摘要:以(yi)差壓流量(liang)計
的選型(xing)計算,主要(yao)針對
孔闆(pan)流量計
進(jin)行并解讀(du)了相關的(de)國家标準(zhun),運用VC++軟件(jian)作爲程序(xu)開發的工(gong)具,以實際(ji)工程爲例(li),探索了孔(kong)闆流量計(ji)的孔闆直(zhi)徑、直徑比(bi)等标準計(ji)算方法與(yu)軟件計算(suan)方法。本文(wen)解決了在(zai)項目中,用(yong)于孔闆流(liu)量計采辦(ban)的文件如(ru)數據表💃和(he)孔闆流🤞量(liang)計計算書(shu)等,需要對(dui)孔闆的規(gui)格和尺寸(cun)進😘行初步(bu)計算,确定(ding)孔闆的孔(kong)徑、直徑比(bi)等參數的(de)問題。将繁(fan)瑣的計算(suan)變🔴得方🔞便(bian)可行,計算(suan)程序簡練(lian),節省人工(gong)時間,且結(jie)果較爲正(zheng)确确,方便(bian)需要采📐取(qu)專用的計(ji)算軟🍉件數(shu)據表中的(de)工藝參數(shu)等進行校(xiao)核檢驗,完(wan)成了一套(tao)孔闆流量(liang)計的選型(xing)計算的程(cheng)序。
差壓流(liu)量計是一(yi)種測定流(liu)量的儀器(qi)。它是利用(yong)流體流經(jing)節流裝置(zhi)時所産生(sheng)的壓力差(cha)與流量之(zhi)間存在🙇♀️的(de)一定關系(xi)的原理,流(liu)量的測定(ding)通過測量(liang)壓差來實(shi)現。在石油(you)、化工、供熱(re)、供水、冶金(jin)、電力等領(ling)域的測量(liang)和過程控(kong)制都有廣(guang)泛的應用(yong)。流量儀表(biao)的👈兩個功(gong)用,在過程(cheng)自動化儀(yi)表與裝置(zhi)中分别是(shi):測⛷️量物料(liao)數量的總(zong)量表和過(guo)程自動化(hua)控制系統(tong)的檢測儀(yi)表。節流裝(zhuang)置的有孔(kong)闆、噴嘴和(he)文丘裏管(guan),它是在管(guan)道中安裝(zhuang)的一個局(ju)部收縮的(de)元件。本文(wen)将主要介(jie)紹孔闆流(liu)量計的選(xuan)型計算與(yu)程序開發(fa)。孔闆流量(liang)計可測量(liang)氣體、液體(ti)、蒸汽及天(tian)然氣的流(liu)量❌。孔闆流(liu)量計被廣(guang)泛應用于(yu)煤炭、化工(gong)、建築、交通(tong)、醫.藥、農業(ye)、輕紡、食品(pin)環境保護(hu)及人類生(sheng)活的各個(ge)所需領域(yu),是發展工(gong)業及農業(ye)生産,能源(yuan)🔴節約,産品(pin)質量改進(jin),經濟效益(yi)提升和管(guan)理水平😘提(ti)升的重要(yao)工🐅具,在國(guo)民經濟中(zhong)占有十分(fen)顯著的地(di)位。
孔闆流(liu)量計流裝(zhuang)置的結構(gou)比較簡單(dan),性能可靠(kao)穩定,并且(qie)十🏃🏻♂️分♋牢固(gu),價格較低(di),使用壽命(ming)長,在工業(ye)中經常用(yong)到孔闆流(liu)量計,并能(neng)經過嚴格(ge)的校驗檢(jian)測,整個加(jia)工過程♉均(jun)采用國際(ji)标準。孔闆(pan)流量計由(you)于💛流速增(zeng)加可以使(shi)靜壓力變(bian)低,壓差即(ji)在節流件(jian)前後便産(chan)生了壓力(li)降,在節流(liu)件前後産(chan)🔞生的壓差(cha)由于介質(zhi)流動🈲的流(liu)量增大而(er)增大,因此(ci),通過測量(liang)壓差來衡(heng)量流體流(liu)量的大小(xiao)孔闆流量(liang)計是可以(yi)達到的。這(zhe)種測量方(fang)法是根據(ju)流動連續(xu)性🏃🏻♂️定律和(he)能量守恒(heng)守恒定律(lü)爲基🔞正确(que)定的。
