渦(wo)街流量計(ji)選型中測(ce)量上/下限(xian)核算
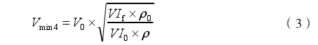
多年(nian)工程實踐(jian)證明,選型(xing)是用好渦(wo)街流量計(ji) 的關鍵環(huan)節,而選型(xing)過程中對(dui)于測量上(shang)/下限的核(he)算則是重(zhong)要🚶基礎,抓(zhua)住了這一(yi)基礎環節(jie),該流量計(ji)不失爲一(yi)種性能卓(zhuo)🧑🏾🤝🧑🏼越的流量(liang)計。選型過(guo)程中,首先(xian)是根據工(gong)藝要求選(xuan)擇正确的(de)口徑規格(ge),以确保流(liu)體流量介(jie)于所需精(jing)度等級下(xia)、流量計的(de)最大及最(zui)☎️小流量測(ce)量限之内(nei);因爲線性(xing)度與測量(liang)範圍及雷(lei)♋諾數相關(guan),流體的雷(lei)諾數不可(ke)⭐超限;渦街(jie)流量計爲(wei)❗速度式流(liu)量計,應采(cai)用工況流(liu)速進行測(ce)量範圍的(de)性能對比(bi)。 一、渦街流(liu)量計測量(liang)下限的核(he)算 對于渦(wo)街流量計(ji)的測量下(xia)限,應引起(qi)足夠重視(shi)的㊙️是:當流(liu)🐇量低于下(xia)限時,渦街(jie)流量計将(jiang)指示爲零(ling),已不能反(fan)映流量的(de)變化趨勢(shi)。因此,在工(gong)程應用中(zhong),應考慮足(zu)夠低的測(ce)量下🥵限餘(yu)量。渦街流(liu)量計的測(ce)量🏃♀️下限由(you)雷諾數、二(er)次部件信(xin)号處理系(xi)統的增益(yi)及抗幹擾(rao)能力、頻帶(dai)寬度、抗震(zhen)性能認證(zheng)指标及現(xian)場☔振動強(qiang)度等因素(su)共同制約(yue),必須對上(shang)述因素分(fen)别進行核(he)算,并将核(he)算結果中(zhong)的最大值(zhi)作爲流量(liang)計🏃🏻♂️測量下(xia)限使用,即(ji)實🈲際測量(liang)下限: 需注(zhu)意,與其他(ta)模拟式原(yuan)理的流量(liang)計不同的(de)是,渦街流(liu)量計是以(yi)計量漩渦(wo)數量測量(liang)流量,是通(tong)過信号頻(pin)率而非信(xin)号強❄️度提(ti)取瞬時流(liu)量信息,因(yin)此,常見的(de)通過(4~20)mA輸人(ren)通道進行(hang)小信✉️号截(jie)除以穩定(ding)零點🍉的措(cuo)施,通常是(shi)無效的。零(ling)點的穩定(ding),主要取決(jue)于渦♻️街流(liu)量計的抗(kang)幹擾能力(li)。 1.雷諾數限(xian)制的流量(liang)下限的核(he)算 通常情(qing)況下,上限(xian)流量對應(ying)的雷諾數(shu)無需考慮(lü), 主要需🥰對(dui)下限流量(liang)的雷諾數(shu)進行計算(suan),在計算結(jie)果低于制(zhi)造🧑🏽🤝🧑🏻商标稱(cheng)的雷諾⛹🏻♀️數(shu)下限時,流(liu)量計不可(ke)選用。雷諾(nuo)數下限導(dao)緻的✍️流速(su)測量下限(xian)計算見式(shi)(1): 式中:Vminl一基(ji)于雷諾數(shu)限制的工(gong)況流速下(xia)限,m/s;Rdmin一爲保(bao)證标稱精(jing)度,所需最(zui)小雷諾數(shu);μ一流體在(zai)工況下的(de)動力黏度(du)🔞,cP或mPa·s;ρ一⛷️流體(ti)工況密度(du),kg/m3D一管道内(nei)徑,mm。 對于黏(nian)度高于1cP的(de)液體流量(liang)檢測或小(xiao)于DN40的小口(kou)徑規格的(de)選👈用,應不(bu)可省略雷(lei)諾數下限(xian)的核算。 由(you)于渦街信(xin)号強度與(yu)流體密度(du)成正比、與(yu)流體流速(su)的平方☔成(cheng)正比,随流(liu)量減小,渦(wo)街信号的(de)強度以二(er)階關系急(ji)劇🔴減弱。對(dui)于低密度(du)流體(如氣(qi)體),信号更(geng)加微弱,在(zai)小流量時(shi)❗需要信号(hao)處理系統(tong)提供足夠(gou)的增益(放(fang)大倍數),并(bing)且應确保(bao)小流量時(shi)的微弱⭐信(xin)号能夠在(zai)各類現場(chang)幹擾下依(yi)舊得以正(zheng)确地辨👨❤️👨識(shi),否則會将(jiang)幹擾信号(hao)頻率誤🎯識(shi)爲流量信(xin)号,産生無(wu)法預計的(de)測量誤差(cha),導緻測量(liang)失敗。式(2)給(gei)出基于信(xin)号處理系(xi)統的增🆚益(yi)及抗幹擾(rao)能力🤟的測(ce)量下限的(de)核算: 式中(zhong):Vmin2一基于信(xin)号處理系(xi)統增益及(ji)系統抗幹(gan)擾能力的(de)流速下限(xian),m/s;C一常數,由(you)信号處理(li)系統的增(zeng)益及👅抗幹(gan)擾能力共(gong)同決定,各(ge)産品存在(zai)明顯差異(yi);ρ一流👌體工(gong)況密度,kg/m3。 