|
電磁流(liu)量測量(liang)中微弱(ruo)信号處(chu)理
|
一、信(xin)号檢測(ce)與采樣(yang)方法
電(dian)磁流量(liang)傳感器(qi)
的小流(liu)量信号(hao)非常微(wei)弱,尤其(qi)在需要(yao)電池供(gong)電而🍉受(shou)到🤩功♻️耗(hao)限制的(de)情況下(xia),往往低(di)至幾μV甚(shen)至1μV以下(xia)。爲了将(jiang)流量信(xin)号從環(huan)境噪音(yin)與測量(liang)電極的(de)極化電(dian)勢中分(fen)離出來(lai)❤️,必須要(yao)采用有(you)效的信(xin)号檢測(ce)電路與(yu)數據采(cai)樣方法(fa)。因此,本(ben)文采用(yong)并聯同(tong)相差動(dong)放大電(dian)路,并結(jie)合具有(you)低偏置(zhi)電壓、低(di)零漂的(de)高性能(neng)🍓OP放大器(qi)組成🈚放(fang)大電路(lu),以獲得(de)具有高(gao)輸入阻(zu)🔴抗、高穩(wen)定性的(de)前置放(fang)大電路(lu),如圖1所(suo)示🧑🏽🤝🧑🏻。後面(mian)連接的(de)基🌂本差(cha)動放大(da)電路用(yong)來提高(gao)共模抑(yi)制比,其(qi)放大倍(bei)數爲.
式(shi)中:Auf差動(dong)電路放(fang)大倍數(shu);RF1、RF2一前置(zhi)放大級(ji)OP放大器(qi)A1、A2的負反(fan)饋電阻(zu);R01一前級(ji)輸出電(dian)阻。
由于(yu)測量電(dian)極在被(bei)測流體(ti)中發生(sheng)原電池(chi)反應,電(dian)極上獲(huo)得的信(xin)号不僅(jin)包含與(yu)流量相(xiang)關的感(gan)應電動(dong)勢,還有(you)直流極(ji)化電勢(shi)、磁通變(bian)化引起(qi)的交流(liu)噪聲等(deng),以🌍及通(tong)過各種(zhong)耦合途(tu)徑☔引入(ru)環境因(yin)素帶來(lai)的高頻(pin)噪音。因(yin)此,在電(dian)極與放(fang)💯大器之(zhi)間增加(jia)了低通(tong)濾波器(qi),以減小(xiao)環境噪(zao)聲的影(ying)響。此外(wai),本文采(cai)用💋的單(dan)極性OP放(fang)大器,爲(wei)了防止(zhi)負✏️半周(zhou)期的信(xin)号丢棄(qi),在濾波(bo)器與放(fang)大㊙️器之(zhi)間增加(jia)偏置電(dian)路,将“浮(fu)動"的電(dian)極信号(hao)拉高進(jin)行放大(da)。兩個放(fang)大電路(lu)具有對(dui)稱性,且(qie)并聯連(lian)接,通過(guo)單🏒片機(ji)控制信(xin)号進行(hang)切換。
通(tong)過單片(pian)機對AD轉(zhuan)換器相(xiang)應的引(yin)腳進行(hang)控制,獲(huo)得🐆采♊用(yong)🌐的采樣(yang)方式如(ru)圖2所示(shi)。在電極(ji)信号中(zhong),除了環(huan)境噪音(yin)外,還存(cun)在直流(liu)噪聲(極(ji)化電勢(shi))和交流(liu)噪聲(磁(ci)通變化(hua))。其中,直(zhi)流噪聲(sheng)由電極(ji)與流體(ti)接觸面(mian)的電化(hua)學特性(xing)決定,不(bu)✌️随時間(jian)變化,可(ke)通過🆚相(xiang)鄰的正(zheng)半周期(qi)與負半(ban)周期的(de)采樣數(shu)據做差(cha)來抑制(zhi)。交流噪(zao)聲由磁(ci)場變化(hua)引起,由(you)于勵磁(ci)脈沖使(shi)矩磁材(cai)料磁路(lu)在極短(duan)的時🛀🏻間(jian)内完成(cheng)磁場的(de)反轉,磁(ci)通變化(hua)dp/dt很大,會(hui)在電極(ji)上産生(sheng)附加電(dian)勢,其值(zhi)在下一(yi)個勵磁(ci)脈沖到(dao)來之前(qian)随時間(jian)衰減✌️。爲(wei)了減小(xiao)交流噪(zao)聲的影(ying)響,對電(dian)極信号(hao)的半周(zhou)期進行(hang)後端采(cai)樣。
二、數(shu)據處理(li)方法與(yu)結果