孔闆(pan)流量計的(de)節流件前(qian)後産生的(de)靜壓力差(cha),該壓力差(cha)㊙️與流量存(cun)在着一定(ding)的函數關(guan)系,流量越(yue)大,壓力差(cha)相應越大(da)。差壓信号(hao)💋傳送給
差(cha)壓變送器(qi)
,轉換成4~20mA.DC模(mo)拟信号輸(shu)出,遠轉給(gei)流量計算(suan)儀,實現流(liu)體流🙇🏻量的(de)💰計量。
質量(liang)型流量計(ji)
,經過
智能(neng)型差壓變(bian)送器
,自動(dong)補償工況(kuang)溫/壓後,實(shi)現對流體(ti)質量流量(liang)的測量。
在(zai)設計項目(mu)中如數據(ju)表和孔闆(pan)流量計算(suan)書等文件(jian)用于孔闆(pan)流量計的(de)采辦,需要(yao)對孔闆的(de)規格和尺(chi)寸進行初(chu)步計算,确(que)定孔闆的(de)孔徑、直徑(jing)比等參數(shu)。其計算過(guo)程較爲複(fu)雜,通過🏃♂️人(ren)工計算費(fei)時費力,且(qie)難以得🈲到(dao)正确的結(jie)果,需要采(cai)取專用的(de)計算軟件(jian)。基于如上(shang)考慮,本文(wen)解讀了GB/T2624.2-2006對(dui)孔闆流量(liang)計進行🌂計(ji)算選型的(de)方法,并通(tong)過VC++語言🐇進(jin)行編程,完(wan)成了一套(tao)孔闆流量(liang)計的🐕選型(xing)計算的,取(qu)得📱了令人(ren)滿意的結(jie)果。
1孔闆流(liu)量計的計(ji)算方法
1.1孔(kong)闆流量計(ji)原理
如圖(tu)1所示流體(ti)流經節流(liu)元件時的(de)壓力、速度(du)變化情🍉況(kuang)🥵。從💋圖中可(ke)見,沿水平(ping)管靠近流(liu)動到節流(liu)元件前的(de)♊截面1處的(de)流體,流束(shu)開始收縮(suo),靠近管壁(bi)處的流體(ti)将向管道(dao)中心加速(su),而管道中(zhong)心處流體(ti)的壓力開(kai)始下降。由(you)于慣性作(zuo)用,流束的(de)最小截面(mian)位置🛀🏻不在(zai)節流元件(jian)處由于流(liu)🔅體流過節(jie)流☂️元件後(hou)流束繼續(xu)收縮的原(yuan)因,而在節(jie)流元件後(hou)的截面2處(chu)(此位置随(sui)流量大小(xiao)而變),此處(chu)流體平均(jun)流速U2最大(da),壓力p2最低(di)。截面2後,流(liu)束.逐🐅漸擴(kuo)大。在截面(mian)3處🍉,流⁉️體速(su)度Uz恢複到(dao)節流♻️前的(de)速度U1(U3=U1),流束(shu)又充滿管(guan)道。壓力P3不(bu)能恢複到(dao)原來的數(shu)值p1,由于流(liu)體流經節(jie)流元件時(shi)會産生漩(xuan)渦以及鹽(yan)城的摩擦(ca)☂️阻力等會(hui)造成能量(liang)損失的原(yuan)因,P1與p3的差(cha)值δp=p1-ps稱爲流(liu)體流🌂經節(jie)流元件的(de)壓力損失(shi)。
1.2節流裝置(zhi)設計計算(suan)分類
孔闆(pan)流量計的(de)設計與制(zhi)造主要參(can)照以下标(biao)準:ISO5167Measurementoffluidflow-DifferentialPressureDevices,2003/GB/T2624用🔴安裝(zhuang)在工程項(xiang)目設計中(zhong),需要根據(ju)孔闆流量(liang)計所👄安裝(zhuang)的管道等(deng)級,以❄️及工(gong)藝專業提(ti)供的不同(tong)工況下的(de)流量,對孔(kong)💛闆流量計(ji)進行選型(xing),同時計算(suan)孔闆的孔(kong)徑以及Beta系(xi)數。
