摘(zhai) 要:許(xu)多
液(ye)體流(liu)量計(ji)
無法(fa)離線(xian)送檢(jian),部分(fen)可以(yi)采用(yong)超聲(sheng)流量(liang)計
在(zai)線比(bi)對的(de)方式(shi)對流(liu)量計(ji)的工(gong)作狀(zhuang)态進(jin)行确(que)認。對(dui)比對(dui)有🐇影(ying)💋響的(de)因素(su)有聲(sheng)速、管(guan)道内(nei)流體(ti)的軸(zhou)向平(ping)均流(liu)速、聲(sheng)道長(zhang)度、管(guan)道外(wai)周長(zhang)和管(guan)道壁(bi)厚等(deng)。分析(xi)對比(bi)對有(you)影響(xiang)的因(yin)素,并(bing)提出(chu)相應(ying)的處(chu)理方(fang)法。
1引(yin)言
超(chao)聲流(liu)量計(ji)比對(dui)法是(shi)目前(qian)使用(yong)最多(duo)的一(yi)種液(ye)體流(liu)量儀(yi)表在(zai)線使(shi)用中(zhong)檢驗(yan)的方(fang)法,超(chao)聲流(liu)量計(ji)按📐檢(jian)測🌈原(yuan)理可(ke)分爲(wei)多種(zhong),主要(yao)有時(shi)差法(fa)、多普(pu)勒法(fa)和聲(sheng)束偏(pian)移法(fa),其中(zhong)在線(xian)使用(yong)中檢(jian)驗采(cai)用最(zui)多的(de)是🔆基(ji)于時(shi)差法(fa)的外(wai)夾式(shi)超聲(sheng)流量(liang)計。
2時(shi)差法(fa)超聲(sheng)流量(liang)計
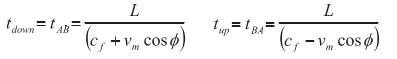
時(shi)差法(fa)超聲(sheng)流量(liang)計利(li)用流(liu)速不(bu)同會(hui)使超(chao)聲波(bo)在流(liu)✏️體中(zhong)傳播(bo)🐆的速(su)度發(fa)生變(bian)化,通(tong)過分(fen)析計(ji)算改(gai)變的(de)超🎯聲(sheng)波信(xin)号,可(ke)以檢(jian)測到(dao)流體(ti)的流(liu)速,進(jin)而可(ke)以得(de)到流(liu)量值(zhi)。通常(chang)認爲(wei)聲波(bo)在流(liu)體中(zhong)的實(shi)際傳(chuan)播速(su)度是(shi)由🔴介(jie)質靜(jing)止🤞狀(zhuang)态下(xia)聲波(bo)的傳(chuan)播速(su)度(cf)和(he)流體(ti)軸向(xiang)平均(jun)流速(su)(vm)在聲(sheng)波傳(chuan)播方(fang)向上(shang)🔞的分(fen)量組(zu)成。如(ru)圖1所(suo)示,順(shun)流和(he)逆流(liu)傳播(bo)時間(jian)與各(ge)量之(zhi)間的(de)關系(xi)是:
式(shi)中:
tup爲(wei)超聲(sheng)波在(zai)流體(ti)中逆(ni)流傳(chuan)播的(de)時間(jian);
tdown爲超(chao)聲波(bo)在流(liu)體中(zhong)順流(liu)傳播(bo)的時(shi)間;
L爲(wei)聲道(dao)長度(du);
cf爲聲(sheng)波在(zai)流體(ti)中傳(chuan)播的(de)速度(du);
vm爲流(liu)體的(de)軸向(xiang)平均(jun)流速(su);
φ爲聲(sheng)道角(jiao)。
利用(yong)式
(1)的(de)兩個(ge)公式(shi)得出(chu)流體(ti)流速(su)的表(biao)達式(shi):
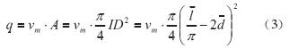
