日韩精品极品视频在线观看免费 智能流量計在油田生産中的應用-江蘇省速惠自动化制造有限公司

 

;                  
        首   頁(ye)│  産品(pin)中心(xin)  質量(liang)體系(xi)  銷售(shou)網絡(luo)  聯系(xi)我們(men)
 
  溫度(du)儀表(biao)系列(lie)
  壓力(li)儀表(biao)系列(lie)
  流量(liang)儀表(biao)系列(lie)
  校驗(yan)儀表(biao)系列(lie)
  顯示(shi)儀表(biao)系列(lie)
  變送(song)器儀(yi)表系(xi)列
  電(dian)線電(dian)纜系(xi)列
  電(dian)磁流(liu)量🍉日韩精品极品视频在线观看免费♊計(ji)的工(gong)作原(yuan)理
  氧(yang)化锆(gao)氧傳(chuan)感器(qi)的原(yuan)理及(ji)應用(yong)
 
  國内(nei)儀器(qi)儀表(biao)行業(ye)将發(fa)生高(gao)科....
  西(xi)安交(jiao)大研(yan)制出(chu)超高(gao)溫沖(chong)擊壓(ya)....
  采用(yong)半導(dao)體精(jing)密溫(wen)度傳(chuan)感......
  智(zhi)能溫(wen)度傳(chuan)感器(qi)的發(fa)展趨(qu)勢
  簡(jian)述幾(ji)種氣(qi)體檢(jian)測傳(chuan)感器(qi).....
  利用(yong)傳感(gan)器技(ji)術制(zhi)造智(zhi)能服(fu)裝
新(xin)型傳(chuan)感器(qi)監控(kong)魚群(qun)數量(liang)
   
 
  電話(hua)(市場(chang)部):  
      
   (拓(tuo)展部(bu)):
     傳真(zhen):
  節假(jia)日商(shang)務聯(lian)系電(dian)話:
  何(he)經理(li):
  劉經(jing)理:
 網(wang)址:/
    http://banyunshe.cc/
 E-mail:[email protected]
     [email protected]
 地(di)址:江(jiang)蘇省(sheng)金湖(hu)縣工(gong)業園(yuan)區環(huan)城西(xi)
 路269号(hao)
 您現(xian)在的(de)位置(zhi) > 首頁(ye) > 行業(ye)新聞(wen) > 智能(neng)流量(liang)計在(zai)油田(tian)生産(chan)中的(de)應用(yong)
     

智能(neng)流量(liang)計在(zai)油田(tian)生産(chan)中的(de)應用(yong)
發布(bu)時間(jian):2021-7-27 08:23:01

