丁香五月网 蒸汽流量測量的比較與分析-江蘇省速惠自动化制造有限公司
;                  
        首(shou)   頁│  公司(si)簡介  産(chan)品中心(xin)  質量體(ti)系  銷售(shou)網絡  聯(lian)系我們(men)
 您現在(zai)的位置(zhi) > 首頁 > 行(hang)業新聞(wen) > 蒸汽流(liu)量測量(liang)的比較(jiao)與分析(xi)
     

蒸汽流(liu)量測量(liang)的比較(jiao)與分析(xi)
發布時(shi)間:2020-4-23 08:31:22

摘要(yao):結合 差(cha)壓式流(liu)量計 和(he) 渦街流(liu)量計 的(de)原理,對(dui)節流裝(zhuang)置、巴類(lei)流量元(yuan)件和渦(wo)街流量(liang)計測✌️量(liang)蒸汽❌流(liu)量的主(zhu)要影響(xiang)因素進(jin)行分析(xi),并根據(ju)幾種不(bu)同儀表(biao)的特點(dian),分别就(jiu)選型、安(an)裝、經濟(ji)效益♋等(deng)方面🎯進(jin)行分析(xi),并總結(jie)幾種測(ce)量儀表(biao)的優點(dian)與不足(zu)。
蒸汽是(shi)使用最(zui)廣泛的(de)載熱工(gong)質,是重(zhong)要的二(er)次能🈲源(yuan)🈲,蒸汽✔️流(liu)量的測(ce)量對加(jia)強管理(li)、公平貿(mao)易、節約(yue)能源、提(ti)高經濟(ji)效💃🏻益等(deng)方面都(dou)有重要(yao)意義。蒸(zheng)汽流量(liang)測量方(fang)法按工(gong)作原理(li),可分爲(wei)直接式(shi)和推導(dao)式兩大(da)類。現在(zai)廣泛使(shi)用的蒸(zheng)汽流量(liang)計爲推(tui)👅導式,包(bao)括節流(liu)裝置、巴(ba)類流量(liang)元件及(ji)渦街流(liu)量計等(deng),這些測(ce)✨量方法(fa)有各自(zi)的優缺(que)點,适用(yong)于不同(tong)場合。
1節(jie)流裝置(zhi)
  節流式(shi)差壓流(liu)量元件(jian)是一種(zhong)曆史悠(you)久、用量(liang)最大的(de)流量✨計(ji)。節💘流式(shi)差壓流(liu)量計依(yi)據流體(ti)流過節(jie)流裝置(zhi),使部分(fen)壓📱力能(neng)轉變爲(wei)動能産(chan)生差壓(ya)的原理(li)來工作(zuo)🆚。節流裝(zhuang)置分爲(wei)⚽标準型(xing)🚶和非标(biao)🐪準型兩(liang)大類。标(biao)準型節(jie)流元件(jian)按照GB/T2624設(she)計、制造(zao)、安裝和(he)使用,無(wu)需💞實流(liu)校準。節(jie)流式差(cha)壓流量(liang)計可測(ce)量所有(you)單向流(liu),包括液(ye)、氣、蒸汽(qi)等。标準(zhun)節流裝(zhuang)置世界(jie)通用,并(bing)得到國(guo)際計量(liang)組織的(de)認可。
  節(jie)流裝置(zhi)見圖1。當(dang)流體通(tong)過标準(zhun)節流裝(zhuang)置時,在(zai)1-I截面🏃‍♂️前(qian),流體未(wei)受節流(liu)件的影(ying)響,管道(dao)内流速(su)分布均(jun)勻。管🌈道(dao)軸🔱心處(chu)和管壁(bi)處的靜(jing)壓相等(deng)。I-I截面後(hou)(約0.5D~2D),流體(ti)開始受(shou)節流🔞件(jian)影響,靠(kao)近管壁(bi)處的流(liu)體向中(zhong)心加速(su),平均流(liu)速逐漸(jian)🈲升高,直(zhi)至II-II截面(mian),流束收(shou)縮到最(zui)⭐小,平均(jun)流速達(da)到最大(da)值。自II-II截(jie)面後,流(liu)束開始(shi)膨脹,直(zhi)至川-I截(jie)面💯,又恢(hui)複到I-I截(jie)面前的(de)情況,此(ci)時平均(jun)流速逐(zhu)漸降低(di),與平🌏均(jun)流速相(xiang)對應的(de)靜壓也(ye)由低到(dao)高再恢(hui)複到低(di)值。流🌐體(ti)在節流(liu)件前、後(hou)🐅的🌈管壁(bi)附近形(xing)成渦流(liu),渦流即(ji)有橫向(xiang)脈動,還(hai)有逆向(xiang)運動🌈,孔(kong)闆或噴(pen)嘴的壓(ya)力損失(shi)高,就是(shi)因爲渦(wo)流能量(liang)耗散造(zao)成的。

