壓縮(suo)機進口(kou)孔闆流(liu)量計差(cha)壓與流(liu)量的關(guan)系
發布(bu)時間:2025-11-27 08:10:42 |
摘(zhai)要:目前(qian)已存在(zai)的行業(ye)标準中(zhong),孔闆流(liu)量計理(li)論計算(suan)公式繁(fan)多,計算(suan)出的流(liu)量在實(shi)際應用(yong)時存在(zai)較大誤(wu)🏃♂️差。文中(zhong)通過對(dui)孔闆流(liu)量計結(jie)構、測量(liang)㊙️原理進(jin)行分析(xi),推導出(chu)流量計(ji)算公式(shi),換算出(chu)對應的(de)标況下(xia)的流🈚量(liang)計算方(fang)法。并與(yu)實際測(ce)量的流(liu)量進行(hang)了對比(bi),結果表(biao)明,計算(suan)誤差較(jiao)小,驗證(zheng)了該計(ji)算方法(fa)的有✉️效(xiao)性。
孔闆(pan)流量計(ji)是1種測(ce)量管道(dao)流體流(liu)量的裝(zhuang)置,因其(qi)具有結(jie)構簡單(dan),維修方(fang)便,性能(neng)穩定,使(shi)用可靠(kao),适應惡(e)劣環境(jing)等特點(dian),廣泛應(ying)用于天(tian)然氣長(zhang)輸管道(dao)氣體流(liu)量測量(liang)"。在不同(tong)工況、不(bu)同轉速(su)下能量(liang)頭、效率(lü)、功率與(yu)流量密(mi)切相關(guan),在已知(zhi)流量的(de)前提下(xia),可以快(kuai)速分析(xi)壓縮機(ji)性能。目(mu)前,已存(cun)在的孔(kong)闆流量(liang)計🔱标準(zhun)中理論(lun)計算公(gong)式繁多(duo),标況狀(zhuang)态不明(ming)顯,且計(ji)💘算出的(de)流🍓量值(zhi)存在較(jiao)大誤差(cha)”。
針對孔(kong)闆流量(liang)計測量(liang)原理、結(jie)構、公式(shi)來源進(jin)行分析(xi),推💰導出(chu)🚩工況下(xia)正确的(de)流量計(ji)算公式(shi),然後換(huan)算出對(dui)應的标(biao)況下的(de)流量,并(bing)将推導(dao)出的公(gong)式寫人(ren)上位機(ji)程序,在(zai)上位機(ji)上實時(shi)顯示。根(gen)據上位(wei)機顯📧示(shi)的實時(shi)人口流(liu)量,便可(ke)進一🙇♀️步(bu)分析壓(ya)縮機的(de)性能,爲(wei)壓縮機(ji)安全穩(wen)定運行(hang)提供依(yi)據。
1孔闆(pan)流量計(ji)結構及(ji)流動過(guo)程
孔闆(pan)流量計(ji)結構見(jian)圖1。

在管道(dao)裏插入(ru)1個與管(guan)軸垂直(zhi)的金屬(shu)闆,金屬(shu)闆中心(xin)爲🚩1個圓(yuan)🌈孔,孔的(de)中心位(wei)于管道(dao)的中心(xin)線上,孔(kong)闆稱爲(wei)節流元(yuan)件。在孔(kong)闆進💯氣(qi)側距離(li)孔闆1個(ge)管道直(zhi)徑的位(wei)置,安裝(zhuang)1個測壓(ya)管;在孔(kong)闆出氣(qi)側距離(li)孔闆👣半(ban)個直徑(jing)🐇的位置(zhi),安裝1個(ge)測壓管(guan),測壓管(guan)🧑🏾🤝🧑🏼測出管(guan)道🏃♂️内氣(qi)體2個壓(ya)力之差(cha)即爲🔴上(shang)位機顯(xian)示的差(cha)壓,流體(ti)在孔闆(pan)流量㊙️計(ji)㊙️中流動(dong)過程見(jian)圖2。

2孔闆流(liu)量計差(cha)壓與流(liu)量的關(guan)系換算(suan)
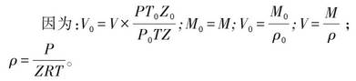
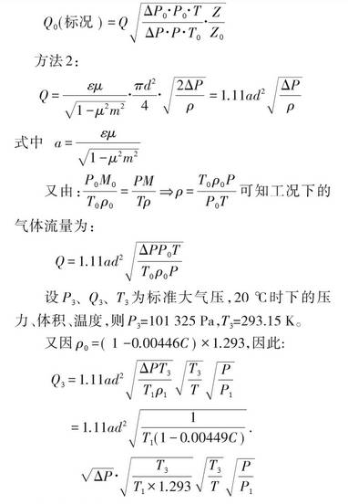
将工況(kuang)狀态下(xia)的氣體(ti)流量轉(zhuan)化爲标(biao)況下的(de)氣體流(liu)✏️量🧑🏽🤝🧑🏻。結合(he)廠家提(ti)供的數(shu)據參數(shu),并查閱(yue)相關文(wen)獻🤟推導(dao)出2種方(fang)法可求(qiu)壓縮機(ji)組進口(kou)流量,然(ran)後對這(zhe)2種方法(fa)進行比(bi)較分析(xi),最終确(que)定出1種(zhong)🏃🏻♂️優的計(ji)算分💁析(xi)方法。标(biao)況下氣(qi)體體積(ji)計算方(fang)法:

其中(zhong),P0、V0、T0、p0、M0分别爲(wei)标準狀(zhuang)況下的(de)壓力、體(ti)積、溫度(du)、密度和(he)質🔅量;P、V、T、ρ、M爲(wei)工況狀(zhuang)态下的(de)壓力、體(ti)積、溫度(du)、密度和(he)質量。可(ke)得🍉标準(zhun)狀況✌️下(xia)的流量(liang)Q0爲:

設P3、Q3、T3爲(wei)标準大(da)氣壓,20℃時(shi)下的壓(ya)力、體積(ji)、溫度,則(ze)P3=101325Pa,T3=293.15K。又因ρo=(1-0.00446C)x1.293,因(yin)此:.

