国产激情久久久久久熟女老人AV 含氣泡液體管道差壓式流量計穩定性改進-江蘇省速惠自动化制造有限公司

 

;                  
                 
        首   頁│  公(gong)司簡介  産(chan)品中心  質(zhi)量體系  銷(xiao)售網絡  聯(lian)系我們
  溫(wen)度儀表系(xi)列
  壓力儀(yi)表系列
  流(liu)量儀表系(xi)列
  校驗儀(yi)表系列
  顯(xian)示儀表系(xi)列
  變送器(qi)儀表系列(lie)
  電線電纜(lan)系列
  電💯国产激情久久久久久熟女老人AV🐕磁(ci)流量計的(de)工作原理(li)
  氧化锆氧(yang)傳感器的(de)原理及應(ying)用
  有害氣(qi)體檢測報(bao)警儀選用(yong)原則
  我國(guo)計量用儀(yi)器儀表的(de)發展和現(xian)狀
  國内儀(yi)器儀表行(hang)業将發生(sheng)高科....
  西安(an)交大研制(zhi)出超高溫(wen)沖擊壓....
  采(cai)用半導體(ti)精密溫度(du)傳感......
  智能(neng)溫度傳感(gan)器的發展(zhan)趨勢
  簡述(shu)幾種氣體(ti)檢測傳感(gan)器.....
  利用傳(chuan)感器技術(shu)制造智能(neng)服裝
  新型(xing)傳感器監(jian)控魚群數(shu)量
   
 
  電話(市(shi)場部):  
      
      
   (拓展(zhan)部):
     傳真:
  節(jie)假日商務(wu)聯系電話(hua):
  何經理:
  劉(liu)經理:
  郵編(bian):211600
 網址:/
    http://banyunshe.cc/
 E-mail:[email protected]
     [email protected]
 您(nin)現在的位(wei)置 > 首頁 > 行(hang)業新聞 > 含(han)氣泡液體(ti)管道差壓(ya)式流量計(ji)穩定性改(gai)進

含氣泡(pao)液體管道(dao)差壓式流(liu)量計穩定(ding)性改進
發(fa)布時間:2021-6-16 08:23:24

摘(zhai)要:差壓式(shi)流量測量(liang)是電廠流(liu)量測量的(de)重要方式(shi),通👄過流量(liang)孔闆與 差(cha)壓變送器(qi) 配合使用(yong),可直接産(chan)生4mADC~20mADC的标準(zhun)電流信号(hao)送控制系(xi)💁統。一直以(yi)來,管道差(cha)壓式流量(liang)計 以其簡(jian)單、可靠的(de)特性廣泛(fan)應用于各(ge)個系統的(de)管線流量(liang)測量,本文(wen)結合秦二(er)廠現場設(she)備改造過(guo)程,深入分(fen)析了差💜壓(ya)式流量計(ji)在對含氣(qi)泡液體流(liu)量測量過(guo)程中産🧑🏾‍🤝‍🧑🏼生(sheng)波動的具(ju)體原因,并(bing)♌提出具有(you)針對性的(de)改進措施(shi),有效提升(sheng)了差壓式(shi)流😘量測量(liang)的穩定性(xing)。
  秦二廠安(an)全殼噴淋(lin)系統(EAS)噴淋(lin)流量變送(song)器,通過測(ce)得安噴❤️管(guan)線上流量(liang)孔闆兩側(ce)的差壓來(lai)實現噴淋(lin)流量的測(ce)量及遠傳(chuan)功能,該變(bian)送器爲事(shi)故後監測(ce)系統儀⭐表(biao)。該變送器(qi)爲EAS系統直(zhi)接噴淋流(liu)量與循環(huan)噴淋流量(liang)🏃🏻‍♂️的差壓流(liu)量測量變(bian)✂️送器,現場(chang)測得參數(shu)🈲并經處理(li)後遠傳至(zhi)主控室。
  在(zai)進行涉及(ji)該流量計(ji)的零流量(liang)現場試驗(yan)時,多次出(chu)現停泵⛱️後(hou)流量數據(ju)波動的情(qing)況,波動幅(fu)度超出誤(wu)差許可🈲範(fan)圍。爲保證(zheng)現場設備(bei)可用,本文(wen)從測量結(jie)果波動這(zhe)一問題着(zhe)♉手,深入🔞剖(pou)析波動産(chan)生的原✍️因(yin),并提出對(dui)應的解🏃‍♀️決(jue)方案,應用(yong)至現場🔞後(hou),取得了良(liang)好的成效(xiao)
1故障現象(xiang)及故障處(chu)理
1.1故障現(xian)象
  安噴系(xi)統零流量(liang)實驗期間(jian),曾多次出(chu)現小流量(liang)指示波動(dong)的情況,曾(ceng)有過1個月(yue)内連續觸(chu)發3次波動(dong)的情況發(fa)生,其波動(dong)方式爲在(zai)停泵後出(chu)現短時間(jian)的波動峰(feng)(如圖1所示(shi))。圖1中綠色(se)曲線爲流(liu)量,藍色曲(qu)線爲泵軸(zhou)承❓溫度,啓(qi)泵期間流(liu)量指示正(zheng)常,而在停(ting)泵😄後(藍色(se)曲線開始(shi)下行,證🔴明(ming)已停泵成(cheng)🌈功)又出現(xian)了🌈兩次大(da)的波動🐇值(zhi),較大的一(yi)次波動值(zhi)約爲正🐆常(chang)啓泵期間(jian)流量值的(de)1/4,明顯已遠(yuan)超誤差許(xu)可範圍。
 