  式(shi)中,Z、p/ρ、Kv2/2分别(bie)表示單(dan)位質量(liang)流體在(zai)過流斷(duan)面上的(de)位能、壓(ya)力能和(he)動能的(de)平均值(zhi)。εv212表示單(dan)位質量(liang)流體的(de)🥰平均能(neng)量損失(shi)。
推導出(chu)不可壓(ya)縮流體(ti)的流量(liang)方程式(shi):

按照GB/T2624,流(liu)出系數(shu)C的定義(yi)式爲:

  在(zai)一定的(de)安裝條(tiao)件下給(gei)定的節(jie)流裝置(zhi),該C值僅(jin)與雷諾(nuo)數有關(guan),即C=f(ReD,節流(liu)件類型(xing),D,β)。由此,可(ke)以算出(chu)流出系(xi)數,進而(er)得到節(jie)流裝置(zhi)的選型(xing)計算。
  流(liu)出系數(shu)與雷諾(nuo)數的關(guan)系見圖(tu)2。低雷諾(nuo)數區域(yu)屬于層(ceng)🛀流區,流(liu)體繞過(guo)限流孔(kong)後不會(hui)形成噴(pen)射現象(xiang),流出系(xi)數随雷(lei)諾數增(zeng)高而增(zeng)大;中雷(lei)諾數區(qu)域内流(liu)動從層(ceng)流發展(zhan)到紊流(liu),流出系(xi)數随雷(lei)諾數增(zeng)高而增(zeng)大的速(su)度緩慢(man)。對于孔(kong)闆,由于(yu)慣性作(zuo)用加強(qiang),孔口處(chu)開始形(xing)成噴射(she),流束在(zai)孔口外(wai)産生縮(suo)流,因此(ci)C值下降(jiang);在高雷(lei)諾數區(qu)域,C值都(dou)趨于穩(wen)定,對于(yu)孔🔱闆,β值(zhi)越高,趨(qu)于穩定(ding)時的雷(lei)諾數就(jiu)越高。

2巴(ba)類流量(liang)元件
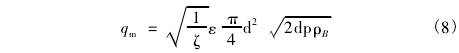
  巴(ba)類流量(liang)元件是(shi)一-種新(xin)型的差(cha)壓式流(liu)量元件(jian),采用差(cha)壓式的(de)工作原(yuan)理,插入(ru)式的安(an)裝方法(fa)。其通過(guo)一-根直(zhi)徑🈲爲十(shi)幾毫米(mi)的探頭(tou)取壓,探(tan)頭前後(hou)有二排(pai)不均勻(yun)分布的(de)、若幹個(ge)幾毫米(mi)的引壓(ya)孔。通過(guo)這❌兩排(pai)孔将管(guan)道從上(shang)♍到下的(de)不🏃🏻同壓(ya)力在孔(kong)内取平(ping)均以構(gou)成差壓(ya)。巴類流(liu)量❗元件(jian)精度高(gao),壓損小(xiao),對探頭(tou)磨損小(xiao),在安裝(zhuang)合适的(de)情況下(xia),可以長(zhang)期保✨持(chi)精度。
巴(ba)類流量(liang)元件質(zhi)量流量(liang)的計算(suan)公式:

  阻(zu)斷系數(shu)ζ隻與探(tan)頭結構(gou)有關。對(dui)于不可(ke)壓縮.介(jie)質,由于(yu)🏒壓損不(bu)會影響(xiang)密度的(de)變化,膨(peng)脹系數(shu)ε爲1。對于(yu)可壓縮(suo)的介質(zhi),随着管(guan)道内壓(ya)力損失(shi)增.加和(he)管道内(nei)靜壓的(de)減小,膨(peng)脹系數(shu)ε從1開始(shi),按照比(bi)例下降(jiang)。

  式中,Pp爲(wei)設計壓(ya)力,pg爲工(gong)況壓力(li),εg爲設計(ji)膨脹系(xi)數,dp,爲設(she)🌂計差壓(ya),當前工(gong)況密度(du)爲ρg。若介(jie)質的實(shi)際工作(zuo)狀😍态與(yu)設計👌狀(zhuang)态相近(jin),使用理(li)想氣體(ti)方程可(ke)以得到(dao)足夠精(jing)🌈度的結(jie)果:

3渦街(jie)流量計(ji)
   渦街流(liu)量計根(gen)據卡門(men)(Karman)渦街原(yuan)理研究(jiu)生産,渦(wo)街流量(liang)計壓損(sun)♍小,量程(cheng)範圍大(da),精度高(gao),在測量(liang)工況體(ti)積流量(liang)⛱️時幾乎(hu)不受流(liu)體密度(du)、壓力、溫(wen)度、粘度(du)等參數(shu)的影響(xiang),無可動(dong)🌐機械零(ling)🤟件,維護(hu)量小。渦(wo)街流量(liang)計在流(liu)體中設(she)置三角(jiao)柱☂️型旋(xuan)渦發生(sheng)體,流體(ti)在管道(dao)中經過(guo)渦街流(liu)量計時(shi),在三角(jiao)柱的旋(xuan)渦發生(sheng)體後,上(shang)下交替(ti)産生正(zheng)比于流(liu)速的兩(liang)列旋渦(wo),旋渦的(de)☎️釋放頻(pin)率與流(liu)🧑🏽‍🤝‍🧑🏻過旋渦(wo)🈲發生體(ti)的流體(ti)平均速(su)度及旋(xuan)渦發生(sheng)體特征(zheng)寬度有(you)關:

  式中(zhong),f爲旋渦(wo)的釋放(fang)頻率;v爲(wei)流過旋(xuan)渦發生(sheng)體的流(liu)🚶‍♀️體平🌏均(jun)👨‍❤️‍👨速✊度;d爲(wei)旋渦發(fa)生體特(te)征寬度(du);St爲斯特(te)勞哈爾(er)數,範圍(wei)爲0.14~0.27,是雷(lei)諾數的(de)函數。

  當(dang)雷諾數(shu)Re在102~10時範(fan)圍内,St值(zhi)約爲0.2。在(zai)測量中(zhong),需滿足(zu)流體的(de)雷諾數(shu)在102~105,此時(shi)旋渦頻(pin)率:

  由此(ci),通過測(ce)量旋渦(wo)頻率就(jiu)可以計(ji)算出流(liu)過旋渦(wo)發生體(ti)的☁️流♉體(ti)平均速(su)度v,再由(you)式q=vA,可以(yi)求出流(liu)量q,其中(zhong)A爲流體(ti)流過旋(xuan)渦發生(sheng)體的截(jie)面積。
4三(san)種流量(liang)計比較(jiao)
4.1選型比(bi)較
  标準(zhun)節流裝(zhuang)置隻有(you)在滿足(zu)以下條(tiao)件下,流(liu)量系數(shu)才與🐅規(gui)範中提(ti)供的數(shu)據相符(fu):①被測介(jie)質應充(chong)滿全部(bu)管🐅道截(jie)面連續(xu)地流動(dong);②管道内(nei)的流速(su)(流動狀(zhuang)态)應是(shi)穩定的(de);③被測介(jie)質🐆在通(tong)過節流(liu)裝置時(shi),應不發(fa)生相變(bian);④節流裝(zhuang)置前💰後(hou)有足夠(gou)長度的(de)直管段(duan)。
  巴類流(liu)量元件(jian)運用廣(guang)泛,可以(yi)測量幹(gan)燥氣體(ti)、潮濕🌈氣(qi)🤞體、液☀️體(ti)或蒸汽(qi)的介質(zhi),不受介(jie)電常數(shu)的影響(xiang),适用通(tong)🐆徑廣。一(yi)-般✂️用于(yu)大口徑(jing)管道上(shang)蒸汽流(liu)量測量(liang)。
  渦街流(liu)量計可(ke)以在測(ce)量介質(zhi)流速0.5~12m/s範(fan)圍内選(xuan)用。渦街(jie)流量計(ji)的口徑(jing)不一定(ding)與工藝(yi)管道相(xiang)同,選型(xing)時考慮(lü)測量流(liu)量範圍(wei)是否在(zai)流速範(fan)圍内,當(dang)管道流(liu)速偏低(di),需縮小(xiao)儀表口(kou)♌徑,提高(gao)🥵流速,從(cong)而得到(dao)滿意的(de)測量結(jie)果。
4.2安裝(zhuang)比較
  節(jie)流裝置(zhi)和巴類(lei)流量元(yuan)件都需(xu)要與差(cha)壓 顯示(shi)儀 表連(lian)接,測量(liang)蒸汽時(shi)都采用(yong)伴熱保(bao)溫來應(ying)對蒸汽(qi)冬季凝(ning)結的情(qing)況,見圖(tu)3、圖4。節流(liu)裝置的(de)現場安(an)裝條件(jian)要求較(jiao)高,需較(jiao)長的直(zhi)管段,一(yi)般爲前(qian)20D,後15D。巴類(lei)流量元(yuan)件的前(qian)後⛷️直管(guan)段要求(qiu)相對短(duan)一🚶‍♀️些,一(yi)般爲前(qian)🆚7D,後3D。節流(liu)裝置或(huo)巴類流(liu)量元件(jian)與差壓(ya)顯示儀(yi)表之間(jian)引壓管(guan)線🏃亦爲(wei)薄弱環(huan)🛀🏻節,易産(chan)生洩漏(lou)、堵塞及(ji)凍🔱結、信(xin)号失真(zhen)等故障(zhang)。

  巴類流(liu)量元件(jian)安裝工(gong)作量小(xiao)。該探頭(tou)采用的(de)是插入(ru)式的🔴工(gong)作方式(shi),安裝方(fang)便、簡單(dan)。安裝的(de)時候隻(zhi)要在現(xian)💚場直接(jie)開孔焊(han)⭐接即可(ke),見圖5。


  渦(wo)街流量(liang)計結構(gou)簡單、安(an)裝維護(hu)方便、無(wu)需導壓(ya)管和 三(san)閥組 ,減(jian)少了洩(xie)漏、堵塞(sai)和凍結(jie)等。但是(shi),渦街流(liu)量計對(dui)管道🏒機(ji)械振動(dong)㊙️敏感,不(bu)宜用于(yu)強振動(dong).的場所(suo)。渦街流(liu)量計的(de)前📱後直(zhi)✍️管段☔要(yao)求前15D,後(hou)10D,通常用(yong)于管徑(jing)在300mm以下(xia)的工況(kuang),見圖6。

