|
管(guan)壁差(cha)壓式(shi)渦街(jie)流量(liang)計測(ce)量影(ying)響因(yin)素
|
摘(zhai)要:爲(wei)了提(ti)高渦(wo)街流(liu)量計(ji)
的抗(kang)幹擾(rao)性和(he)穩定(ding)性并(bing)保證(zheng)測量(liang)精度(du),提出(chu)了一(yi)種基(ji)于管(guan)壁差(cha)壓的(de)旋渦(wo)頻率(lü)檢測(ce)新方(fang)法.在(zai)水和(he)空氣(qi)不同(tong)管内(nei)流動(dong)介質(zhi)的情(qing)況下(xia)進行(hang)了系(xi)統實(shi)驗.應(ying)用旋(xuan)渦動(dong)力學(xue)和流(liu)體阻(zu)抗法(fa),分析(xi)了取(qu)壓位(wei)置和(he)引壓(ya)管頻(pin)率特(te)性因(yin)素對(dui)該方(fang)法測(ce)量性(xing)能的(de)影響(xiang).結果(guo)表明(ming),在旋(xuan)渦發(fa)生體(ti)下遊(you)的一(yi)定距(ju)離内(nei),取壓(ya)位置(zhi)對該(gai)方法(fa)的斯(si)特勞(lao)哈爾(er)數和(he)儀表(biao)系數(shu)的影(ying)響很(hen)小,較(jiao)靠近(jin)旋渦(wo)發生(sheng)體迎(ying)流面(mian)的地(di)方可(ke)測流(liu)量下(xia)限低(di).引壓(ya)管的(de)長度(du)應盡(jin)量短(duan),并且(qie)保證(zheng)其固(gu)有頻(pin)率與(yu)渦街(jie)頻率(lü)相差(cha)較大(da)該方(fang)法簡(jian)便可(ke)靠,适(shi)應性(xing)強,測(ce)量下(xia)限低(di).
旋渦(wo)頻率(lü)的檢(jian)測是(shi)渦街(jie)流量(liang)計的(de)關鍵(jian),壓電(dian)晶體(ti)法是(shi)目前(qian)最爲(wei)常用(yong)的檢(jian)測方(fang)法.但(dan)是壓(ya)電晶(jing)體檢(jian)測法(fa)存在(zai)兩個(ge)嚴重(zhong)的問(wen)題:1)壓(ya)電晶(jing)體對(dui)管道(dao)的振(zhen)動較(jiao)敏感(gan).2)壓電(dian)晶體(ti)長期(qi)使用(yong)的穩(wen)定性(xing)差.爲(wei)了解(jie)決上(shang)述問(wen)題,研(yan)究人(ren)員從(cong)傳感(gan)器的(de)結構(gou)形式(shi)和流(liu)量信(xin)号的(de)分析(xi)處理(li)等方(fang)面進(jin)行了(le)廣泛(fan)深人(ren)的研(yan)究,取(qu)得了(le)大量(liang)的成(cheng)果,但(dan)是都(dou)難以(yi)從根(gen)本上(shang)予以(yi)解決(jue).
根據(ju)流體(ti)力學(xue)基本(ben)原理(li),在對(dui)渦街(jie)流量(liang)計流(liu)場數(shu)值仿(pang)真的(de)基礎(chu)上提(ti)出了(le)渦街(jie)流量(liang)計旋(xuan)渦頻(pin)率檢(jian)測的(de)管壁(bi)差壓(ya)法,并(bing)對在(zai)不同(tong)管徑(jing)方向(xiang)的取(qu)壓位(wei)置也(ye)作了(le)研究(jiu).結果(guo)表明(ming),該方(fang)法簡(jian)便可(ke)靠,不(bu)幹擾(rao)管道(dao)内的(de)流動(dong),抗幹(gan)擾性(xing)強,從(cong)而形(xing)成一(yi)種新(xin)型.的(de)渦街(jie)流量(liang)計,即(ji)管壁(bi)差壓(ya)式渦(wo)街流(liu)量計(ji)本文(wen)在已(yi)有的(de)研究(jiu)基礎(chu)上,應(ying)用旋(xuan)渦動(dong)力學(xue)和流(liu)體阻(zu)抗法(fa)的有(you)關原(yuan)理,從(cong)取壓(ya)位置(zhi)和差(cha)壓檢(jian)測系(xi)統兩(liang)個方(fang)面人(ren)手,分(fen)析了(le)各種(zhong)因素(su)對管(guan)璧差(cha)壓式(shi)渦街(jie)流量(liang)計測(ce)量的(de)影響(xiang),提出(chu)了相(xiang)應的(de)解決(jue)方案(an),爲優(you)化測(ce)量提(ti)供了(le)指導(dao).