1.2故(gu)障處理
  針(zhen)對這一故(gu)障,現場多(duo)采用充水(shui)排氣方式(shi)進行處理(li),對儀🈲表進(jin)行充水排(pai)氣并校準(zhun)後,在一段(duan)時間内儀(yi)表的測量(liang)穩定性會(hui)有所提高(gao),然而在進(jin)行多次試(shi)驗後(該管(guan)線💃🏻在機組(zu)運行期間(jian)不投運),流(liu)量波動的(de)情況又會(hui)出現。經統(tong)計,近3年内(nei)對單個變(bian)送器校驗(yan)(含充水排(pai)氣)的工作(zuo)次數多達(da)7次。從現場(chang)實際效果(guo)來看,充水(shui)排氣具有(you)見效快、操(cao)作容易等(deng)優點,但屬(shu)于一種治(zhi)标不治本(ben)的🛀辦法,對(dui)于應用于(yu)事故期✂️間(jian)及事故後(hou)處理的安(an)全殼噴淋(lin)系統來☎️說(shuo),每次使用(yong)前進行人(ren)爲校驗的(de)行爲是🏃🏻不(bu)現實的。
2背(bei)景介紹
2.1差(cha)壓式流量(liang)計測量原(yuan)理
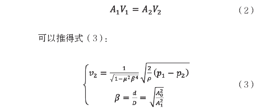
  差壓式(shi)流量測量(liang)方式基于(yu)伯努利方(fang)程和連續(xu)性原理,通(tong)過測量液(ye)體流經節(jie)流元件時(shi)産生的壓(ya)力變化,從(cong)而計算出(chu)流體流量(liang)[2]。推導爲:
  已(yi)知流體密(mi)度ρ;流體管(guan)道前後截(jie)面積A1、A2;截面(mian)處流體流(liu)速v1、v2;壓強p1、p2。根(gen)據不可壓(ya)縮理想流(liu)體的伯努(nu)利方程:
 
和(he)流體連續(xu)性方程:
 
  其(qi)中,A0爲孔闆(pan)開孔面積(ji),μ爲流束收(shou)縮系數(A2=μA0),d爲(wei)節流孔直(zhi)徑,D爲管道(dao)内徑。
  上述(shu)方程均建(jian)立在流體(ti)不可壓縮(suo)及流體動(dong)量守恒⚽的(de)✨基礎之🔆上(shang)。事實上,由(you)于流體存(cun)在摩擦力(li)和黏性,其(qi)動量有所(suo)損失💁,而孔(kong)闆前後流(liu)體由于具(ju)備可壓縮(suo)性,前後密(mi)度并不相(xiang)同,故引入(ru)流量系數(shu)α和膨👨‍❤️‍👨脹系(xi)數ε(對于不(bu)可壓縮流(liu)體,其❌ε爲1),并(bing)得到🏃🏻‍♂️孔闆(pan)前後☁️的實(shi)際壓差爲(wei)Δp=p1-p2,實際密度(du)ρ2=ερ1=ερ,得到可壓(ya)縮的實際(ji)流體方程(cheng):
 