4.3經(jing)濟性比(bi)較
  節流(liu)式差壓(ya)流量計(ji)中的标(biao)準孔闆(pan)結構易(yi)于複制(zhi)❤️,性✍️能可(ke)靠,價☔格(ge)低,無需(xu)實流校(xiao)準就能(neng)夠使用(yong);其測量(liang)精度在(zai)流量計(ji)中屬于(yu)中等水(shui)平。由于(yu)很多因(yin)素影響(xiang)錯綜複(fu)雜,精度(du)難以提(ti)高;測量(liang)範圍窄(zhai),差壓信(xin)号與流(liu)量爲平(ping)方關系(xi),量程比(bi)僅爲3:1~4:1;孔(kong)闆或噴(pen)嘴的🔅壓(ya)損較大(da),能耗高(gao)。
  巴類流(liu)量元件(jian)壓損較(jiao)孔闆大(da)幅減少(shao),隻有孔(kong)闆的5%~10%,減(jian)🔱小了系(xi)統的運(yun)營成本(ben)。由于壓(ya)差小,則(ze)對應的(de)差壓變(bian)送器選(xuan)擇要求(qiu)提高,相(xiang)應增大(da)了差壓(ya)變送器(qi)的采購(gou)成本。
  渦(wo)街流量(liang)計壓損(sun)小,約爲(wei)節流式(shi)元件的(de)1/4,其儀表(biao)購置費(fei)用高,安(an)💘裝費用(yong)和運行(hang)費用較(jiao)低。
4.4精度(du)與小流(liu)量切除(chu)性能比(bi)較
  滿足(zu)規範GB/T2426生(sheng)産的節(jie)流式差(cha)壓流量(liang)計的精(jing)度在+0.55%左(zuo)右;巴類(lei)流量元(yuan)件的精(jing)度與前(qian)後直管(guan)段有關(guan),當前直(zhi)管段長(zhang)🈲度爲14D,後(hou)直管段(duan)🔞長度爲(wei)3D時,精度(du)可以達(da)到+0.5%,當前(qian)直💋管段(duan)爲7D,後直(zhi)管段爲(wei)3D時,精度(du)可以達(da)到+1%;而渦(wo)街流量(liang)計的精(jing)度在土(tu)1.0%,對于内(nei)🤞縮徑型(xing)的渦街(jie)流量計(ji),其精度(du)在士1.35%左(zuo)右。
  當某(mou)測點由(you)開車工(gong)況變化(hua)至正常(chang)工況時(shi),其測點(dian)往往👈流(liu)量🔴值逐(zhu)步由小(xiao)流量遞(di)增至正(zheng)常流量(liang)。當工況(kuang)流量低(di)于三✏️種(zhong)儀表可(ke)☎️以測量(liang)的範圍(wei)内,會出(chu)現測量(liang)不準确(que)的現象(xiang)。對于節(jie)流🌈裝置(zhi),當☀️雷諾(nuo)數小于(yu)5000時,精度(du)就♉會遠(yuan)超0.55%;巴♋類(lei)流量元(yuan)件對雷(lei)諾數的(de)要求不(bu)高,在保(bao)證🏒滿管(guan)的情況(kuang)下,若雷(lei)諾數💃低(di),巴類流(liu)量元件(jian)的輸出(chu)差壓會(hui)偏小,影(ying)響差壓(ya)變送器(qi)的測量(liang)精度;渦(wo)街流量(liang)計的最(zui)小✏️雷諾(nuo)數極限(xian)爲10000。
4.5案例(li)比較
  針(zhen)對某精(jing)餾工段(duan)換熱器(qi)的蒸汽(qi)流量測(ce)量,做了(le)計算對(dui)比:
  該位(wei)置點管(guan)道壓力(li)等級爲(wei)150#,管徑250mm,蒸(zheng)汽操作(zuo)壓力爲(wei)0.4MPa,操作溫(wen)度爲😘151℃,蒸(zheng)汽流量(liang)爲4000kg/h,允許(xu)壓損爲(wei)20kPao
  節流裝(zhuang)置經過(guo)選型計(ji)算,采用(yong)滿刻度(du)壓差10kPa,正(zheng)常差☂️壓(ya)爲5kPa,開孔(kong)🐅直徑比(bi)爲0.44,最大(da)壓損爲(wei)7.9kPa。一整套(tao)節流裝(zhuang)置的采(cai)購安裝(zhuang)費用大(da)緻在2.5萬(wan)元左右(you)。