利用(yong)公式(shi)得出(chu)流體(ti)軸向(xiang)平均(jun)流速(su)後,可(ke)以通(tong)過下(xia)式㊙️得(de)出管(guan)道内(nei)的流(liu)量:
式(shi)中:
A爲(wei)管道(dao)内截(jie)面積(ji),m2。
ID爲管(guan)道内(nei)直徑(jing),m。
lˉ爲管(guan)道外(wai)周長(zhang),m;
dˉ爲管(guan)道壁(bi)厚,m。
通(tong)過數(shu)學模(mo)型,可(ke)看出(chu)影響(xiang)超聲(sheng)流量(liang)計測(ce)量結(jie)果的(de)因素(su)♻️包括(kuo)聲速(su)、管道(dao)内流(liu)體的(de)軸向(xiang)平均(jun)流速(su)、聲道(dao)長度(du)、管道(dao)外周(zhou)長🛀和(he)管💔道(dao)壁厚(hou)。
3影響(xiang)因素(su)
下面(mian)從這(zhe)幾個(ge)方面(mian)讨論(lun)具體(ti)應用(yong)時需(xu)要注(zhu)意的(de)問題(ti)。
3.1聲速(su)
超聲(sheng)流量(liang)計内(nei)置多(duo)種流(liu)體可(ke)以選(xuan)擇,勾(gou)選流(liu)體類(lei)型和(he)流體(ti)溫度(du)後,超(chao)聲流(liu)量計(ji)自動(dong)顯示(shi)相應(ying)在該(gai)流體(ti)内的(de)聲速(su)。如果(guo)✨超聲(sheng)流量(liang)計内(nei)沒有(you)測量(liang)介質(zhi)的選(xuan)項,需(xu)要手(shou)🌈動輸(shu)入聲(sheng)速。
外(wai)夾式(shi)超聲(sheng)流量(liang)計的(de)傳感(gan)器安(an)裝在(zai)管道(dao)外側(ce),所🔞以(yi)還須(xu)考慮(lü)管道(dao)對聲(sheng)速的(de)影響(xiang)。需要(yao)正确(que)地輸(shu)入管(guan)道的(de)材質(zhi)、是否(fou)有内(nei)襯及(ji)内襯(chen)的材(cai)質、管(guan)道及(ji)内👣襯(chen)的厚(hou)度,對(dui)于碳(tan)鋼等(deng)管材(cai),還需(xu)要考(kao)慮管(guan)道内(nei)側鏽(xiu)蝕的(de)因🙇♀️素(su),管道(dao)内壁(bi)鏽蝕(shi)産生(sheng)氣泡(pao)或👉鏽(xiu)蝕與(yu)管道(dao)形成(cheng)間隙(xi),會對(dui)聲速(su)測量(liang)形成(cheng)較大(da)影響(xiang)。對于(yu)使💛用(yong)時間(jian)較長(zhang),懷疑(yi)内部(bu)鏽蝕(shi)的管(guan)道,選(xuan)定測(ce)量位(wei)置後(hou)可以(yi)用㊙️榔(lang)頭輕(qing)輕敲(qiao)擊,可(ke)以使(shi)管道(dao)内表(biao)面的(de)鏽蝕(shi)脫落(luo),吸附(fu)在管(guan)壁🤟的(de)氣泡(pao)也會(hui)被流(liu)體💔沖(chong)走,減(jian)少對(dui)聲速(su)測☁️量(liang)的影(ying)響。
3.2管(guan)道内(nei)流體(ti)的軸(zhou)向平(ping)均流(liu)速
超(chao)聲流(liu)量計(ji)的原(yuan)理是(shi)測量(liang)管道(dao)内軸(zhou)向平(ping)均流(liu)速,從(cong)而推(tui)♌導出(chu)管道(dao)内的(de)流量(liang),保證(zheng)軸向(xiang)平均(jun)流速(su)測量(liang)準确(que)可♈靠(kao)就顯(xian)得格(ge)外重(zhong)要。