可以看出(chu):流量與差(cha)壓的平方(fang)根成線性(xing)關系,即q∝√∆p。
  上(shang)述公式作(zuo)爲差壓式(shi)流量測量(liang)的理論基(ji)礎,其結論(lun)決定了⭐差(cha)壓式流量(liang)計的硬件(jian)組成,對于(yu)現場應用(yong)來🐕說,主要(yao)的組成☔元(yuan)件包含節(jie)流元件、引(yin)壓管線🌍及(ji)差壓✔️變送(song)器。差壓式(shi)流量計可(ke)以采用的(de)節流元件(jian)包含标準(zhun)孔闆、節流(liu)擋闆、文丘(qiu)裏管等,而(er)在現場使(shi)用的設備(bei)中則以标(biao)準孔闆居(ju)多。秦二廠(chang)安噴系🥵統(tong)現場使用(yong)的⚽正是 标(biao)準孔闆型(xing)差壓流量(liang)計
2.2現場布(bu)置情況
  秦(qin)二廠安全(quan)殼噴淋系(xi)統(EAS)噴淋流(liu)量變送器(qi),通過測🚶得(de)安噴管線(xian)上流量孔(kong)闆兩側的(de)差壓來實(shi)現噴淋流(liu)量㊙️的測量(liang)及遠傳功(gong)能👌。
  現場儀(yi)表安裝于(yu)管道側方(fang),通過引壓(ya)管線自孔(kong)闆兩🐕側接(jie)入管道,對(dui)孔闆前後(hou)兩側的差(cha)壓值進行(hang)測量,并送(song)出4mADC~20mADC标準電(dian)流💞信号😍至(zhi)控制與監(jian)測系統,在(zai)控制櫃系(xi)統中通過(guo)開方卡件(jian)與線性運(yun)算卡件處(chu)理,即可直(zhi)接得到流(liu)量☀️值。
  現場(chang)采用的差(cha)壓式變送(song)器,測量範(fan)圍0kPa~60kPa,精度0.25,通(tong)過約✌️6m長的(de)引壓管線(xian)由孔闆引(yin)入變送器(qi)進行測量(liang),如圖2所示(shi)🛀🏻。
差壓式流(liu)量計現場(chang)布置情況(kuang)圖示 
  對國(guo)内同類型(xing)電廠該儀(yi)表的使用(yong)情況進行(hang)調研,發現(xian)該問題在(zai)大部分同(tong)型号電站(zhan)中均有存(cun)在,屬💰于共(gong)性問題,解(jie)🔅決方👅案也(ye)多爲充水(shui)排氣操作(zuo)。本文所讨(tao)論的解決(jue)方案具㊙️備(bei)推廣價值(zhi)。
2.3不穩定性(xing)原因分析(xi)
1)安噴泵作(zuo)用原理分(fen)析
  該表計(ji)用于測量(liang)安噴管線(xian)内流量,安(an)噴管線在(zai)機組正常(chang)運🌈行期間(jian)無流量,隻(zhi)有在試驗(yan)期間,該表(biao)計才會起(qi)到❓測量的(de)作用,此時(shi)管線内液(ye)體來源爲(wei)安全殼噴(pen)淋泵泵送(song)的含硼水(shui),安噴泵爲(wei)葉片式立(li)式筒形泵(beng),泵揚程爲(wei)131m,最大入口(kou)壓力0.385MPa,在試(shi)驗過程中(zhong),因氫氧化(hua)鈉虹⚽吸管(guan)線破壞帶(dai)入空氣,噴(pen)射泵将氫(qing)氧化鈉輸(shu)送管線❌中(zhong)的空氣吸(xi)入安噴管(guan)線内,氣🈲體(ti)以🌈氣泡的(de)形式存在(zai)于液體❓管(guan)線中,并随(sui)着液體進(jin)入🈲引壓管(guan)線。考慮到(dao)對于儀表(biao)充水排氣(qi)♌可以短期(qi)消除儀表(biao)測量不穩(wen)定問㊙️題的(de)情♻️況,不能(neng)排除測量(liang)不♋穩定的(de)原因爲儀(yi)✔️表管線中(zhong)含氣泡。而(er)事實上,爲(wei)消除儀表(biao)管線‼️含氣(qi)泡對于儀(yi)表測量穩(wen)定性的影(ying)響,引壓⛷️管(guan)線上安裝(zhuang)有集氣罐(guan),但由🎯于引(yin)壓管線長(zhang)度較長(約(yue)6m),集氣罐并(bing)不能起到(dao)良好的除(chu)氣作用。
2)曆(li)史故障記(ji)錄分析
  經(jing)查詢曆史(shi)記錄,除了(le)零流量試(shi)驗停泵後(hou)該表波動(dong)外,也曾出(chu)現過機組(zu)正常運行(hang)期間該表(biao)計出現小(xiao)流量波☔動(dong)的情況❄️,如(ru)圖3所示。從(cong)圖3中可以(yi)看到,該波(bo)動持續一(yi)段較長時(shi)間後,經☂️約(yue)5min的最大量(liang)程指示(故(gu)障處理🏃‍♂️工(gong)作期間💜斷(duan)開儀表),儀(yi)表指示複(fu)原,期間管(guan)線内不存(cun)在液體流(liu)動⛱️的情況(kuang)(功率📧運行(hang)期間安噴(pen)泵不啓動(dong)),查詢曆史(shi)工作記錄(lu)可以發現(xian),對🆚該故障(zhang)采用充水(shui)排氣的方(fang)法進行了(le)處理,這一(yi)故障不同(tong)于大多數(shu)情況下的(de)零流量試(shi)驗停泵後(hou)流量波動(dong)的産生條(tiao)件,但其故(gu)障表現、故(gu)障處理方(fang)式及故障(zhang)處理結果(guo)均有相似(si)之處。
 