1測量(liang)原理(li)與特(te)點
在(zai)渦街(jie)流量(liang)計中(zhong),有旋(xuan)渦産(chan)生的(de)地方(fang)必有(you)壓力(li)的變(bian)化,交(jiao)替産(chan)生的(de)旋渦(wo)必然(ran)會導(dao)緻附(fu)近流(liu)場的(de)壓力(li)出現(xian)規則(ze)的變(bian)化,其(qi)變化(hua)的頻(pin)率與(yu)旋渦(wo)的頻(pin)率一(yi)一對(dui)應,因(yin)此可(ke)以通(tong)過檢(jian)測發(fa)生體(ti)尾流(liu)中某(mou)确定(ding)的兩(liang)點間(jian)的波(bo)動差(cha)壓來(lai)測量(liang)旋渦(wo)頻率(lü),從而(er)實現(xian)流量(liang)的測(ce)量.由(you)于發(fa)生體(ti)兩側(ce)對稱(cheng)點上(shang)的相(xiang)位差(cha)爲180°,且(qie)振動(dong)幅度(du)和頻(pin)率相(xiang)等,因(yin)此将(jiang)差壓(ya)取壓(ya)位置(zhi)選取(qu)在管(guan)壁上(shang)的對(dui)稱點(dian)更利(li)于檢(jian)測,如(ru)圖1所(suo)示,其(qi)中圖(tu)1(a)、(b)分别(bie)爲沿(yan)着管(guan)道軸(zhou)向和(he)徑向(xiang)的截(jie)面圖(tu).
數值(zhi)仿真(zhen)結果(guo)都表(biao)明,與(yu)目前(qian)常用(yong)旋渦(wo)頻率(lü)檢測(ce)方法(fa)相比(bi),管壁(bi)差壓(ya)法具(ju)有以(yi)下明(ming)顯優(you)勢:1)引(yin)壓系(xi)統對(dui)管内(nei)待測(ce)介質(zhi)流動(dong)幾乎(hu)沒有(you)影響(xiang);2)傳感(gan)器系(xi)統獨(du)立于(yu)旋渦(wo)發生(sheng)體,并(bing)且位(wei)于管(guan)道外(wai)面,維(wei)修和(he)更換(huan)時不(bu)需要(yao)切斷(duan)管流(liu)拆卸(xie)旋渦(wo)發生(sheng)體,可(ke)以實(shi)現傳(chuan)感器(qi)在線(xian)維修(xiu)和更(geng)換;3)與(yu)壓電(dian)晶體(ti)法相(xiang)比,具(ju)有較(jiao)強的(de)抗幹(gan)擾性(xing);4)可測(ce)流量(liang)下限(xian)低.
2過(guo)程與(yu)裝置(zhi)
在管(guan)内流(liu)動介(jie)質分(fen)别爲(wei)水和(he)空氣(qi)的情(qing)況下(xia)均進(jin)行了(le)實驗(yan),整個(ge)測試(shi)由動(dong)力設(she)備、穩(wen)壓設(she)備、标(biao)準流(liu)量表(biao)、前直(zhi)管段(duan)、實驗(yan)段和(he)後直(zhi)管段(duan)6部分(fen)組成(cheng).管道(dao)的内(nei)直徑(jing)D=50mm,旋渦(wo)發生(sheng)體的(de)橫截(jie)面爲(wei)梯形(xing),迎流(liu)面寬(kuan)度d=14mm,管(guan)壁差(cha)壓的(de)取壓(ya)孔選(xuan)擇在(zai)發生(sheng)體後(hou)的三(san)對不(bu)同位(wei)置1、2、3,它(ta)們分(fen)别位(wei)于距(ju)發生(sheng)體迎(ying)流面(mian)0.2D、0.5D、D的下(xia)遊,其(qi)中D爲(wei)管道(dao)内直(zhi)徑,如(ru)圖2所(suo)示.
空(kong)氣和(he)水的(de)标準(zhun)流量(liang)表分(fen)别爲(wei)鍾罩(zhao)标準(zhun)流量(liang)裝置(zhi)和電(dian)磁流(liu)量計(ji),它們(men)的精(jing)度均(jun)爲0.5級(ji).測得(de)的管(guan)壁差(cha)壓經(jing)過放(fang)大,由(you)數字(zi)示波(bo)器記(ji)錄保(bao)存,再(zai)導人(ren)計算(suan)機進(jin)行處(chu)理分(fen)析.