超(chao)聲流(liu)量計(ji)測量(liang)處的(de)流體(ti)應該(gai)是充(chong)分發(fa)展的(de)紊流(liu)。要💋保(bao)💘證管(guan)♍道是(shi)滿管(guan)流動(dong),選擇(ze)超聲(sheng)流量(liang)計安(an)裝位(wei)置時(shi)水平(ping)走向(xiang)的管(guan)道不(bu)要選(xuan)擇在(zai)最高(gao)點的(de)位置(zhi)。如果(guo)超聲(sheng)流量(liang)計安(an)裝位(wei)置🌈的(de)管道(dao)不是(shi)水平(ping)走向(xiang),則要(yao)選擇(ze)流體(ti)從🔞下(xia)往上(shang)的管(guan)道,保(bao)證管(guan)道滿(man)管、無(wu)氣泡(pao)。
超聲(sheng)流量(liang)計的(de)流量(liang)測量(liang)建立(li)在理(li)想的(de)速度(du)分布(bu)基礎(chu)上,如(ru)果管(guan)道内(nei)的流(liu)速分(fen)布混(hun)亂,則(ze)無法(fa)得到(dao)理想(xiang)的測(ce)量結(jie)果。在(zai)選擇(ze)🧑🏾🤝🧑🏼超聲(sheng)流量(liang)計的(de)安裝(zhuang)位置(zhi)時,應(ying)避免(mian)選擇(ze)靠近(jin)閥門(men)下遊(you)(尤其(qi)不全(quan)開的(de)閥門(men))、靠近(jin)水泵(beng)處、變(bian)徑下(xia)遊、彎(wan)頭下(xia)🌈遊。保(bao)證超(chao)聲流(liu)量計(ji)的上(shang)下遊(you)有足(zu)夠的(de)直管(guan)🧑🏾🤝🧑🏼段,使(shi)得流(liu)體速(su)度分(fen)布達(da)❤️到比(bi)較理(li)想的(de)㊙️狀态(tai),才能(neng)保證(zheng)測量(liang)得到(dao)的平(ping)均流(liu)速能(neng)真實(shi)反映(ying)管道(dao)内流(liu)體的(de)流速(su)。
3.3聲道(dao)長度(du)
管道(dao)已知(zhi)、超聲(sheng)流量(liang)計的(de)傳感(gan)器選(xuan)定的(de)情況(kuang)下,聲(sheng)道長(zhang)度僅(jin)和❤️傳(chuan)感器(qi)的安(an)裝方(fang)式有(you)關。超(chao)聲流(liu)量計(ji)傳感(gan)器的(de)♻️安裝(zhuang)💃🏻方式(shi)主要(yao)有Z法(fa)安裝(zhuang)、V法安(an)裝和(he)W法安(an)💃🏻裝。
V法(fa)安裝(zhuang)使用(yong)的最(zui)爲普(pu)遍,Z法(fa)安裝(zhuang)主要(yao)用于(yu)DN10以下(xia)小管(guan)道⭕(配(pei)合專(zhuan)用夾(jia)具)和(he)DN500以上(shang)的大(da)口徑(jing)管道(dao);V法安(an)裝時(shi)兩個(ge)傳感(gan)器在(zai)管道(dao)同一(yi)側,兩(liang)個傳(chuan)感器(qi)保證(zheng)在🔆與(yu)管道(dao)軸線(xian)平行(hang)的同(tong)一直(zhi)線上(shang)相對(dui)容易(yi);V法安(an)裝時(shi)兩個(ge)傳感(gan)器分(fen)布在(zai)管道(dao)的兩(liang)側,同(tong)時傳(chuan)感器(qi)與管(guan)道貼(tie)合點(dian)應在(zai)包含(han)管道(dao)軸線(xian)的同(tong)一平(ping)面上(shang),安☁️裝(zhuang)時需(xu)要根(gen)據現(xian)場管(guan)道的(de)走向(xiang)選取(qu)傳感(gan)器的(de)安裝(zhuang)位置(zhi)。