摘要(yao):文章(zhang)通過(guo)對智(zhi)能流(liu)量計(ji) 結構(gou)、工作(zuo)原理(li)的分(fen)析,并(bing)與機(ji)械式(shi)流量(liang)計進(jin)行了(le)一系(xi)列對(dui)🌍比⛷️試(shi)驗,得(de)出了(le)智能(neng)流量(liang)計不(bu)論計(ji)量精(jing)度,還(hai)是适(shi)應性(xing)均優(you)于機(ji)械式(shi)流量(liang)計的(de)結論(lun)。在中(zhong)原橋(qiao)口油(you)田的(de)大範(fan)圍推(tui)廣使(shi)用智(zhi)能流(liu)量計(ji)獲得(de)了成(cheng)功,并(bing)積累(lei)了一(yi)套智(zhi)能流(liu)量計(ji)的選(xuan)型、安(an)裝、使(shi)🔞用經(jing)驗與(yu)方法(fa),爲油(you)田注(zhu)✂️水計(ji)量儀(yi)表的(de)更新(xin)換代(dai)找到(dao)了可(ke)行之(zhi)路。
  注(zhu)水開(kai)發是(shi)油田(tian)開采(cai)中後(hou)期的(de)主要(yao)開采(cai)方式(shi),而注(zhu)水量(liang)計量(liang)與控(kong)制的(de)正确(que)與否(fou),直接(jie)關系(xi)到注(zhu)水開(kai)發的(de)效果(guo)。長🐆期(qi)以🔴來(lai),中原(yuan)油田(tian)注水(shui)計量(liang)絕大(da)部分(fen)使用(yong)🔴的是(shi)機械(xie)傳動(dong)直讀(du)式流(liu)量計(ji)㊙️,由于(yu)該種(zhong)流量(liang)計的(de)适應(ying)性較(jiao)差、精(jing)度和(he)操作(zuo)者水(shui)平較(jiao)低等(deng)諸多(duo)原因(yin),造成(cheng)流量(liang)計易(yi)損壞(huai)、維修(xiu)停産(chan)時間(jian)長、計(ji)量不(bu)正确(que)等問(wen)題,注(zhu)水量(liang)隐性(xing)超注(zhu)、欠注(zhu)現象(xiang)時有(you)發生(sheng),給中(zhong)原油(you)田這(zhe)種小(xiao)型複(fu)雜斷(duan)塊🔱油(you)田的(de)精細(xi)注水(shui)開發(fa)帶來(lai)諸多(duo)不利(li)的影(ying)響,大(da)量超(chao)注造(zao)成油(you)井🌈發(fa)生水(shui)串、水(shui)淹,破(po)壞了(le)💁地層(ceng)油水(shui)系統(tong)的平(ping)衡,增(zeng)加了(le)采出(chu)油的(de)含水(shui)🈲量,降(jiang)低❄️了(le)原油(you)采收(shou)率,減(jian)少了(le)水🈲驅(qu)動用(yong)儲量(liang),縮短(duan)了穩(wen)産期(qi),而且(qie),超注(zhu)、高含(han)水原(yuan)油的(de)去水(shui)處理(li)、卡堵(du)水作(zuo)業和(he)注👅采(cai)系統(tong)的調(diao)整都(dou)導㊙️緻(zhi)了采(cai)油成(cheng)本的(de)大幅(fu)度提(ti)高;隐(yin)性欠(qian)‼️注♊,使(shi)該見(jian)效的(de)油井(jing)未見(jian)效,降(jiang)低💯了(le)原油(you)采出(chu)率。如(ru)何連(lian)續、可(ke)🌂靠、正(zheng)确計(ji)量注(zhu)水量(liang),及時(shi)掌握(wo)注水(shui)動态(tai)成爲(wei)困擾(rao)注水(shui)管🐇理(li)工作(zuo)者的(de)一大(da)難題(ti)。
1計量(liang)儀表(biao)的選(xuan)型
  爲(wei)了較(jiao)好地(di)解決(jue)以上(shang)問題(ti),從1989年(nian)開始(shi),我們(men)引進(jin)了 智(zhi)能流(liu)量積(ji)算儀(yi) ,在采(cai)油一(yi)廠進(jin)行了(le)試點(dian),部分(fen)解決(jue)了計(ji)量問(wen)題引(yin)起🏃🏻‍♂️了(le)一定(ding)的促(cu)進作(zuo)用,1991年(nian)又在(zai)采油(you)六廠(chang)部分(fen)注水(shui)🌍井站(zhan)推廣(guang)應用(yong)了同(tong)🏃‍♂️系列(lie)的産(chan)品(見(jian)表1)。
 