3取(qu)壓位(wei)置的(de)影響(xiang)
3.1渦街(jie)流計(ji)内的(de)旋渦(wo)特性(xing)
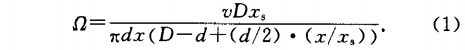
由于(yu)管壁(bi)的約(yue)束,渦(wo)街流(liu)量計(ji)中旋(xuan)渦的(de)産生(sheng)和脫(tuo)落特(te)性并(bing)不和(he)自由(you)流場(chang)中的(de)情況(kuang)完全(quan)相同(tong).渦街(jie)流量(liang)計中(zhong)旋渦(wo)發生(sheng)體下(xia)遊的(de)旋渦(wo)區可(ke)以分(fen)爲3個(ge)區段(duan),即密(mi)集發(fa)展段(duan)、穩定(ding)段和(he)旋渦(wo)消散(san)段.在(zai)密集(ji)發展(zhan)段,旋(xuan)渦旋(xuan)度2(即(ji)渦量(liang))沿流(liu)動方(fang)向x的(de)變化(hua)規律(lü)爲.
式(shi)中:v爲(wei)管内(nei)平均(jun)流速(su),D爲管(guan)道内(nei)直徑(jing),d爲旋(xuan)渦發(fa)生體(ti)迎流(liu)面寬(kuan)度,xs爲(wei)密集(ji)發展(zhan)段的(de)長度(du).
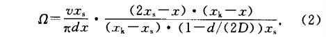
在穩(wen)定段(duan),旋渦(wo)旋度(du)爲
式(shi)中:xk爲(wei)密集(ji)發展(zhan)段和(he)穩定(ding)段的(de)總長(zhang)度.
由(you)于d、D、x,和(he)xk均爲(wei)常數(shu),根據(ju)式(1),(2)可(ke)見,不(bu)論是(shi)在密(mi)集發(fa)展段(duan)還是(shi)在穩(wen)定段(duan),旋渦(wo)旋度(du)Ω都是(shi)正比(bi)于流(liu)速v,且(qie)随x的(de)增大(da)而減(jian)小.
在(zai)旋渦(wo)消散(san)段,由(you)于流(liu)層之(zhi)間的(de)相互(hu)作用(yong)能量(liang)逐漸(jian)消耗(hao),旋渦(wo)逐漸(jian)消失(shi).
3.2不同(tong)取壓(ya)位置(zhi)的實(shi)驗結(jie)果與(yu)比較(jiao)
3.2.1斯特(te)勞哈(ha)爾數(shu)和儀(yi)表系(xi)數渦(wo)街流(liu)量計(ji)
用于(yu)測量(liang)的前(qian)提條(tiao)件是(shi)在--定(ding)的雷(lei)諾數(shu)Re範圍(wei)内儀(yi).表系(xi)數K保(bao)持爲(wei)常數(shu),對于(yu)渦街(jie)流量(liang)計,由(you)于K與(yu)斯特(te)勞哈(ha)爾數(shu)St存在(zai)如下(xia)關系(xi):
因此(ci)要求(qiu)在一(yi)定的(de)雷諾(nuo)數Re範(fan)圍内(nei)St保持(chi)不變(bian).不同(tong)流動(dong)介質(zhi)、不同(tong)取壓(ya)位置(zhi)的St與(yu)Re的對(dui)應關(guan)系如(ru)圖3(a)、(b)所(suo)示.各(ge)種情(qing)況的(de)St基本(ben)上保(bao)持爲(wei)常數(shu),且它(ta)們的(de)值均(jun)相等(deng),約爲(wei)0.253.各種(zhong)情況(kuang)的儀(yi)表系(xi)數列(lie)于表(biao)1,它們(men)之間(jian)的最(zui)大相(xiang)對誤(wu)差小(xiao)于1%,這(zhe)表明(ming)在旋(xuan)渦發(fa)生體(ti)後一(yi)定的(de)距離(li)内,流(liu)動介(jie)質和(he)取壓(ya)位置(zhi)對管(guan)壁差(cha)壓式(shi)渦街(jie)流量(liang)計的(de)測量(liang)影響(xiang)很小(xiao).