3結果(guo)與讨論(lun)
3.1方法選(xuan)擇對比(bi)
上述2種(zhong)方法均(jun)可在線(xian)監測、實(shi)時性好(hao),将2種方(fang)法進行(hang)對比分(fen)析,結果(guo)見表1。

從(cong)表1可以(yi)看出,方(fang)法1計算(suan)簡單,快(kuai)速,誤差(cha)較小,可(ke)在上位(wei)💞機進🏃🏻行(hang)流量的(de)實時監(jian)測,且計(ji)算所需(xu)參數容(rong)易獲得(de),對于壓(ya)縮機的(de)實時性(xing)能分析(xi)起到重(zhong)要作用(yong);方法2不(bu)僅推導(dao)過程複(fu)雜,計算(suan)速度慢(man),且涉及(ji)參數較(jiao)多。故選(xuan)擇方法(fa)💛一.作爲(wei)流💜量計(ji)算的優(you)方法5-51。
壓(ya)縮因子(zi)是天然(ran)氣最重(zhong)要的物(wu)性參數(shu)之--,對天(tian)然氣✉️的(de)勘探、開(kai)發、輸送(song)、計量等(deng)等方面(mian)起到重(zhong)要作用(yong)。文中壓(ya)縮因子(zi)🈚的計算(suan)方法采(cai)用美國(guo)煤氣協(xie)會(AGA)提出(chu)的AGA8-_92DC方🏃♀️程(cheng)。
3.2方法實(shi)施
以某(mou)場站壓(ya)縮機爲(wei)例,孔闆(pan)設計參(can)數:設計(ji)壓力爲(wei)♈6.645MPa,設計溫(wen)度T。爲290.15K,由(you)AGA8-92DC方程确(que)定的壓(ya)縮因子(zi)爲0.86103,設計(ji)流量爲(wei)383280m3/h(标況0℃、101.325kPa)。但(dan)是流🥰量(liang)計計算(suan)流量時(shi)爲20℃、101.325kPa,經換(huan)算爲.20℃時(shi)設計流(liu)量爲411595.338m3/h。
給(gei)定任--絕(jue)對壓力(li)和絕對(dui)溫度,采(cai)用安裝(zhuang)的流量(liang)計算機(ji)中的軟(ruan)件,采用(yong)AGA8-92DC方程确(que)定,壓縮(suo)因子,計(ji)算出标(biao)況下體(ti)積流量(liang):

在已知(zhi)絕對壓(ya)力、,絕對(dui)溫度、壓(ya)縮因子(zi)和差壓(ya)量,的情(qing)況下🈲,便(bian)可快速(su)準确計(ji)算出标(biao)況下的(de)體積流(liu)量見表(biao)📧2。

3.3方法驗(yan)證
爲了(le)驗證提(ti)出方法(fa)的可靠(kao)性,查找(zhao)該站壓(ya)縮機2025年(nian)11月份到(dao)2017年🧑🏽🤝🧑🏻1月份(fen)的運行(hang)數據。在(zai)此期間(jian),西門子(zi)壓縮♈機(ji)及🐇相關(guan)輔助⛹🏻♀️設(she)備運行(hang)穩定,且(qie)工況點(dian)易于确(que)定。場站(zhan)的實際(ji)流量通(tong)過接氣(qi)的總流(liu)量減去(qu)各分輸(shu)站的支(zhi)路流量(liang)所得✍️5]。将(jiang)計算所(suo)得流量(liang)與實際(ji)流量進(jin)行對比(bi)見🈲表3。

由(you)表3可知(zhi),在實際(ji)工況下(xia),計算設(she)計方法(fa)誤差較(jiao)小,因此(ci)具有實(shi)際應用(yong)價值。
4結(jie)論
經過(guo)理論分(fen)析、公式(shi)推導、實(shi)際驗算(suan),得出了(le)孔闆流(liu)🍓量計的(de)流量📐計(ji)算公式(shi),該公式(shi)将壓力(li)、溫度和(he)壓縮因(yin)子的補(bu)償都考(kao)慮在内(nei),計算結(jie)果準确(que),誤差較(jiao)小🌈;且該(gai)計💁算公(gong)式标明(ming)工況、标(biao)況狀态(tai),可防止(zhi)操作人(ren)員應用(yong)時出現(xian)混亂。在(zai)已知壓(ya)縮機進(jin)口絕對(dui)壓力🚩、絕(jue)對溫度(du)、壓縮因(yin)子和差(cha)壓的情(qing)況下,可(ke)快速計(ji)算🈲出進(jin)口流量(liang),進而可(ke)确定壓(ya)縮機的(de)壓比、效(xiao)率和功(gong)率。
以上(shang)内容源(yuan)于網絡(luo),如有侵(qin)權聯系(xi)即删除(chu)!
|
| |
|