  但(dan)由于(yu)當時(shi)産品(pin)技術(shu)水平(ping)的限(xian)制及(ji)其它(ta)原因(yin),後5又(you)改用(yong)高壓(ya)幹式(shi)水表(biao)計量(liang),走了(le)一段(duan)回頭(tou)路.。
  1998年(nian),我們(men)選中(zhong)了LXQ-C系(xi)列智(zhi)能流(liu)量計(ji),該系(xi)列流(liu)量計(ji)采⛹🏻‍♀️用(yong)😘全⛷️新(xin)的設(she)🌏計理(li)念,其(qi)一次(ci)儀表(biao)基本(ben)上無(wu)磨損(sun)部件(jian),減小(xiao)了出(chu)現故(gu)障🌈和(he)造成(cheng)損壞(huai)的概(gai)率,二(er)次儀(yi)表參(can)數可(ke)分段(duan)現⚽場(chang)設置(zhi)♋,理論(lun)上提(ti)高了(le)計量(liang)精度(du),其性(xing)能基(ji)本滿(man)足了(le)中源(yuan)油田(tian)精細(xi)注水(shui)開發(fa)的要(yao)求💋,并(bing)能适(shi)應未(wei)來發(fa)展的(de)需要(yao)。
2智能(neng)流量(liang)計的(de)結構(gou)與工(gong)作原(yuan)理
2.1結(jie)構
  智(zhi)能流(liu)量計(ji)由智(zhi)能流(liu)量積(ji)算儀(yi)和旋(xuan)轉流(liu)量變(bian)送器(qi)☂️兩大(da)部件(jian)組成(cheng)。智能(neng)流量(liang)積算(suan)儀由(you)傳感(gan)器探(tan)頭、液(ye)晶顯(xian)示器(qi)等主(zhu)要部(bu)件㊙️組(zu)成,旋(xuan)球流(liu)量變(bian)送器(qi)由殼(ke)體和(he)表芯(xin)組㊙️成(cheng)。
2.2工作(zuo)原理(li)
(1)旋球(qiu)流量(liang)變送(song)器工(gong)作原(yuan)理
  流(liu)體通(tong)過起(qi)旋器(qi)産生(sheng)穩定(ding)旋渦(wo),帶動(dong)不鏽(xiu)鋼空(kong)心小(xiao)球沿(yan)固定(ding)的旋(xuan)轉半(ban)徑作(zuo)圓周(zhou)運動(dong),小球(qiu)轉數(shu)與流(liu)量成(cheng)正比(bi),使用(yong)特制(zhi)的傳(chuan)感器(qi)探頭(tou)測量(liang)該小(xiao)球沿(yan)圓周(zhou)運動(dong)的旋(xuan)轉圈(quan)數,來(lai)間🔅接(jie)測量(liang)液體(ti)的流(liu)量。
(2)智(zhi)能流(liu)量積(ji)算儀(yi)工作(zuo)原理(li)
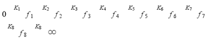
  傳感(gan)器探(tan)頭測(ce)得信(xin)号N經(jing)過前(qian)置放(fang)大器(qi)放大(da)、濾波(bo)、整形(xing)後變(bian)成脈(mo)沖信(xin)号最(zui)後送(song)往智(zhi)能流(liu)量積(ji)算儀(yi)中的(de)☀️微處(chu)理器(qi)進行(hang)運算(suan)處理(li),微處(chu)理器(qi)按照(zhao)預置(zhi)👌程序(xu)工作(zuo),即微(wei)處理(li)器根(gen)據單(dan)位時(shi)間👅内(nei)的脈(mo)沖信(xin)号數(shu)量,先(xian)計算(suan)輸入(ru)信号(hao)的頻(pin)🧑🏾‍🤝‍🧑🏼率,再(zai)由信(xin)📞号頻(pin)率f決(jue)定儀(yi)表系(xi)數K,頻(pin)率f(Hz)與(yu)儀表(biao)系數(shu)K(脈沖(chong)數💯/m)按(an)以下(xia)計算(suan):
 