3.2.2最小(xiao)可測(ce)流速(su)
渦街(jie)流量(liang)計測(ce)量下(xia)限的(de)拓展(zhan)一直(zhi)是研(yan)究的(de)熱點(dian).各種(zhong)情況(kuang)的最(zui)小可(ke)測流(liu)速及(ji)常規(gui)渦街(jie)流量(liang)計的(de)測量(liang)下限(xian)列于(yu)表2.在(zai)實驗(yan)中,越(yue)靠近(jin)發生(sheng)體,旋(xuan)渦的(de)旋度(du)強,測(ce)量的(de)靈敏(min)度高(gao),不論(lun)是水(shui)還是(shi)空氣(qi),最小(xiao)可測(ce)流量(liang)都是(shi)随取(qu)壓位(wei)置的(de)後移(yi)而增(zeng)大.當(dang)測量(liang)水時(shi),位置(zhi)1的測(ce)量下(xia)限僅(jin)爲常(chang)規表(biao)的52%;當(dang)測量(liang)空氣(qi)時,位(wei)置1的(de)測量(liang)下限(xian)爲常(chang)規表(biao)的75%,因(yin)此采(cai)用管(guan)壁差(cha)壓法(fa)能有(you)效地(di)降低(di)渦街(jie)流量(liang)計的(de)測量(liang)下限(xian),将取(qu)壓位(wei)置适(shi)當靠(kao)近發(fa)生體(ti)能進(jin)一步(bu)降低(di)測量(liang)下限(xian).
引壓(ya)管的(de)影響(xiang)
4.1引壓(ya)管動(dong)态特(te)性的(de)數學(xue)模型(xing)
根據(ju)流體(ti)阻抗(kang)法的(de)集中(zhong)參數(shu)模型(xing),若差(cha)壓傳(chuan)感器(qi)兩根(gen)引壓(ya)管的(de)平均(jun)長度(du)爲Ɩ0,平(ping)均導(dao)納爲(wei)YƖ0,輸入(ru)的管(guan)壁正(zheng)弦脈(mo)動壓(ya)力差(cha)△pi=pil-pi2,則傳(chuan)至差(cha)壓傳(chuan)感器(qi)的差(cha)壓爲(wei)
式中(zhong):F=√ZY爲引(yin)壓管(guan)單位(wei)長度(du)的傳(chuan)播常(chang)數;Z和(he)Y分别(bie)爲單(dan)位長(zhang)度的(de)串聯(lian)阻抗(kang)和并(bing)聯導(dao)納;Zc=√Z/Y爲(wei)管路(lu)的特(te)性阻(zu)抗;δ爲(wei)差壓(ya)測量(liang)的絕(jue)對誤(wu)差;K。爲(wei)壓力(li)脈動(dong)影響(xiang)系數(shu).
在兩(liang)段引(yin)壓管(guan)長度(du)較短(duan)且相(xiang)差不(bu)大,差(cha)壓傳(chuan)感器(qi)壓力(li)腔室(shi)很小(xiao)的條(tiao)件下(xia),當輸(shu)人差(cha)壓脈(mo)動頻(pin)率ƒ低(di)于引(yin)壓管(guan)的基(ji)本頻(pin)率ƒ。的(de)1/2時,Kp<0.03,δ值(zhi)較小(xiao);當ƒ>0.5ƒ。時(shi),Kp随ƒ的(de)增.加(jia)而顯(xian)著上(shang)升,δ值(zhi)較大(da).
4.2管壁(bi)差壓(ya)平均(jun)幅值(zhi)的測(ce)最偏(pian)差與(yu)讨論(lun)
管壁(bi)差壓(ya)平均(jun)幅值(zhi)`Pmax定義(yi)爲
式(shi)中:Pmax.pmin,;分(fen)别爲(wei)第i個(ge)旋渦(wo)周期(qi)内管(guan)壁差(cha)壓的(de)最大(da)值和(he)最小(xiao)值;N爲(wei)檢測(ce)的總(zong)周期(qi)數. `Pmx值(zhi)反映(ying)了旋(xuan)渦強(qiang)度的(de)大小(xiao),應随(sui)流量(liang)的增(zeng)加而(er)增大(da).實驗(yan)`Pmx與qv的(de)關系(xi)如圖(tu)4所示(shi),當圖(tu)4(a)中給(gei)出的(de)是流(liu)動介(jie)質爲(wei)水時(shi),從3對(dui)不同(tong)取壓(ya)位置(zhi)測量(liang)的`Pmx随(sui)qv的分(fen)布情(qing)況,可(ke)見3條(tiao)曲線(xian)均随(sui)qv的增(zeng)加而(er)單調(diao)遞增(zeng),較好(hao)地符(fu)合了(le)理論(lun)預測(ce);圖4(b)中(zhong)所示(shi)的是(shi)流動(dong)介質(zhi)爲空(kong)氣時(shi)的情(qing)況,3條(tiao)曲線(xian)的形(xing)狀相(xiang)似,當(dang)qv<83m3/h,`Pmx随流(liu)量的(de)增加(jia)而增(zeng)大,在(zai)qv=83m3/h附近(jin)取得(de)極大(da)值,當(dang)qv>83m3/h,`Pmx不再(zai)随流(liu)量的(de)增加(jia)而增(zeng)大,而(er)是急(ji)劇下(xia)降直(zhi)至qv>120m3/h後(hou)逐漸(jian)平緩(huan)遞增(zeng).
