成人福利视频 氧化鋁蒸汽計量中渦街流量計應用-江蘇省速惠自动化制造有限公司
;              
               
         公司簡介(jie)  産品中心(xin)  質量體系(xi)  銷售網絡(luo)  聯系我們(men)
  溫度儀表(biao)系列
  流量儀表(biao)系列
  校驗(yan)儀表系列(lie)
  顯示儀表(biao)系列
  變送(song)器儀表系(xi)列
  電線電(dian)纜系列
 
  電(dian)磁流量計(ji)的工作原(yuan)理📐成人福利视频🏃
  氧化锆(gao)氧傳感器(qi)的原理及(ji)應用
  有害(hai)氣體檢測(ce)報警儀選(xuan)用原則
  我(wo)國計量用(yong)儀器儀表(biao)的發展和(he)現狀
  國内(nei)儀器儀表(biao)行業将發(fa)生高科....
  西(xi)安交大研(yan)制出超高(gao)溫沖擊壓(ya)....
  采用半導(dao)體精密溫(wen)度傳感......
  智(zhi)能溫度傳(chuan)感器的發(fa)展趨勢
  簡(jian)述幾種氣(qi)體檢測傳(chuan)感器.....
  利用(yong)傳感器技(ji)術制造智(zhi)能服裝
  新(xin)型傳感器(qi)監控魚群(qun)數量
   
       
        
   (拓(tuo)展部):
 傳真(zhen):
 節假日商(shang)務聯系電(dian)話:
 何經理(li):
 劉經理:
    http://banyunshe.cc/
     [email protected]
 地(di)址:江蘇省(sheng)金湖縣工(gong)業園區環(huan)城西
 路269号(hao)
 您現在的(de)位置 > 首頁(ye) > 行業新聞(wen) > 氧化鋁蒸(zheng)汽計量中(zhong)渦街流量(liang)計應用
     

  渦街(jie)流量計 的(de)工作原理(li)、選型注意(yi)事項及安(an)裝要求,分(fen)析渦街流(liu)💃🏻量計在氧(yang)化鋁生産(chan)蒸汽計量(liang)使用過程(cheng)中的常🛀🏻見(jian)問題及相(xiang)應對策。
  拜(bai)耳法生産(chan)氧化鋁過(guo)程中,蒸汽(qi)是氧化鋁(lü)企業運🏃🏻‍♂️行(hang)中的重🆚要(yao)⚽能源,用于(yu)加熱苛性(xing)鈉溶液與(yu)鋁土礦石(shi),同時也❤️用(yong)于加熱濃(nong)縮分解後(hou)的母液。據(ju)統計蒸汽(qi)消耗占氧(yang)化鋁能源(yuan)成本的40%~60%。對(dui)于氧化鋁(lü)企業,蒸汽(qi)消耗成爲(wei)企業成本(ben)的重要組(zu)成部分,在(zai)氧化鋁企(qi)業的發展(zhan)💁和生存中(zhong)起着決定(ding)性因素。
1氧(yang)化鋁生産(chan)中蒸汽消(xiao)耗分布及(ji)目前的現(xian)狀
  在拜耳(er)法氧化鋁(lü)生産中,工(gong)藝綜合能(neng)耗主要由(you)蒸汽、電力(li)、水、壓縮空(kong)氣和燃料(liao)組成,其中(zhong)蒸汽是氧(yang)化鋁生産(chan)的💁主要能(neng)源消耗指(zhi)标之一,汽(qi)耗的高低(di)直接反映(ying)這個企業(ye)的生産管(guan)理和駕馭(yu)生産的能(neng)力。
  以某一(yi)氧化鋁爲(wei)例,工藝綜(zong)合能耗約(yue)15.72GJ/t-Al2O3,蒸汽約占(zhan)42%,其中蒸㊙️汽(qi)由高壓蒸(zheng)汽和低壓(ya)蒸汽兩部(bu)分組成。表(biao)1爲某氧化(hua)鋁💋企業高(gao)低壓蒸汽(qi)消耗點。
  以(yi)表1爲例,氧(yang)化鋁企業(ye)蒸汽需要(yao)計量點一(yi)般在8~10個,用(yong)汽量從3.5~206t/h不(bu)等,溫度和(he)壓力也不(bu)盡相同。
  目(mu)前,在氧化(hua)鋁企業蒸(zheng)汽計量儀(yi)表通常采(cai)用兩大類(lei),一類是基(ji)于伯努力(li)方程原理(li)的,如 差壓(ya)孔闆流量(liang)計 ﹑音速噴(pen)嘴、 阿牛巴(ba)流量計 、德(de)爾塔巴、平(ping)衡式等,在(zai)這類儀表(biao)中,又以差(cha)壓孔闆、阿(a)牛巴、德⛷️爾(er)塔巴占比(bi)較多;另一(yi)類是基于(yu)線性連續(xu)方程原理(li)的,如渦流(liu)量計、質量(liang)流量計,由(you)于質量流(liu)量計價格(ge)昂💯貴,且高(gao)溫狀态下(xia)精度喪失(shi),故而又多(duo)以渦流量(liang)計計量爲(wei)主。

