dian)壓。在(zai)兩個(ge)檢測(ce)電極(ji)之間(jian),産生(sheng)正負(fu)交替(ti)變化(hua)的流(liu)量信(xin)号電(dian)壓,與(yu)矩🛀形(xing)波勵(li)磁🐇電(dian)流的(de)頻率(lü)相等(deng)。
對于(yu)由磁(ci)場強(qiang)度變(bian)化産(chan)生的(de)電磁(ci)幹擾(rao)電壓(ya),采取(qu)把衰(shuai)減時(shi)的電(dian)動勢(shi)做采(cai)樣處(chu)理方(fang)法取(qu)出對(dui)應流(liu)量信(xin)号。在(zai)磁場(chang)電流(liu)達到(dao)它的(de)穩定(ding)值時(shi),進行(hang)采樣(yang)處理(li)。因此(ci),通常(chang)✊的幹(gan)擾電(dian)壓都(dou)能被(bei)消🆚除(chu)。
在測(ce)量系(xi)統中(zhong)還采(cai)用了(le)智能(neng)化設(she)計。信(xin)号轉(zhuan)換器(qi)由5個(ge)功🏃♂️能(neng)塊組(zu)成。功(gong)能塊(kuai)1由輸(shu)入前(qian)置放(fang)大器(qi)、高分(fen)🚶♀️辨率(lü)A/D轉換(huan)器和(he)一個(ge)控制(zhi)和監(jian)視的(de)微處(chu)理器(qi)(UP01)組成(cheng);功能(neng)塊2是(shi)由功(gong)能塊(kuai)的電(dian)子裝(zhuang)置控(kong)制的(de),給流(liu)量計(ji)勵磁(ci)線圈(quan)🌂周期(qi)性的(de)産生(sheng)勵磁(ci)電流(liu)的裝(zhuang)置;功(gong)能塊(kuai)3由7位(wei)LCD液晶(jing)顯😘示(shi)器、EEPROM、KSA集(ji)成電(dian)✏️路、微(wei)處理(li)器和(he)3個爲(wei)了輸(shu)入操(cao)作參(can)數🏒的(de)按鍵(jian)組成(cheng)。由UP01測(ce)定的(de)與輸(shu)入操(cao)作參(can)數和(he)校準(zhun)❤️值有(you)關的(de)數字(zi)值,經(jing)UP02計算(suan)後,其(qi)值通(tong)過科(ke)隆㊙️公(gong)司研(yan)制的(de)KSA作爲(wei)🤩流量(liang)比例(li)信号(hao),經光(guang)電耦(ou)合器(qi)到輸(shu)出驅(qu)動器(qi),正負(fu)計數(shu)的流(liu)量累(lei)積值(zhi)和滿(man)🏃🏻刻度(du)範圍(wei)0%~100%的瞬(shun)時流(liu)量值(zhi)可在(zai)7位LCD液(ye)晶顯(xian)示。在(zai)電源(yuan)故障(zhang)🌂停電(dian)後,最(zui)後的(de)計數(shu)器讀(du)數可(ke)永久(jiu)地儲(chu)存在(zai)E2PROM中。功(gong)⛹🏻♀️能塊(kuai)🔅4把數(shu)字信(xin)号轉(zhuan)換成(cheng)4~20mA的電(dian)流輸(shu)出信(xin)号;功(gong)能塊(kuai)5能驅(qu)動電(dian)🐅子計(ji)數器(qi)或電(dian)動機(ji)械✊計(ji)數器(qi)。
3電磁(ci)流量(liang)計的(de)應用(yong)實例(li)
某冶(ye)煉廠(chang)在生(sheng)産中(zhong),由于(yu)生産(chan)工藝(yi)的需(xu)要,會(hui)産生(sheng)大🚶量(liang)的工(gong)業污(wu)水,在(zai)污水(shui)處理(li)分廠(chang)必須(xu)對污(wu)水的(de)流量(liang)進行(hang)監控(kong)。在以(yi)🛀往的(de)設計(ji)中,流(liu)量儀(yi)表不(bu)少都(dou)選用(yong)旋渦(wo)流量(liang)計和(he)
孔闆(pan)流量(liang)計
。而(er)實際(ji)應用(yong)中發(fa)現測(ce)量的(de)流量(liang)顯示(shi)值與(yu)實際(ji)流量(liang)偏差(cha)較大(da)。究其(qi)原因(yin),上述(shu)兩種(zhong)流量(liang)計都(dou)不能(neng)滿足(zu)實際(ji)的需(xu)要。
旋(xuan)渦流(liu)量計(ji)
的工(gong)作原(yuan)理是(shi)在管(guan)道中(zhong)插入(ru)一個(ge)旋渦(wo)發生(sheng)體。當(dang)管道(dao)中的(de)流🔞體(ti)流過(guo)旋渦(wo)發生(sheng)體時(shi),在旋(xuan)渦發(fa)生體(ti)的後(hou)方和(he)兩側(ce)會交(jiao)⚽替地(di)産生(sheng)有規(gui)律的(de)卡門(men)旋渦(wo)列。理(li)論和(he)實踐(jian)證明(ming),旋渦(wo)分離(li)頻率(lü)f與管(guan)内流(liu)體流(liu)速v成(cheng)正比(bi),其關(guan)系式(shi)爲:
f=K °v/D
式(shi)中:K爲(wei)斯特(te)勞哈(ha)爾系(xi)數;D爲(wei)旋渦(wo)發生(sheng)體迎(ying)流體(ti)面寬(kuan)度🙇♀️。