  當頻(pin)率在(zai)0與ƒ之(zhi)間時(shi),儀表(biao)系數(shu)按K計(ji)算。當(dang)頻率(lü)在ƒ1與(yu)f:之間(jian)時,儀(yi)⭐表系(xi)數K按(an)Kr計算(suan)以此(ci)類推(tui),.當頻(pin)率大(da)于ƒ8時(shi)🏃‍♂️,按K:計(ji)算。然(ran)後,”微(wei)🔞處理(li)器再(zai)根據(ju)計算(suan)公式(shi):流體(ti)體積(ji)V=N/K計算(suan)并顯(xian)示出(chu)相應(ying)的累(lei)計與(yu)🌈瞬時(shi)流量(liang)。
式中(zhong)N爲脈(mo)沖數(shu);K爲系(xi)數,脈(mo)沖數(shu)/m3。
3現場(chang)應用(yong)
3.1安裝(zhuang)工藝(yi)技術(shu)要點(dian)
(1)水質(zhi)惡劣(lie)、雜質(zhi)較大(da)時,表(biao)前應(ying)裝配(pei)ZG型過(guo)濾器(qi)。
(2)爲了(le)保證(zheng)流量(liang)計計(ji)量正(zheng)确,流(liu)量計(ji)前不(bu)得有(you)節流(liu)裝置(zhi)。
(3)新投(tou)用的(de)管道(dao)由于(yu)在施(shi)工中(zhong)内部(bu)殘留(liu)有泥(ni)沙、焊(han)渣等(deng)雜物(wu),使💯用(yong)前須(xu)先取(qu)出表(biao)芯,沖(chong)洗管(guan)道幹(gan)淨後(hou)再裝(zhuang)上表(biao)芯,以(yi)免雜(za)🈲物損(sun)壞流(liu)量計(ji)内部(bu)零件(jian)。
(4)待殼(ke)體與(yu)管道(dao)安裝(zhuang)完畢(bi),再裝(zhuang)上智(zhi)能流(liu)量積(ji)算儀(yi)💜,可避(bi)免🌈因(yin)管✂️道(dao)安裝(zhuang)時敲(qiao)擊劇(ju)烈震(zhen)動,而(er)降低(di)儀表(biao)靈敏(min)㊙️度。
3.2現(xian)場實(shi)驗情(qing)沉
  2025年(nian)11月,在(zai)采油(you)六廠(chang)橋口(kou)油田(tian)3#、11#采油(you)站配(pei)水間(jian)各安(an)裝了(le)一套(tao)測試(shi)⛹🏻‍♀️流程(cheng),對LXQ-C智(zhi)能流(liu)量計(ji)的精(jing)度、适(shi)應性(xing)、抗震(zhen)性等(deng)主要(yao)技術(shu)性🌂能(neng)指标(biao)進行(hang)了測(ce)試,試(shi)驗期(qi)爲一(yi)年。測(ce)🌈試情(qing)況如(ru)下。
(1)精(jing)度
①對(dui)比實(shi)驗
a測(ce)試流(liu)程:注(zhu)水泵(beng)站→注(zhu)水管(guan)網→配(pei)水彙(hui)管→上(shang)流閥(fa)門→高(gao)壓幹(gan)式水(shui)表→渦(wo)輪流(liu)量計(ji)→智能(neng)流量(liang)計→流(liu)量調(diao)節⛱️閥(fa)→标準(zhun)容器(qi)(14m3)。
b測試(shi)情況(kuang):試驗(yan)所用(yong)計量(liang)儀表(biao)都爲(wei)同精(jing)度等(deng)級的(de)新表(biao),被測(ce)儀表(biao)處于(yu)同一(yi)條測(ce)試流(liu)程的(de)同一(yi)壓力(li)環境(jing)下工(gong)作,流(liu)速大(da)✍️小用(yong)💃🏻下流(liu)的流(liu)量調(diao)節閥(fa)平穩(wen)控制(zhi)。
c測試(shi)數據(ju):
 
d結論(lun):通過(guo)測試(shi)比較(jiao),智能(neng)流量(liang)計的(de)計量(liang)精度(du)高于(yu)其它(ta)計量(liang)儀表(biao)。
②流量(liang).誤差(cha)關系(xi)
a測試(shi)流程(cheng):注水(shui)泵站(zhan)→注水(shui)管網(wang)-配水(shui)彙管(guan)→上流(liu)閥門(men)💘→智能(neng)☎️流量(liang)計→流(liu)量調(diao)節閥(fa)→标準(zhun)容器(qi)(14m)。
b測試(shi)數據(ju):
 