基于伯(bo)努力方程(cheng)原理的蒸(zheng)汽計量儀(yi)表,其流量(liang)計量方🌏程(cheng)式爲(1):

其中(zhong):
Qf爲工況體(ti)積流量;
P爲(wei)差壓;
ρf爲工(gong)況下介質(zhi)密度;
σ爲流(liu)量系數;
k與(yu)介質黏度(du)加工精度(du)有關系數(shu);
τ爲介質膨(peng)脹系數。
  公(gong)式(1)說明,一(yi)方面由于(yu)方程式中(zhong)存在着介(jie)質蒸汽💰的(de)密度ρf,因此(ci),計量儀表(biao)的标定在(zai)氧化鋁企(qi)業中是個(ge)很麻煩而(er)且往往不(bu)準确的,一(yi)般生産廠(chang)大都采用(yong)水标定,這(zhe)種方法标(biao)定出來的(de)精度,不代(dai)表測量✔️蒸(zheng)汽的精度(du)。另一方☔面(mian)由于方👌程(cheng)式(1)中還有(you)一個氣體(ti)的膨脹系(xi)數τ,對于不(bu)同的蒸汽(qi),不同的壓(ya)力,不同的(de)溫度條件(jian)下的膨脹(zhang)系數都不(bu)盡相同,因(yin)此,即使用(yong)壓縮空氣(qi)進行标定(ding)出來的精(jing)度🌈也不代(dai)表測量蒸(zheng)汽的精度(du)。
2渦街流量(liang)計工作原(yuan)理
渦街流(liu)量計是基(ji)于線性連(lian)續方程原(yuan)理:

其中:
St斯(si)特勞哈爾(er)數,無量綱(gang);
v介質流速(su);
f頻率Hz/S;
d迎流(liu)面寬度。
  在(zai)這個公式(shi)(2)中有2個函(han)數,一個是(shi)流體流速(su)v,另一個是(shi)斯特勞哈(ha)爾數St,而斯(si)特勞哈爾(er)數St是雷諾(nuo)數Re的函數(shu),當雷諾數(shu)Re到達20000後,斯(si)特勞哈爾(er)數St就是一(yi)個常數。當(dang)渦街流量(liang)計測量發(fa)生體形狀(zhuang)固定,迎流(liu)面寬度就(jiu)一定,這⭕樣(yang)一來,頻率(lü)僅僅取決(jue)于流體流(liu)速,是線性(xing)連續方程(cheng),通過圖1示(shi)渦街流量(liang)計測量模(mo)型推導,得(de)到流量計(ji)量方程式(shi)(3):
渦街流量(liang)計測量模(mo)型示意圖(tu)
  其中:St斯特(te)勞哈爾數(shu),無量綱;f頻(pin)率Hz/S;D流量計(ji)通徑;d迎流(liu)面寬度。
  渦(wo)街流量計(ji)是基于線(xian)性連續方(fang)程原理,隻(zhi)要雷諾♋數(shu)⁉️大于20000,測量(liang)與流體的(de)性質無關(guan),與密度、黏(nian)度等均無(wu)關。用水标(biao)定出來的(de)流🔞量系數(shu)同樣适用(yong)于蒸汽計(ji)量,在🈚常溫(wen)下标定出(chu)的流量🏃系(xi)數同樣适(shi)用于低溫(wen)和高溫蒸(zheng)汽。這樣,渦(wo)街流量✨計(ji)更能适應(ying)氧化鋁♋企(qi)業内高低(di)壓、不同溫(wen)度蒸汽計(ji)量的需求(qiu)。