3)引壓(ya)管線因素(su)分析
  作爲(wei)差壓式流(liu)量計的測(ce)量儀表,差(cha)壓式變送(song)器的測量(liang)範圍本身(shen)較小(0kPa~60kPa),需要(yao)較高的測(ce)量精度與(yu)測量靈敏(min)度,管線内(nei)氣體擾動(dong)👣、氣體憋壓(ya)等情況均(jun)會造成力(li)變送器的(de)測量不穩(wen)定,而在安(an)噴管線中(zhong),氣體通過(guo)氣泡🎯的形(xing)式存在,氣(qi)泡流㊙️動與(yu)彙聚均有(you)可能引發(fa)管線内壓(ya)力波動。在(zai)安噴泵正(zheng)常工作期(qi)間,由🌈于管(guan)線内流量(liang)較大,差壓(ya)本身㊙️較高(gao),擾動造成(cheng)的影響較(jiao)小,而🌈停泵(beng)後主管線(xian)内液體停(ting)止流動,引(yin)壓管線中(zhong)的氣體開(kai)始移動,這(zhe)一過程中(zhong),氣泡的流(liu)動、彙聚與(yu)破裂均有(you)可能引發(fa)管線内壓(ya)力波動,殘(can)留氣㊙️體引(yin)發的壓力(li)波🐉動與憋(bie)♈壓情況造(zao)成了停泵(beng)之後的流(liu)量波動情(qing)況[1]。
4)信号處(chu)理回路分(fen)析
  在流量(liang)測量的過(guo)程中,信号(hao)經開方卡(ka)件處理,開(kai)方卡件具(ju)有小✨信号(hao)切除功能(neng),當輸入信(xin)号小于0.075V時(shi),輸🐉出保🔞持(chi)爲🔞0。
  由開方(fang)運算關系(xi)式可知,對(dui)于輸入信(xin)号爲0.075~0.999之間(jian)的👅電壓值(zhi),經開方卡(ka)件處理後(hou),其輸出值(zhi)大于輸入(ru)值。換言之(zhi),輸入值低(di)于滿量程(cheng)1/10的信号值(zhi)經由開方(fang)卡🌏件運算(suan)後,如有輸(shu)出,其輸出(chu)會大于原(yuan)輸入值,由(you)于差壓值(zhi)與變送器(qi)輸出電流(liu)之間滿足(zu)線性輸出(chu)關🔞系,且I-V卡(ka)件爲線性(xing)轉換關系(xi),易知變送(song)器測量差(cha)壓🛀值與開(kai)方卡🏃🏻‍♂️件輸(shu)入端電壓(ya)滿足線性(xing)運算關系(xi),對于波動(dong)誤💞差,開方(fang)運算會将(jiang)其放大,這(zhe)也是波動(dong)較爲明顯(xian)的原因之(zhi)一🐆。
  綜合以(yi)上故障情(qing)況分析,可(ke)以判斷出(chu)流量測量(liang)不穩定性(xing)的成因與(yu)管道内存(cun)在氣體有(you)密切關系(xi)。
2.4處理措施(shi)
  綜上分析(xi)可知,小流(liu)量波動産(chan)生的原因(yin)爲管線内(nei)氣💚體産生(sheng)的壓力擾(rao)動,要解決(jue)小流量測(ce)量不穩定(ding)💰的情況,需(xu)要消除氣(qi)體造成的(de)影響,氣體(ti)由虹吸破(po)壞作用📐帶(dai)出,根據該(gai)系統的工(gong)作原理可(ke)知,無法做(zuo)到從根源(yuan)消除管線(xian)💋氣,解決方(fang)法主要着(zhe)手于消除(chu)引壓管線(xian)内的氣體(ti)擾動。根據(ju)現場的實(shi)際布置,初(chu)步的解決(jue)方案🏃🏻‍♂️有3個(ge):
1)在管線上(shang)布置氣體(ti)消除裝置(zhi)(集氣罐等(deng))。
2)修改變送(song)器及引壓(ya)管線所在(zai)位置,消除(chu)引壓管線(xian)🌈内⭐液♈體無(wu)🔞法排空的(de)問題。
3)采用(yong)毛細管差(cha)壓變送器(qi),從根本上(shang)避免氣體(ti)波動。
  對于(yu)1)、2)兩項解決(jue)方案,有成(cheng)本較低、實(shi)施簡單的(de)優勢,但由(you)于在安噴(pen)試驗進行(hang)的過程中(zhong),還是有氣(qi)泡随虹吸(xi)破壞進入(ru)管線,依然(ran)不能完全(quan)避免氣體(ti)影響,且加(jia)裝集氣罐(guan)會在管線(xian)中引♊入故(gu)障點,造成(cheng)系統穩定(ding)性下降,其(qi)中集氣罐(guan)這一方案(an)已被證明(ming)效果不佳(jia),不考慮采(cai)用。
  考慮第(di)3條方案,由(you)連通器原(yuan)理可知,主(zhu)管線中的(de)壓👨‍❤️‍👨力變化(hua)對👄于差壓(ya)變送器來(lai)說不造成(cheng)影響,主要(yao)的🏃‍♂️問題集(ji)中于引壓(ya)管🔴線上📐,毛(mao)細管變送(song)器通過在(zai)封閉毛細(xi)管内填㊙️充(chong)油進行引(yin)壓,可以避(bi)免主管線(xian)内🌍含氣泡(pao)液體進入(ru),達到從根(gen)本上消除(chu)氣體影響(xiang)因素的效(xiao)果。
  綜上考(kao)慮,采用毛(mao)細管型差(cha)壓變送器(qi)對現場變(bian)送器與引(yin)壓管線一(yi)同更換,對(dui)原變送器(qi)、引壓管線(xian)及集氣罐(guan)進行拆除(chu),由孔闆出(chu)口根閥後(hou)全部換爲(wei)毛細管進(jin)行引壓。改(gai)造後進行(hang)零流量試(shi)驗,啓停泵(beng)前後流量(liang)指示保持(chi)一緻,且停(ting)泵後未出(chu)現♉小流量(liang)波🔱動,改造(zao)效果良好(hao)。改造前後(hou)測量效果(guo)對比如圖(tu)4所㊙️示,其中(zhong)綠色曲線(xian)爲改造後(hou)效果。
 