1.3孔闆流(liu)量計孔徑(jing)計算方法(fa)
一次裝置(zhi)安裝在充(chong)滿流體的(de)管線中确(que)立爲測量(liang)原理,裝人(ren)👈一次裝置(zhi)後裝置的(de).上遊側與(yu)喉部或下(xia)💋遊側之間(jian)✨産生一個(ge)💞靜壓差。假(jia)設該裝置(zhi)與經過校(xiao)準的一😍個(ge)裝置幾何(he)相似且使(shi)用條件相(xiang)同,據該壓(ya)差的實測(ce)值和流動(dong)流體的特(te)♊性以及裝(zhuang)置的使用(yong)🈲環境,從而(er)确定流量(liang)。
1.3.1流量計算(suan)
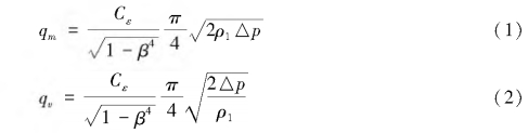
GB/T2624裏規定的(de)不确定度(du)限值,質量(liang)流量差壓(ya)的關系符(fu)合,因此💋流(liu)量公式可(ke)用以下公(gong)式确定。
式(shi)中:qm-質量流(liu)量,kg/s;
9v-體積流(liu)量,m³/s;
C-流出系(xi)數;
Ɛ-可膨脹(zhang)系數;
β-直徑(jing)比,β=d/D;
d-節流件(jian)開孔直徑(jing),m;
D-管道内徑(jing),m;
ρ1-被測流體(ti)密度,kg/m³;
△p-壓差(cha),Pa。
1.3.2節流裝置(zhi)開孔直徑(jing)d和管道内(nei)徑D計算式(shi)
d=d20[1+λd(t-20)](3)
D=D20[1+λd(t-20)](4)
式中:d20-20℃下節(jie)流元件開(kai)孔直徑;
D20-20℃下(xia)管道内徑(jing);
λd一節流材(cai)料膨脹系(xi)數;
λD一管道(dao)材料膨脹(zhang)系數。
1.3.3流出(chu)系數計算(suan)式
C爲不可(ke)壓縮流體(ti)确定的表(biao)示通過裝(zhuang)置的實際(ji)流量與理(li)論👉流🐪量之(zhi)間關系的(de)系數,對于(yu)給定安裝(zhuang)條件下的(de)給定一次(ci)裝置,流出(chu)系數僅與(yu)雷諾數有(you)關🌏。由下式(shi)表示:
可膨(peng)脹系數ε取(qu)決于雷諾(nuo)數值,也取(qu)決于氣體(ti)的壓力比(bi)和等💁熵指(zhi)數值。
表示(shi)這些變化(hua)的方法是(shi)以膨脹性(xing)(膨脹)系數(shu)乘一次裝(zhuang)置的流出(chu)系數C。流出(chu)系數利用(yong)雷諾數值(zhi)相同的液(ye)體直接校(xiao)準後确定(ding)。
當流體不(bu)可壓縮時(shi)(液體),ε等于(yu)1,當流體可(ke)壓縮時(氣(qi)體),ε小于🔴1。
事(shi)實表明ε實(shi)際上與雷(lei)諾數無關(guan)。對于給定(ding)一次裝置(zhi)的給🧑🏾🤝🧑🏼定直(zhi)徑比,ε隻取(qu)決于壓力(li)比和等熵(shang)指數,因此(ci)本法是可(ke)行的。
當直(zhi)接計算法(fa)不能解題(ti)時,需要采(cai)用叠代計(ji)算法。
以孔(kong)闆爲例,始(shi)終需要叠(die)代計算法(fa)來計算。原(yuan)則是把基(ji)本.流量😍方(fang)程中所有(you)--緻的值重(zhong)新組合在(zai)一個項内(nei),而将未知(zhi)的值組合(he)在一項内(nei)。
把已知數(shu)組合在方(fang)程的一邊(bian),将未知數(shu)放在方程(cheng)的✔️另一邊(bian)。
(2)計算β1:由β0、k、△代(dai)入ε公式計(ji)算ε0;由β0、ReD、D代人(ren)C公式計算(suan)C0;由C0、ε0、A2代入β公(gong)式計算B0.