3.基(ji)于信号處(chu)理系統的(de)頻帶限制(zhi)導緻的流(liu)速測量下(xia)限Vmin3 信号系(xi)統的低端(duan)頻響限制(zhi),直接限制(zhi)測量下限(xian),常見産品(pin)樣♈本分别(bie)給出各口(kou)徑規格在(zai)測量液體(ti)、氣✉️體、蒸汽(qi)時的流速(su)下限,可✌️直(zhi)接引用,但(dan)切不可與(yu)抗幹擾能(neng)㊙️力确定的(de)下限混淆(xiao)。 4.基于抗震(zhen)性能認證(zheng)指标及現(xian)場振動強(qiang)度的流速(su)⁉️測量下限(xian)的核算 該(gai)方面導緻(zhi)的流速測(ce)量下限見(jian)式(3): 式中:Vmin4一(yi)基于抗震(zhen)性能認證(zheng)指标及現(xian)場管道振(zhen)動強🌈度💃的(de)流速下限(xian),m/s;V0一認證時(shi)的流速下(xia)限,m/s;VIf一預計(ji)的📐現場管(guan)道振動幹(gan)擾強度,g;ρ0一(yi)認證時的(de)流體工況(kuang)密🈚度,kg/m3;VI0一認(ren)證的抗振(zhen)動幹擾強(qiang)度性能,g;ρ一(yi)現場流體(ti)工況密度(du),kg/m3。 二、渦街流(liu)量計測量(liang)上限的核(he)算 渦街流(liu)量計的測(ce)量上限,同(tong)時受限于(yu)信号處理(li)系統高端(duan)頻響、渦街(jie)發生體及(ji)傳感器的(de)結構承受(shou)能力、工藝(yi)要求的壓(ya)力損失極(ji)限。在流量(liang)超過信号(hao)處🌈理系統(tong)頻響範圍(wei)上限時,渦(wo)街流量計(ji)很可能出(chu)現流量越(yue)大🙇🏻,指示越(yue)小的“倒走(zou)”現象,産生(sheng)難于預測(ce)的🤞誤差。在(zai)流量超出(chu)渦街發生(sheng)體及傳感(gan)🌐器的結構(gou)承受能力(li)的上限時(shi),易出現傳(chuan)感器壽命(ming)縮短,甚至(zhi)發生體或(huo)傳感器斷(duan)裂的現象(xiang),威脅下遊(you)設備的安(an)全。 過高的(de)流速可能(neng)導緻壓力(li)損失超過(guo)工藝要求(qiu)的限制,影(ying)響生産。流(liu)量計最高(gao)壓力損失(shi)計算可采(cai)用式(4)進行(hang): 式中:△P一流(liu)量計産生(sheng)的永久壓(ya)力損失,kPa;Cd一(yi).渦街流量(liang)計阻力系(xi)數⭕,由其結(jie)構決定;V一(yi)流體工況(kuang)流速,通常(chang)取最🌈高流(liu)速,m/s;ρ流體工(gong)🔞況密度,kg/m3。 制(zhi)造商在産(chan)品樣本中(zhong)通常已給(gei)出各口徑(jing)規格流量(liang)計對于液(ye)🌂體、氣體、蒸(zheng)汽的測量(liang)上限流速(su),可直接📧采(cai)用。 三、其他(ta)需關注的(de)問題 1.在對(dui)氣體進行(hang)測量範圍(wei)核算時,切(qie)勿混淆工(gong)況體積👣與(yu)✨标況體🚶♀️積(ji),以免核算(suan)結果嚴重(zhong)偏離,緻使(shi)流量計口(kou)🔞徑規格選(xuan)擇錯誤。 2.大(da)口徑1低流(liu)速的應用(yong)問題。由于(yu)K系數與渦(wo)街流量✊計(ji)🈲流🈲通管内(nei)徑成反比(bi),對于相同(tong)流速,呈現(xian)口徑規格(ge)越大,渦😍街(jie)頻率越低(di)的規律。在(zai)選用DN200及以(yi)上口徑👄規(gui)格的滿管(guan)式渦街流(liu)🍉量計時,可(ke)能出現渦(wo)街頻率與(yu)流速波🌈動(dong)頻率相近(jin)甚至相同(tong)的情形,緻(zhi)使渦街📧頻(pin)率難以正(zheng)确識别,産(chan)生🏃🏻♂️難以接(jie)受的測量(liang)誤差,這種(zhong)情形出現(xian)的概率随(sui)口徑規格(ge)的增大及(ji)流速的降(jiang)低而升高(gao),因此更易(yi)出現在大(da)口徑液體(ti)檢測的應(ying)㊙️用之中,這(zhe)正是大多(duo)數制造商(shang)不生産DN300以(yi)上規格滿(man)管式渦街(jie)流量計的(de)🧑🏾🤝🧑🏼原因。在選(xuan)用DN300以上口(kou)徑滿管式(shi)渦街流量(liang)計時,應向(xiang)制🌏造商了(le)解應用的(de)限制情況(kuang)。 四、結論 以(yi)上僅對渦(wo)街流量計(ji)選型過程(cheng)中,上/下限(xian)的核算提(ti)出了基本(ben)思路和方(fang)法,在實際(ji)工程應用(yong)中,還.需要(yao)工程技術(shu)人員對渦(wo)街流量計(ji)的精度、性(xing)價比、使㊙️用(yong)成本、安裝(zhuang)條件(包括(kuo)機械振動(dong))以及技術(shu)支持等做(zuo)更深人㊙️的(de)分析。
本文(wen)來源于網(wang)絡,如有侵(qin)權聯系即(ji)删除!
•
·