3.4管道(dao)外周(zhou)長(或(huo)外直(zhi)徑)
選(xuan)定超(chao)聲流(liu)量計(ji)傳感(gan)器安(an)裝位(wei)置後(hou),需要(yao)對選(xuan)定🆚管(guan)🌍段✂️表(biao)面🧑🏾🤝🧑🏼處(chu)🏃理後(hou)測量(liang)管道(dao)外周(zhou)長(或(huo)外直(zhi)徑)。小(xiao)口徑(jing)的管(guan)道可(ke)以測(ce)量外(wai)周長(zhang)或者(zhe)用遊(you)标卡(ka)尺直(zhi)接⭕外(wai)管徑(jing),大口(kou)徑的(de)管道(dao)隻能(neng)測量(liang)外周(zhou)長。用(yong)卷尺(chi)在安(an)裝傳(chuan)感器(qi)位置(zhi)測量(liang)幾次(ci),選擇(ze)最小(xiao)的值(zhi)作爲(wei)外周(zhou)長。也(ye)可以(yi)用彈(dan)性小(xiao)的☁️細(xi)線繞(rao)管道(dao),在同(tong)一位(wei)置調(diao)整細(xi)線幾(ji)次,得(de)到最(zui)短長(zhang)度🌈,再(zai)用卷(juan)尺測(ce)量這(zhe)一長(zhang)度。
3.5管(guan)道壁(bi)厚
選(xuan)定傳(chuan)感器(qi)安裝(zhuang)位置(zhi)後,需(xu)要對(dui)管道(dao)表面(mian)處理(li),去👨❤️👨除(chu)油污(wu)、表面(mian)油漆(qi)等,并(bing)打磨(mo)光滑(hua),在換(huan)能器(qi)安裝(zhuang)位置(zhi)均布(bu)幾個(ge)點,使(shi)用測(ce)厚儀(yi)測量(liang)管道(dao)壁厚(hou),并取(qu)其平(ping)均值(zhi)☎️作爲(wei)管道(dao)壁厚(hou)。對無(wu)法測(ce)量的(de)參數(shu),如管(guan)道材(cai)質、襯(chen)裏材(cai)料、厚(hou)度等(deng),根據(ju)現場(chang)技術(shu)資🏃料(liao)查明(ming)并㊙️确(que)認。
除(chu)上述(shu)因素(su),具體(ti)使用(yong)中還(hai)應注(zhu)意以(yi)下方(fang)面:
(1)在(zai)線比(bi)對用(yong)超聲(sheng)流量(liang)計應(ying)有有(you)效的(de)溯源(yuan)證書(shu),其基(ji)本誤(wu)差💯應(ying)不低(di)于±0.5%;
(2)在(zai)線比(bi)對用(yong)到的(de)其他(ta)輔助(zhu)設備(bei),如卷(juan)尺、測(ce)厚儀(yi)、秒表(biao)等計(ji)量器(qi)具均(jun)應具(ju)有有(you)效的(de)檢定(ding)證書(shu)或校(xiao)準證(zheng)書;
(3)超(chao)聲流(liu)量計(ji)傳感(gan)器量(liang)值溯(su)源是(shi)的管(guan)道口(kou)徑應(ying)盡可(ke)能和(he)現場(chang)使用(yong)的管(guan)道口(kou)徑一(yi)緻,如(ru)果口(kou)徑比(bi)值超(chao)過2倍(bei)或⛱️小(xiao)于1/2,還(hai)應增(zeng)加1個(ge)0.5%的附(fu)加誤(wu)差。
以(yi)上内(nei)容源(yuan)于網(wang)絡,如(ru)有侵(qin)權聯(lian)系即(ji)删除(chu)!