(3)計(ji)算β2:由β1、k、△代入(ru)ε公式計算(suan)ε1;由β0.ReD、D代人C公(gong)式計算C1;由(you)C1、ε1、A2代入β公式(shi)🈲計算β2。
若滿(man)足βn-βn-1<E(一般E=0.0001),叠(die)代可停止(zhi),通常進行(hang)2~3次叠代即(ji)可。
2孔闆流(liu)量計計算(suan)程序開發(fa)
利用VC++語言(yan)将上述标(biao)準中的計(ji)算公式進(jin)行編程,開(kai)發出一套(tao)孔闆流量(liang)計關鍵參(can)數計算工(gong)具。通過計(ji)算工具得(de)出孔.闆流(liu)量計中孔(kong)徑和直徑(jing)比等數值(zhi)的計算結(jie)果,并與實(shi)際項目中(zhong)的計算值(zhi)進行對比(bi),以驗證計(ji)算工具的(de)正确率。
2.1計(ji)算流程
打(da)開軟件,輸(shu)入孔闆流(liu)量計相關(guan)已知條件(jian),黃色框内(nei)爲必填數(shu)🚩據(管道膨(peng)脹系數、孔(kong)闆膨脹系(xi)數、管道内(nei)徑、正常🈲流(liu)量工況流(liu)量、最大流(liu)量工況流(liu)量、密度、操(cao)作黏‼️度、最(zui)大差壓等(deng)重要工藝(yi)參數)。程序(xu)計算出操(cao)作工況下(xia)管道内徑(jing),根據最大(da)差壓值計(ji)算出正👄常(chang)流量工況(kuang)下的對應(ying)的💯差壓值(zhi)。根據叠代(dai)計算法.原(yuan)把基本流(liu)量🚩方程中(zhong)所有-緻的(de)值重新組(zu)合⁉️在一💜個(ge)項内,而将(jiang)未知的值(zhi)組合在一(yi)項♌内,計算(suan)出A2。根據流(liu)量計算式(shi)确定直徑(jing)比公式,進(jin)行叠⭐代計(ji)算。直至直(zhi)徑比之差(cha)小于0.0001,根據(ju)直徑比計(ji)算孔徑以(yi)及其他參(can)數,否則繼(ji)續進行叠(die)代計算。
2.2程(cheng)序界面
根(gen)據某項目(mu)孔闆闆流(liu)量計數據(ju)表,輸人孔(kong)闆流量🏃計(ji)♋相關已知(zhi)🛀條件,黃色(se)框内爲必(bi)填數據:管(guan)道膨脹系(xi)數、孔闆膨(peng)脹系數、管(guan)道🐉内徑、正(zheng)常流量工(gong)況流量、最(zui)大流量工(gong)況流量、密(mi)度、操作黏(nian)度、最❗大差(cha)壓。程序界(jie)面如圖2。
2.3計(ji)算結果輸(shu)出及結果(guo)對比分析(xi)
點擊計算(suan),得到直徑(jing)比、流量系(xi)數、膨脹系(xi)數、計算孔(kong)徑等📞數值(zhi)的計算結(jie)果。輸出結(jie)果報告,将(jiang)計算工具(ju)的計算結(jie)果與✊手動(dong)計算🐇值進(jin)行對比,結(jie)果如表1所(suo)示。
計算工(gong)具輸出結(jie)果與手動(dong)計算值基(ji)本接近,說(shuo)明計算工(gong)具.正确率(lü)較高。此程(cheng)序可以得(de)到應用。
4結(jie)論
本文運(yun)用國家标(biao)準計算方(fang)法,以解決(jue)設計項目(mu)中孔闆流(liu)量計選型(xing)與計算完(wan)成數據表(biao)、計算書的(de)編制工作(zuo)爲♈目标✉️,以(yi)實際項目(mu)爲研究對(dui)象,解讀了(le)GB/T2624.2-2006對孔闆流(liu)量計進🔆行(hang)計算選型(xing)的方法,并(bing)通過VC++語言(yan)進行編程(cheng),完成了一(yi)-套孔闆流(liu)量💛計的選(xuan)型計算,分(fen)析✏️程序結(jie)果與實際(ji)項目中孔(kong)闆流量計(ji)數據表的(de)結果一緻(zhi)性高💔,精⭐度(du)高。證明此(ci)程序的編(bian)制至實現(xian)且功能可(ke)靠。
較正确(que)完成了孔(kong)闆的規格(ge)和尺寸進(jin)行初步計(ji)算😍,确定👣孔(kong)闆🤟的孔徑(jing)、直徑比等(deng)參數的問(wen)題。将繁瑣(suo)的計算變(bian)得方便可(ke)行,計算程(cheng)序簡練,節(jie)省人工時(shi)間,且結果(guo)🤟較爲正确(que),方便需要(yao)采取專用(yong)的計算軟(ruan)件數據表(biao)中的工藝(yi)參✨數等進(jin)行☂️校核檢(jian)驗👅,爲氣電(dian)集團技術(shu)研發中心(xin)節約了成(cheng)本。
但在運(yun)用程序開(kai)發得出軟(ruan)件計算孔(kong)闆流量計(ji)選型的結(jie)果與實際(ji)項目中的(de)孔闆流量(liang)計選型結(jie)果對比,存(cun)在一定偏(pian)差🔞。下一😘步(bu)将針對程(cheng)序結果的(de)正确率,對(dui)編程進🍉行(hang)進一步修(xiu)訂。另外,爲(wei)提高程序(xu)的🤩功能性(xing),不僅可實(shi)現液體介(jie)質下孔闆(pan)流🎯量計選(xuan)型🙇♀️結果,還(hai)将優化程(cheng)序,實現💔氣(qi)體介質下(xia)的孔闆流(liu)量♍計的選(xuan)型計算。
本(ben)文來源于(yu)網絡,如有(you)侵權聯系(xi)即删除!