3總結(jie)
  差壓式流(liu)量計作爲(wei)一種廣泛(fan)應用于生(sheng)産場所的(de)流量測⁉️量(liang)模式,其結(jie)構簡單,測(ce)量回路易(yi)于搭建,對(dui)🐪純流體的(de)測量結果(guo)精度🛀也讓(rang)人滿意。但(dan)其受流體(ti)🚶‍♀️密度與壓(ya)強影㊙️響較(jiao)大,特别是(shi)對于含氣(qi)泡液體來(lai)說,由于測(ce)量值爲孔(kong)闆差壓,對(dui)于單側波(bo)動影響的(de)👅敏感度較(jiao)高,通過将(jiang)測量儀表(biao)更換爲毛(mao)細管變送(song)器,将單側(ce)管🐕線等效(xiao)爲純液體(ti)測量,從根(gen)源上避免(mian)了氣體擾(rao)動,對于含(han)氣泡液體(ti)管線小流(liu)量測量穩(wen)定性改進(jin)有明顯的(de)😍功效,對于(yu)現場其它(ta)類似流量(liang)計以及國(guo)内同類型(xing)電站均具(ju)有廣泛的(de)應用❓與推(tui)☁️廣前景。

以(yi)上内容源(yuan)于網絡,如(ru)有侵權聯(lian)系即删除(chu)!

下篇文章(zhang): 内徑偏大(da)氣體渦街(jie)流量計測(ce)壓處引入(ru)的标定誤(wu)差 上篇文(wen)章 兩電極(ji)電磁流量(liang)計降低流(liu)速分布影(ying)響
 版權所(suo)有:江蘇省(sheng)速惠自动化制造有限公司     技術支持(chi)易品網絡(luo)

·
·
·
·
·