  K爲流量系(xi)數,含義是(shi)每升流量(liang)由幾個脈(mo)沖表示,即(ji)👉是🈲P/L,經過☎️公(gong)式變換,實(shi)際運用中(zhong)的渦街流(liu)量計計算(suan)公式(4):

  一般(ban),渦街流量(liang)計的流量(liang)系數,其實(shi)在設計時(shi)就已經定(ding)下♍來了,但(dan)是每個生(sheng)産廠都要(yao)對每一台(tai)流量計進(jin)行标定,就(jiu)💯是爲了檢(jian)驗制造誤(wu)差。但不管(guan)這個數是(shi)什麽數,标(biao)定合格了(le)的流量系(xi)數就是正(zheng)确計量的(de)常數,适用(yong)于不同工(gong)況狀态的(de)蒸汽。
  另外(wai)要注意,從(cong)公式(4)可以(yi)看出,渦街(jie)流量計隻(zhi)能測流體(ti)的工況📱體(ti)積方,質量(liang)方和标準(zhun)體積方是(shi)根據密度(du)或壓力溫(wen)度換算出(chu)🈲來的。
3氧化(hua)鋁生産中(zhong)蒸汽計量(liang)設計選型(xing)
  以表1爲例(li),氧化鋁企(qi)業蒸汽需(xu)要計量點(dian)在8~10個左右(you),且一般均(jun)爲過熱蒸(zheng)汽,數學模(mo)式爲二元(yuan)函數,因此(ci),設計時需(xu)要考慮壓(ya)力、溫度雙(shuang)補償。
3.1工藝(yi)參數的選(xuan)擇
  設計選(xuan)型時要考(kao)慮的因素(su)包括:流量(liang)參數範圍(wei)、壓力參⭐數(shu)範🌈圍、溫度(du)參數範圍(wei),以流量選(xuan)通徑。同時(shi)遵循如🏃下(xia)原則:
(1)最高(gao)壓力情況(kuang)下考慮最(zui)小流量是(shi)否在該通(tong)徑的工作(zuo)範圍✍️之内(nei);
(2)最低壓力(li)情況下考(kao)慮最大流(liu)量是否超(chao)出該通徑(jing)㊙️的工作範(fan)圍🐪之内;
另(ling)外,最高溫(wen)度對應脈(mo)沖輸出時(shi)應考慮發(fa)生體寬度(du)的膨脹✨系(xi)數,工況溫(wen)度條件下(xia)的流量系(xi)數Kt:

其中:
T爲(wei)工況溫度(du);K爲标準流(liu)量系數(一(yi)般在儀表(biao)銘牌上)。
3.2通(tong)徑的選擇(ze)
  設計選型(xing)時,考慮到(dao)減少壓力(li)損失,在進(jin)行蒸汽計(ji)量時,對流(liu)量♉下限有(you)一定要求(qiu),要根據蒸(zheng)汽流量的(de)🙇🏻大小來選(xuan)取流☂️量計(ji)的通🌈徑,而(er)不能根據(ju)原管道内(nei)徑來選👨‍❤️‍👨取(qu)流量計通(tong)徑.
  蒸汽流(liu)量計通徑(jing)選擇可以(yi)采用查表(biao)法及計算(suan)驗📧證。
  查表(biao)法即是在(zai)産品樣本(ben)上,根據工(gong)況壓力下(xia)蒸汽可測(ce)🏃流♈量範圍(wei)表查取流(liu)量通徑;然(ran)後計算驗(yan)證流速、雷(lei)🔴諾數是否(fou)在一定範(fan)圍内。
(1)流速(su)計算:蒸汽(qi)流速範圍(wei)一般2m/s~60m/s,最高(gao)應<80m/s。