因(yin)此,隻(zhi)要設(she)法測(ce)出旋(xuan)渦分(fen)離頻(pin)率f就(jiu)可以(yi)知道(dao)流體(ti)的流(liu)❄️速v,從(cong)而可(ke)以求(qiu)出流(liu)體的(de)流量(liang)。旋渦(wo)分離(li)頻率(lü)可以(yi)用🈲多(duo)種方(fang)式測(ce)量,例(li)如應(ying)力式(shi)、差動(dong)電容(rong)式等(deng)。
從旋(xuan)渦流(liu)量計(ji)的工(gong)作原(yuan)理可(ke)以看(kan)出:旋(xuan)渦流(liu)量計(ji)不宜(yi)用于(yu)測污(wu)水的(de)流量(liang)。這是(shi)因爲(wei)在測(ce)量較(jiao)髒的(de)流體(ti)時,旋(xuan)渦發(fa)生體(ti)的表(biao)面會(hui)有大(da)量的(de)附着(zhe)物,會(hui)👌使旋(xuan)渦發(fa)生體(ti)迎流(liu)體面(mian)寬度(du)D發生(sheng)變化(hua),這樣(yang)就會(hui)使得(de)旋渦(wo)分離(li)頻率(lü)減小(xiao),使得(de)㊙️求出(chu)的流(liu)👌體流(liu)速v減(jian)🐉小,使(shi)得測(ce)量值(zhi)比實(shi)際流(liu)量值(zhi)小。
孔(kong)闆流(liu)量計(ji)是早(zao)期大(da)量使(shi)用的(de)一種(zhong)測量(liang)流量(liang)的🌈計(ji)量裝(zhuang)置。它(ta)的工(gong)作原(yuan)理是(shi)在流(liu)體管(guan)道中(zhong)加入(ru)一孔(kong)闆📞節(jie)流件(jian),通過(guo)導壓(ya)管引(yin)入差(cha)壓變(bian)送器(qi)測出(chu)節流(liu)件上(shang)☂️、下遊(you)的壓(ya)差,根(gen)據所(suo)測的(de)壓差(cha)👄經過(guo)計算(suan)即得(de)出流(liu)量的(de)瞬時(shi)值。由(you)于導(dao)壓管(guan)内水(shui)的不(bu)流動(dong)性,在(zai)較寒(han)冷地(di)區,冬(dong)天室(shi)外安(an)裝的(de)孔闆(pan)☂️取壓(ya)管容(rong)易🈲凍(dong)裂(凍(dong)住),使(shi)差壓(ya)儀器(qi)無法(fa)正常(chang)工作(zuo)。測量(liang)較髒(zang)的污(wu)水時(shi),孔闆(pan)需經(jing)常清(qing)洗👣。如(ru)清洗(xi)不及(ji)時,測(ce)量精(jing)度降(jiang)低,取(qu)壓管(guan)經常(chang)被🛀污(wu)物堵(du)死,儀(yi)表無(wu)法使(shi)用。用(yong)孔闆(pan)的方(fang)式測(ce)流量(liang)時還(hai)🤩有壓(ya)力損(sun)失大(da)、維護(hu)量大(da)等缺(que)點。
根(gen)據工(gong)業污(wu)水具(ju)有流(liu)量變(bian)化大(da)、雜質(zhi)、腐蝕(shi)性小(xiao)、有一(yi)定的(de)🍓導電(dian)能力(li)等特(te)性,在(zai)測量(liang)工業(ye)污水(shui)的流(liu)量💃時(shi),電磁(ci)流量(liang)計是(shi)一個(ge)很好(hao)的選(xuan)擇。可(ke)選用(yong)氯丁(ding)橡膠(jiao)襯裏(li),含钼(mu)不🔱鏽(xiu)鋼(OCr18Ni12Mo2Ti)電(dian)🙇♀️極的(de)電磁(ci)流量(liang)⁉️計,即(ji)可滿(man)足工(gong)業污(wu)水🈚流(liu)量測(ce)量的(de)要求(qiu)。
4結束(shu)語
流(liu)量測(ce)量儀(yi)表受(shou)到衆(zhong)多因(yin)素,如(ru):管道(dao)、口徑(jing)大小(xiao)、形狀(zhuang)👣(圓🏃🏻♂️形(xing)❌、矩形(xing)💘)、介質(zhi)的物(wu)性(溫(wen)度、壓(ya)力、密(mi)度、粘(zhan)度、髒(zang)污性(xing)、腐蝕(shi)性等(deng)),流🤟體(ti)的流(liu)動狀(zhuang)态(紊(wen)流狀(zhuang)态、速(su)度分(fen)布等(deng)),以及(ji)安裝(zhuang)條件(jian)與水(shui)平的(de)影響(xiang)。而且(qie)㊙️工業(ye)污水(shui)的狀(zhuang)态(流(liu)态、流(liu)速等(deng))時刻(ke)在變(bian)化,如(ru)果選(xuan)擇流(liu)量計(ji)不合(he)适,将(jiang)使測(ce)量結(jie)果出(chu)現很(hen)大的(de)偏差(cha)。經過(guo)理論(lun)和實(shi)踐的(de)檢驗(yan),電磁(ci)流量(liang)計在(zai)污水(shui)流量(liang)測量(liang)中有(you)着很(hen)大的(de)優勢(shi),目前(qian)應用(yong)得越(yue)來越(yue)廣泛(fan)。
以上(shang)内容(rong)來源(yuan)于網(wang)絡,如(ru)有侵(qin)權請(qing)聯系(xi)即删(shan)除!
|
|
|
|
|