當流(liu)量qv=83m3/h時(shi),旋渦(wo)頻率(lü)ƒ=213Hz,K=2.5680Hz·h/m;引壓(ya)管的(de)長度(du)Ɩ=0.20m,其固(gu)有頻(pin)率ƒ0=c/(4Ɩ)=425Hz,c爲(wei)引壓(ya)管中(zhong)介質(zhi)的聲(sheng)速,則(ze)ƒ=0.5ƒ0..當qv>83m3/h,ƒ>0.5ƒ0,Kp随(sui)ƒ的增(zeng)加而(er)顯著(zhe)上升(sheng),差壓(ya)測量(liang)的絕(jue)對誤(wu)差δ值(zhi)增大(da).因此(ci)較低(di)的引(yin)壓管(guan)固有(you)頻率(lü)阻礙(ai)了測(ce)壓系(xi)統對(dui)動态(tai)管壁(bi)差壓(ya)的響(xiang)應,從(cong)而造(zao)成較(jiao)大的(de)測量(liang)誤差(cha),與理(li)論關(guan)系不(bu)符.爲(wei)了克(ke)服或(huo)減小(xiao)引壓(ya)管對(dui)測量(liang)的影(ying)響,應(ying)盡量(liang)縮短(duan)引壓(ya)管的(de)長.度(du).但是(shi)管壁(bi)差壓(ya)幅值(zhi)的誤(wu)差并(bing)沒有(you)影響(xiang)頻率(lü)的測(ce)量,對(dui)St和K的(de)影響(xiang)甚小(xiao),也即(ji)流量(liang)的測(ce)量幾(ji)乎不(bu)會受(shou)影響(xiang),說明(ming)管壁(bi)差壓(ya)法的(de)強适(shi)應性(xing)和穩(wen)定性(xing).
5結論(lun)
(1)在發(fa)生體(ti)下遊(you)的一(yi)定距(ju)離内(nei),取壓(ya)位置(zhi)對管(guan)壁差(cha)壓式(shi)渦街(jie)流量(liang)計的(de)斯特(te)勞哈(ha)爾數(shu)和儀(yi)表系(xi)數的(de)影響(xiang)很小(xiao);
(2)管壁(bi)差壓(ya)式渦(wo)街流(liu)量計(ji)的測(ce)量下(xia)限随(sui)取壓(ya)位置(zhi)的不(bu)同而(er)顯著(zhe)變化(hua),在旋(xuan)渦發(fa)生體(ti)後的(de)一定(ding)範圍(wei)内,較(jiao)靠近(jin)發生(sheng)體迎(ying)流面(mian)的地(di)方測(ce)得的(de)最小(xiao)流速(su)低于(yu)遠離(li)迎流(liu)面的(de)地方(fang);
(3)引壓(ya)管的(de)響應(ying)頻率(lü)對管(guan)壁差(cha)壓式(shi)渦街(jie)流量(liang)計的(de)測量(liang)有着(zhe)重要(yao)的影(ying)響,爲(wei)了保(bao)證準(zhun)确測(ce)量,應(ying)盡量(liang)縮短(duan)引壓(ya)管的(de)長度(du),并且(qie)保證(zheng)引壓(ya)管固(gu)有頻(pin)率與(yu)渦街(jie)頻率(lü)相差(cha)較大(da).
由于(yu)工業(ye)現場(chang)的流(liu)動狀(zhuang)态複(fu)雜,因(yin)此進(jin)一步(bu)工作(zuo)将圍(wei)繞着(zhe)該方(fang)法在(zai)旋轉(zhuan)流、脈(mo)動流(liu)等惡(e)劣工(gong)況下(xia)的性(xing)能展(zhan)開.
本(ben)文來(lai)源于(yu)網絡(luo),如有(you)侵權(quan)聯系(xi)即删(shan)除!
|
|
|
|