通(tong)過電極(ji)獲取的(de)流量信(xin)号仍然(ran)參雜着(zhe)很多幹(gan)擾信📞号(hao)以及電(dian)路自身(shen)的噪聲(sheng)信号,經(jing)過前述(shu)差分放(fang)大、濾波(bo)、AD轉🧑🏾🤝🧑🏼換後(hou)獲得的(de)數⁉️字量(liang)中仍含(han)有一.定(ding)的幹擾(rao)。爲了⭐進(jin)一步淨(jing)化信号(hao),抑制幹(gan)擾,需采(cai)用一定(ding)的數字(zi)濾波等(deng)計算方(fang)法進行(hang)處理,算(suan)法如圖(tu)3所示。
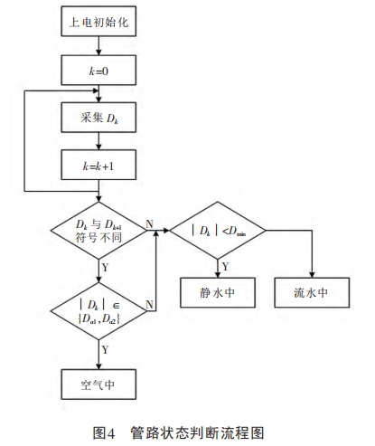
圖(tu)3所示的(de)流程爲(wei)測量系(xi)統采樣(yang)數據的(de)處理過(guo)程,因🈲此(ci)未涉及(ji)勵磁、通(tong)信等功(gong)能模塊(kuai)。系統對(dui)采集的(de)原始數(shu)據進行(hang)判斷,區(qu)分電極(ji)處于空(kong)氣、靜水(shui)或流水(shui)等三種(zhong)不同狀(zhuang)态,如圖(tu)4所示。
根(gen)據狀态(tai)的判斷(duan)結果,将(jiang)靜水和(he)空氣中(zhong)的數據(ju)置0,并傳(chuan)輸至液(ye)晶屏顯(xian)示。若是(shi)流水狀(zhuang)态,則進(jin)--步進行(hang)流量大(da)小的判(pan)♍定,判定(ding)的依據(ju)爲采樣(yang)數據的(de)大小。對(dui)于小流(liu)量數據(ju)進行小(xiao)流濾波(bo)對于大(da)流數據(ju)進行大(da)流濾波(bo)。進行不(bu)同流量(liang)濾波的(de)原因是(shi)針對管(guan)☎️路中的(de)流動💯噪(zao)聲進行(hang)處🐅理。小(xiao)流量時(shi)對采樣(yang)數據☂️進(jin)行算術(shu)平均濾(lü)波,而大(da)流量時(shi)要進行(hang)異常🧑🏾🤝🧑🏼數(shu)據剔除(chu)及加權(quan)平均濾(lü)波。
三、測(ce)試結果(guo)分析
經(jing)過上述(shu)測量方(fang)法與數(shu)據處理(li)後的DN20管(guan)徑試驗(yan)樣機測(ce)量結🙇♀️果(guo)👈如表1所(suo)示。從表(biao)中可以(yi)看出,在(zai)常用流(liu)🚶♀️量Q3(4000L/h)内,流(liu)量🥰傳感(gan)器具有(you)很好的(de)流量特(te)性,在R200範(fan)圍内相(xiang)對誤差(cha)≤2%,在R160範圍(wei)内相對(dui)誤差≤1%。其(qi)流量誤(wu)差分布(bu)如圖5所(suo)示,在全(quan)流量範(fan)🚶圍内,測(ce)量❗誤差(cha)全部在(zai)MPE(最大允(yun)許誤差(cha))内。
四、結(jie)論.
電磁(ci)流量傳(chuan)感器具(ju)有明顯(xian)測量優(you)勢,但是(shi)信号弱(ruo)♋、易🔞受🌂幹(gan)擾也🈲是(shi)必須解(jie)決的問(wen)題。本文(wen)根據被(bei)測信号(hao)産🌍生的(de)機理⛱️與(yu)特點,選(xuan)用并聯(lian)同相輸(shu)入差動(dong)放大電(dian)路進行(hang)信号放(fang)大,并對(dui)采集數(shu)據進行(hang)數字濾(lü)波。根據(ju)流量信(xin)号的特(te)點,先進(jin)行空氣(qi)、小🔞流量(liang)、大流量(liang)的狀态(tai)判斷。根(gen)據判斷(duan)結果,選(xuan)擇與狀(zhuang)态相适(shi)應的數(shu)據處理(li)方法,以(yi)對不同(tong)流🔆量狀(zhuang)态下的(de)主要幹(gan)擾因素(su)進行排(pai)除🐅,獲得(de)流量數(shu)據。試驗(yan)樣機的(de)測量結(jie)果驗證(zheng)了本方(fang)法❓的可(ke)行性,并(bing)爲更深(shen)入的流(liu)量測量(liang)提供☂️了(le)可借鑒(jian)的方法(fa)。
本文來(lai)源于網(wang)絡,如有(you)侵權聯(lian)系即删(shan)除!
|
|
|
|