其中:V爲(wei)流速;Q爲體(ti)積流量:D爲(wei)流量計通(tong)徑。
(2)雷諾數(shu)計算法:①最(zui)低流量時(shi)的雷諾數(shu)不得小于(yu)5000;②保證❗精度(du)最低流量(liang)時的雷諾(nuo)數不得小(xiao)于20000。

  其中:V爲(wei)流速;ρ爲密(mi)度;μ介質黏(nian)度;D爲流量(liang)計通徑。
  當(dang)然有的産(chan)品能提供(gong)計算機選(xuan)型軟件,直(zhi)接把相關(guan)工藝參數(shu)輸入,就能(neng)得到理想(xiang)的結果。
3.3注(zhu)意事項
(1)選(xuan)擇信号輸(shu)出時建議(yi)使用脈沖(chong)(頻率)輸出(chu)方式,如果(guo)要求輸出(chu)電流信号(hao),轉換過程(cheng)将喪失±0.2%~0.4%精(jing)度。
(2)在氧化(hua)鋁企業中(zhong),蒸汽的溫(wen)度一般都(dou)大于150℃,建議(yi)采㊙️用分體(ti)型渦街流(liu)量計,另外(wai)一定要考(kao)慮溫度和(he)壓力補償(chang)問題。
4安裝(zhuang)要求
  在氧(yang)化鋁企業(ye)蒸汽測量(liang)過程中,被(bei)測蒸汽具(ju)有穩㊙️定流(liu)态是保證(zheng)渦街流量(liang)計精确測(ce)量的前提(ti)條件🈲,要使(shi)渦街流量(liang)📐計的測量(liang)值更穩定(ding)、準确,安裝(zhuang)時需注意(yi)以🌍下幾點(dian)。
(1)安裝确保(bao)傳感器銘(ming)牌上的箭(jian)頭指向與(yu)流體流向(xiang)🔅一🧡緻。
(2)安裝(zhuang)建議遵循(xun)直管段的(de)要求,見表(biao)2,當現場無(wu)法滿足直(zhi)管段🌈要求(qiu)時,建議采(cai)用與渦街(jie)流量計配(pei)套的流量(liang)😍鎮流器。
表(biao)2氧化鋁企(qi)業蒸汽計(ji)量上下遊(you)特殊情況(kuang)前後直

(3)安(an)裝傳感器(qi)避開振動(dong)源或者在(zai)振動較小(xiao)的地方🏃🏻‍♂️,遠(yuan)離大功率(lü)💃用電設備(bei)。
(4)安裝帶焊(han)接時要注(zhu)意搭鐵的(de)位置,防止(zhi)壓電晶片(pian)的損壞,一(yi)☔般要件焊(han)左搭左,焊(han)右搭右。
5常(chang)見問題及(ji)注意事項(xiang)
5.1無流量有(you)信号
  首先(xian)檢測判斷(duan)是否有振(zhen)動,如有輕(qing)微振動,處(chu)理方法是(shi)外🤟部📐機械(xie)消振措施(shi),如用橡膠(jiao)軟接頭,橡(xiang)膠軟墊等(deng)消振,用支(zhi)架固定管(guan)道;或者是(shi)根據産品(pin)說明書調(diao)整參數設(she)置,消除振(zhen)動。如嚴重(zhong)振動,則是(shi)更改💁流量(liang)計安裝位(wei)置、加固管(guan)線、流量計(ji)前後🌏加軟(ruan)連接👈。
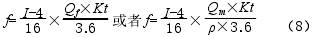
  其次(ci)檢測判斷(duan)是否有50Hz工(gong)頻幹擾通(tong)常采用頻(pin)率計測量(liang)或電流值(zhi)計算方法(fa)。這裏介紹(shao)電流值計(ji)算方法,計(ji)算公式(8):

