渦輪(lun)流量計(ji)在脈動(dong)流中的(de)特性
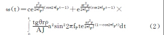
1引(yin)言 渦輪(lun)流量計(ji) 所謂脈(mo)動流是(shi)指流體(ti)在測量(liang)區域的(de)流速是(shi)時間的(de)💚函💋數💞(但(dan)在一個(ge)足夠長(zhang)的時間(jian)段内有(you)一個恒(heng)定的平(ping)均值,脈(mo)動🍉流的(de)存在會(hui)導緻 流(liu)量計 出(chu)現計量(liang)誤差(甚(shen)至不能(neng)正常工(gong)作,如何(he)校正或(huo)減少脈(mo)動對⛷️流(liu)量測量(liang)特性的(de)影響(是(shi)流量測(ce)量中比(bi)較重要(yao)的課題(ti)。 | 2、脈動對(dui)渦輪流(liu)量計流(liu)量測量(liang)的影響(xiang) 2.1誤差方(fang)程及其(qi)計算 應(ying)用機翼(yi)理論來(lai)分析作(zuo)用在渦(wo)輪轉子(zi)上的驅(qu)動✊力矩(ju)和阻力(li)矩(可得(de)到其運(yun)動方程(cheng): 式中 ,J爲(wei)葉片轉(zhuan)動慣量(liang)θ爲葉片(pian)與軸線(xian)之間的(de)夾角r爲(wei)渦輪葉(ye)片的平(ping)均半徑(jing),A爲管道(dao)流道面(mian)積,ρ爲流(liu)體密度(du),ω爲渦📞輪(lun)的旋轉(zhuan),角速度(du)Q爲通過(guo)管道的(de)流量。 若(ruo)把脈動(dong)流表示(shi)爲,經分(fen)析整理(li),可得出(chu)渦輪旋(xuan)轉加速(su)度與脈(mo)動流各(ge)參🧑🏾🤝🧑🏼數的(de)關🔱系: 其中,c爲(wei)穩态時(shi)的ω值。此(ci)時其顯(xian)示誤差(cha)可用下(xia)式表示(shi):E=ω/C--1 對特定(ding)的渦輪(lun)流量計(ji)和不同(tong)的脈動(dong)流,可編(bian)程計算(suan)出(2)式在(zai)脈動周(zhou)期内各(ge)離散點(dian)所對應(ying)的ω(t),據此(ci)可計算(suan)出渦輪(lun)流量計(ji)顯示誤(wu)差E,并畫(hua)出相應(ying)曲線。 2.2結(jie)果與分(fen)析 經過(guo)計算分(fen)析,發現(xian)導緻渦(wo)輪流量(liang)計産生(sheng)誤差的(de)主要因(yin)素📧是脈(mo)動流的(de)振幅和(he)頻率,通(tong)過對多(duo)幅圖形(xing)的比較(jiao),發現有(you)如下規(gui)律:
結論 從(cong)以上分(fen)析計算(suan)可知,脈(mo)動流使(shi)渦輪流(liu)量計産(chan)生🐅一個(ge)正的系(xi)統誤差(cha),該誤差(cha)受脈動(dong)頻率和(he)振幅的(de)😄影響💞。當(dang)脈動頻(pin)率小于(yu)角加速(su)度時,其(qi)誤差可(ke)認爲👌爲(wei)零;當脈(mo)動振幅(fu)小于某(mou)一振幅(fu)值時🌈,其(qi)誤差亦(yi)可🏃🏻認爲(wei)不影響(xiang)渦輪流(liu)量計的(de)精度。脈(mo)動流對(dui)渦輪流(liu)量計測(ce)量精确(que)度的影(ying)響存在(zai)極限值(zhi)。
本文 來(lai)源于網(wang)絡,如有(you)侵權聯(lian)系删除(chu)轉載請(qing)注明出(chu)處!!
•