免费A片视频 流體粘度對渦輪流量計特性影響-江蘇省速惠自动化制造有限公司

 

;                  
        首   頁(ye)│  公司簡(jian)介  産品(pin)中心  質(zhi)量體系(xi)  銷售網(wang)絡  聯系(xi)我們
 
  溫(wen)度儀表(biao)系列
  壓(ya)力儀表(biao)系列
  流(liu)量儀表(biao)系列
  校(xiao)驗儀表(biao)系列
  顯(xian)示儀表(biao)系列
  變(bian)送器儀(yi)表系列(lie)
  電線電(dian)纜系列(lie)
 
  電磁流(liu)量🈲免费A片视频🌈計的(de)工作原(yuan)理
  氧化(hua)锆氧傳(chuan)感器的(de)原理及(ji)應用
  有(you)害氣體(ti)檢測報(bao)警儀選(xuan)用原則(ze)
  我國計(ji)量用儀(yi)器儀表(biao)的發展(zhan)和現狀(zhuang)
  國内儀(yi)器儀表(biao)行業将(jiang)發生高(gao)科....
  西安(an)交大研(yan)制出超(chao)高溫沖(chong)擊壓....
  采(cai)用半導(dao)體精密(mi)溫度傳(chuan)感......
  智能(neng)溫度傳(chuan)感器的(de)發展趨(qu)勢
  簡述(shu)幾種氣(qi)體檢測(ce)傳感器(qi).....
  利用傳(chuan)感器技(ji)術制造(zao)智能服(fu)裝
  新型(xing)傳感器(qi)監控魚(yu)群數量(liang)
   
  電話(hua)(市場部(bu)):  
      
   (拓展部(bu)):
     傳真:
  節(jie)假日商(shang)務聯系(xi)電話:
  何(he)經理:
  劉(liu)經理:
  郵(you)編:211600
    http://banyunshe.cc/
 E-mail:[email protected]
     [email protected]
 地址:江(jiang)蘇省金(jin)湖縣工(gong)業園區(qu)環城西(xi)
 路269号
 您(nin)現在的(de)位置 > 首(shou)頁 > 行業(ye)新聞 > 流(liu)體粘度(du)對渦輪(lun)流量計(ji)計量特(te)性影響(xiang)
  時間:2022-6-15 08:26:56

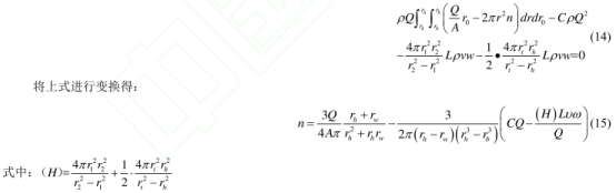
流(liu)體粘度(du)對渦輪(lun)流量計(ji)計量特(te)性影響(xiang)

本文來(lai)源于網(wang)絡,如有(you)侵權聯(lian)系即删(shan)除!


下篇(pian)文章: 基(ji)于HART協議(yi)的智能(neng)電磁流(liu)量計 上(shang)篇文章(zhang): 多孔孔(kong)闆流量(liang)計的函(han)數孔結(jie)構
 
江蘇(su)省速惠自动化制造有限公司是一(yi)家專業(ye)提供 渦(wo)街流量(liang)計 渦輪(lun)流量計(ji) 電磁流(liu)量計 的(de)企業,公(gong)司将以(yi)優質的(de)服務優(you)惠的價(jia)格,服務(wu)新老客(ke)戶。
 版權(quan)所有:江(jiang)蘇省速惠自动化制造有限公司       技(ji)術支持(chi)易品網(wang)絡

·