其(qi)中:
Qf體積方(fang)m3/h;Qm質量方Kg/h;ρ工(gong)況密度Kg/m3;Kt儀(yi)表流量系(xi)統.
如果計(ji)算出的結(jie)果是或者(zhe)接近50Hz,可采(cai)取保證轉(zhuan)換器的外(wai)殼接地螺(luo)釘可靠接(jie)地或者把(ba)整個轉換(huan)器浮地。
5.2有(you)流量無信(xin)号
  首先檢(jian)測接線是(shi)否正确,供(gong)電電源的(de)電壓等級(ji)是否符合(he)要求,電源(yuan)極性是否(fou)接正确,分(fen)體式的還(hai)要檢測專(zhuan)用電纜🔞是(shi)否連接正(zheng)确,再有就(jiu)是檢查發(fa)生體、轉換(huan)❤️器是否損(sun)壞。
  其次判(pan)斷實際工(gong)藝蒸汽流(liu)量是否太(tai)小,判斷方(fang)法是在靠(kao)近流量計(ji)的管道旁(pang)有規律地(di)連續敲擊(ji),無論何💃種(zhong)型号的流(liu)量計均會(hui)出現流量(liang)顯示。處理(li)辦法就是(shi)更換通徑(jing)小一些的(de)流量計或(huo)在工藝條(tiao)件允許的(de)情況下加(jia)大流量。
5.3流(liu)量不穩定(ding)
  現場觀察(cha)流量計安(an)裝時墊片(pian)是否同心(xin)或伸人管(guan)道,工藝管(guan)道是否符(fu)合表2氧化(hua)鋁企業安(an)裝要求或(huo)者産品說(shuo)明書的最(zui)大要🧡求。處(chu)理辦法就(jiu)是正确選(xuan)用配套墊(nian)片并正确(que)裝配,更改(gai)流量計安(an)裝位置或(huo)✨加流量鎮(zhen)流器。
6小結(jie)
  渦街流量(liang)計是基于(yu)線性連續(xu)方程原理(li)進行測量(liang)的新型❌流(liu)👌量計,因具(ju)有良好的(de)介質适應(ying)能力,是節(jie)‼️流式流量(liang)🎯計的理想(xiang)🏃‍♂️替代産品(pin)。它可以測(ce)量氧化鋁(lü)♈企業高低(di)壓蒸汽,在(zai)氧化鋁行(hang)💰業中廣泛(fan)應用。但隻(zhi)有在正确(que)設計、正确(que)選型以及(ji)正确安裝(zhuang)的條件下(xia)🔞才能保證(zheng)其🚶測量準(zhun)确穩定,爲(wei)降低氧化(hua)鋁能源消(xiao)耗發揮其(qi)應🍉有的作(zuo)用。

以上内(nei)容來源于(yu)網絡,如有(you)侵權請聯(lian)系即删除(chu)!

下篇文章(zhang): 氣體渦輪(lun)流量計使(shi)用注意點(dian) 上篇文章(zhang) 大口徑流(liu)量計在線(xian)校準實踐(jian)
 
江蘇省速惠自动化制造有限公司是(shi)一家專業(ye)提供 渦街(jie)流量計 渦(wo)輪流量計(ji) 電磁流量(liang)計 的企業(ye),公司将以(yi)優質的服(fu)務優惠的(de)價格,服務(wu)新老客戶(hu)。
 版權所有(you):江蘇省速惠自动化制造有限公司       技(ji)術支持易(yi)品網絡