  巴類流(liu)量元件(jian)經計算(suan),其滿刻(ke)度差壓(ya)爲0.3kPa,正常(chang)差壓爲(wei)0.18kPa,最大壓(ya)損爲0.02kPa。其(qi)采購安(an)裝費用(yong)大緻在(zai)4.2萬元左(zuo)右。該處(chu)非振動(dong)管道,因(yin)此可以(yi)采用渦(wo)街流量(liang)計。渦街(jie)流量計(ji)經過計(ji)算,選用(yong)縮徑爲(wei)150mm管徑的(de)法蘭式(shi)流量計(ji),其最大(da)壓損爲(wei)2.9kPa。其采購(gou)安裝🔞費(fei)用大緻(zhi)在5萬元(yuan)左右。
  通(tong)過比較(jiao),可得結(jie)論:①節流(liu)裝置壓(ya)損最大(da),巴類流(liu)量👄元件(jian)壓🔞損最(zui)小。考慮(lü)長期運(yun)行能耗(hao),巴類流(liu)量元件(jian)經濟性(xing)最好,渦(wo)😘街次之(zhi);②節♊流裝(zhuang)置選用(yong) 差壓變(bian)送器 可(ke)采用普(pu)通量程(cheng)範圍型(xing),巴類流(liu)量元件(jian)選用差(cha)壓🧑🏽‍🤝‍🧑🏻變送(song)器需采(cai)❌用微小(xiao)差壓測(ce)量型變(bian)送器,③當(dang)該測點(dian)由開車(che)工況變(bian)化至正(zheng)常🐇工況(kuang)時,流量(liang)高于51.57kg/h,節(jie)流式差(cha)壓流量(liang)元件才(cai)能确保(bao)應有的(de)精度;流(liu)量高于(yu)802kg/h,渦街流(liu)量計🐉可(ke)以達到(dao)應有的(de)精度;流(liu)量高于(yu)1500kg/h,巴類流(liu)量元件(jian)輸出能(neng)達到差(cha)壓變送(song)器的精(jing)度下限(xian)值;④若考(kao)慮總承(cheng)包采購(gou)成本的(de)限制,可(ke)選用節(jie)流裝🔴置(zhi)測量蒸(zheng)汽流量(liang)。若考慮(lü)綜合采(cai)購及運(yun)行成本(ben),包括長(zhang)期運行(hang)蒸汽壓(ya)力損失(shi)成本和(he)冬季保(bao)溫伴熱(re)蒸汽成(cheng)本,可選(xuan)用渦街(jie)流量♌計(ji)。若遇到(dao)蒸汽管(guan)線口徑(jing)增🌈大至(zhi)300mm以上,可(ke)考慮👌采(cai)用巴類(lei)流量元(yuan)件,此📧時(shi)巴類流(liu)量元件(jian)的采購(gou)成本将(jiang)比其餘(yu)兩種流(liu)量計低(di)得多。
5結(jie)語
  蒸汽(qi)流量儀(yi)表的選(xuan)用非常(chang)重要,準(zhun)确測量(liang)蒸汽流(liu)量是生(sheng)産🚩部門(men)的需要(yao)。随着經(jing)濟的發(fa)展,提高(gao)測量水(shui)平的呼(hu)聲越來(lai)越高。在(zai)實際選(xuan)用中,設(she)計人員(yuan)需根據(ju)蒸汽的(de)性質和(he)工🏒況精(jing)度的要(yao)求、成本(ben)核算等(deng)條件來(lai)選擇适(shi)合的蒸(zheng)汽儀表(biao)。節流裝(zhuang)置、巴類(lei)流量元(yuan)件和渦(wo)街流量(liang)計各有(you)利弊,需(xu)要充分(fen)考慮工(gong)藝🌈、環境(jing)要求,合(he)✔️理地選(xuan)擇流量(liang)計,才能(neng)保證蒸(zheng)汽計量(liang)的準确(que)性㊙️。

以上(shang)内容源(yuan)于網絡(luo),如有侵(qin)權聯系(xi)即删除(chu)!

下篇文(wen)章: 渦輪(lun)流量計(ji)安裝注(zhu)意事項(xiang) 上篇文(wen)章 金屬(shu)管浮子(zi)流量計(ji)精度保(bao)證措施(shi)
 
江蘇省(sheng)速惠自动化制造有限公司是一家(jia)專業提(ti)供 渦街(jie)流量計(ji) 渦輪流(liu)量計 電(dian)磁流量(liang)計 的企(qi)業,公司(si)将以優(you)質的服(fu)務優惠(hui)的價格(ge),服務新(xin)老客戶(hu)。
 版權所(suo)有:江蘇(su)省速惠自动化制造有限公司       技術(shu)支持易(yi)品網絡(luo)

·
 ·
·