c結論(lun):選用(yong)智能(neng)流量(liang)計時(shi),不能(neng)單純(chun)以管(guan)道直(zhi)徑來(lai)确定(ding)流量(liang)計口(kou)徑,要(yao)注意(yi)流量(liang)計的(de)流量(liang)範圍(wei)是否(fou)符合(he)💋實際(ji)使用(yong)要求(qiu)💔,并以(yi)‼️經常(chang)使用(yong)在接(jie)近常(chang)用流(liu)💯量到(dao)分界(jie)流量(liang)之間(jian)爲宜(yi)。此時(shi),流量(liang)計計(ji)量的(de)精度(du)高。
(2)适(shi)應性(xing)
①流體(ti)介質(zhi):注水(shui)介質(zhi)由清(qing)水改(gai)爲污(wu)水後(hou),運行(hang)正常(chang),拆開(kai)✉️流量(liang)計觀(guan)察,内(nei)部結(jie)構部(bu)件腐(fu)蝕程(cheng)度很(hen)低。
②抗(kang)震性(xing):爲了(le)測試(shi)儀表(biao)的抗(kang)震性(xing)能,我(wo)們把(ba)智能(neng)流量(liang)計安(an)裝在(zai)☁️距注(zhu)水泵(beng)站約(yue)20m的配(pei)水間(jian),在該(gai)配水(shui)間🙇🏻有(you)明🌈顯(xian)來自(zi)泵站(zhan)的震(zhen)動感(gan)(約4~5級(ji)),在此(ci)環境(jing)中,智(zhi)能流(liu)量計(ji)工作(zuo)正常(chang),連續(xu)運行(hang)一年(nian)後,将(jiang)💜該表(biao)拆下(xia)送檢(jian),校驗(yan)結果(guo)證明(ming)誤🈲差(cha)在允(yun)許範(fan)圍之(zhi)内。
③耐(nai)高壓(ya):儀表(biao)長時(shi)間在(zai)流體(ti)介質(zhi)壓力(li)達24.5~38MPa的(de)環境(jing)中運(yun)行,未(wei)出🔴現(xian)任何(he)事故(gu),各部(bu)件的(de)動靜(jing)密封(feng)點滲(shen)漏🤞率(lü)也很(hen)低♋。
④表(biao)芯更(geng)換:清(qing)洗、誤(wu)差調(diao)整、鑒(jian)定流(liu)量計(ji)時須(xu)要拆(chai)卸表(biao)芯,更(geng)換🌈表(biao)芯操(cao)作的(de)難易(yi),關系(xi)到注(zhu)水井(jing)停注(zhu)時間(jian)的長(zhang)短。長(zhang)期⁉️的(de)實踐(jian)證明(ming),該型(xing)流量(liang)計更(geng)換表(biao)芯操(cao)作簡(jian)單、。速(su)度快(kuai)
⑤可靠(kao)性:連(lian)續使(shi)用一(yi)年多(duo),故障(zhang)率很(hen)小,未(wei)出現(xian)整機(ji)損壞(huai)現🌐象(xiang),可靠(kao)性高(gao),使用(yong)壽命(ming)長。
  推(tui)廣應(ying)用實(shi)踐表(biao)明,該(gai)智能(neng)流量(liang)計是(shi)油田(tian)注水(shui)計✌️量(liang)較爲(wei)理想(xiang)的新(xin)型流(liu)量儀(yi)表,是(shi)機械(xie)式水(shui)表的(de)更新(xin)換代(dai)産😍品(pin)。

以上(shang)内容(rong)源于(yu)網絡(luo),如有(you)侵權(quan)聯系(xi)即删(shan)除!

下(xia)篇文(wen)章: 采(cai)用渦(wo)街流(liu)量計(ji)法測(ce)量壓(ya)縮機(ji)排氣(qi)量 上(shang)篇文(wen)章 金(jin)屬管(guan)浮子(zi)流量(liang)計原(yuan)理及(ji)故障(zhang)處理(li)
 
 版權(quan)所有(you):江蘇(su)省速惠自动化制造有限公司     技(ji)術支(zhi)持易(yi)品網(wang)絡

 
·