午夜亚洲福利在线老司机 氣體超聲流量計與孔闆流量計在天然氣計量中應用對比-江蘇省速惠自动化制造有限公司
;                
        首   頁(ye)│  公司(si)簡介(jie)  産品(pin)中心(xin)  質量(liang)體系(xi)  銷售(shou)網絡(luo)  聯系(xi)我們(men)
 
聯系(xi)方式(shi)
 電話(hua)(市場(chang)部):  
       
        
   (拓(tuo)展部(bu)):
 傳真(zhen):
 節假(jia)日商(shang)務聯(lian)系電(dian)話:
 何(he)經理(li):
 劉經(jing)理:
 郵(you)編:211600
 網(wang)址:/
    http://banyunshe.cc/
 E-mail:[email protected]
     [email protected]
 地(di)址:江(jiang)蘇省(sheng)金湖(hu)縣工(gong)業園(yuan)區環(huan)城西(xi)
 路269号(hao)
 您現(xian)在的(de)位置(zhi) > 首頁(ye) > 行業(ye)新聞(wen) > 氣體(ti)超聲(sheng)流量(liang)計與(yu)孔闆(pan)流量(liang)計在(zai)天然(ran)氣計(ji)量中(zhong)應🈚用(yong)對比(bi)
     

氣體(ti)超聲(sheng)流量(liang)計與(yu)孔闆(pan)流量(liang)計在(zai)天然(ran)氣計(ji)量中(zhong)應用(yong)對比(bi)
發布(bu)時間(jian):2025-11-27

摘要(yao):氣體(ti)超聲(sheng)流童(tong)計 與(yu) 孔闆(pan)流量(liang)計 在(zai)天然(ran)氣工(gong)業中(zhong)應用(yong)的兩(liang)個主(zhu)要方(fang)面流(liu)體流(liu)動❤️特(te)性對(dui)儀表(biao)性能(neng)的影(ying)響和(he)流童(tong)計的(de)幹校(xiao)問題(ti)進行(hang)比較(jiao),分😍析(xi)它們(men)存在(zai)的問(wen)題及(ji)發展(zhan)前景(jing)。還對(dui)其它(ta)儀表(biao)🔞性能(neng)進行(hang)了比(bi)較。
  90年(nian)代以(yi)來,氣(qi)體超(chao)聲流(liu)量計(ji)在天(tian)然氣(qi)工業(ye)中的(de)成🔞功(gong)應用(yong)有突(tu)破性(xing)的進(jin)展,一(yi)些天(tian)然氣(qi)流量(liang)計量(liang)的疑(yi)難問(wen)題可(ke)望獲(huo)得解(jie)決。據(ju)稱由(you)于正(zheng)确率(lü)高和(he)維修(xiu)費用(yong)低,多(duo)聲道(dao)氣體(ti)😍超聲(sheng)流量(liang)計已(yi)被氣(qi)體工(gong)業界(jie)接受(shou)。多聲(sheng)道氣(qi)體超(chao)聲流(liu)量計(ji)是氣(qi)體渦(wo)輪流(liu)量🈲計(ji)後被(bei)氣體(ti)工業(ye)界接(jie)受💯的(de)最重(zhong)要的(de)流量(liang)計量(liang)器具(ju)。目前(qian)美國(guo)⭕氣⭐體(ti)協會(hui)(AGA)已經(jing)完成(cheng)AGAeReortNo.9“用超(chao)聲流(liu)量計(ji)測量(liang)氣體(ti)流量(liang)”草案(an)♈閉。制(zhi)定有(you)關國(guo)家🐕标(biao)準與(yu)國際(ji)标準(zhun)的準(zhun)備工(gong)作正(zheng)在進(jin)行。至(zhi)今,已(yi)有12個(ge)⚽國家(jia)的政(zheng)府機(ji)構批(pi)準氣(qi)體超(chao)聲流(liu)量計(ji)爲法(fa)定計(ji)量器(qi)具✂️國(guo)外🚶‍♀️天(tian)然氣(qi)工業(ye)在貿(mao)易輸(shu)送,氣(qi)體分(fen)配、調(diao)合♈、控(kong)制和(he)檢🐇漏(lou)等方(fang)面都(dou)♌廣泛(fan)采用(yong)它㊙️。對(dui)天然(ran)氣工(gong)業中(zhong)傳統(tong)的計(ji)量儀(yi)表孔(kong)闆流(liu)量計(ji)與新(xin)型的(de)氣體(ti)超聲(sheng)流量(liang)計在(zai)儀表(biao)性能(neng)的兩(liang)個主(zhu)要方(fang)面:流(liu)☔體流(liu)動特(te)性對(dui)儀表(biao)性能(neng)的影(ying)響和(he)流❗量(liang)計的(de)幹校(xiao)問題(ti)進行(hang)比較(jiao),分析(xi)它們(men)存在(zai)的問(wen)題及(ji)發展(zhan)前景(jing)。
流體(ti)流動(dong)特性(xing)對儀(yi)表性(xing)能的(de)影響(xiang)
  孔闆(pan)流量(liang)計和(he)氣體(ti)超聲(sheng)流量(liang)計都(dou)是對(dui)流體(ti)流動(dong)特性(xing)變化(hua)敏🌈感(gan)的儀(yi)表,如(ru)何消(xiao)除不(bu)正常(chang)流動(dong)特性(xing)對儀(yi)表性(xing)能的(de)影響(xiang)🔱一直(zhi)是這(zhe)二類(lei)儀表(biao)的主(zhu)題之(zhi)✍️一。現(xian)在可(ke)以看(kan)到兩(liang)者解(jie)決此(ci)問題(ti)的😄方(fang)法有(you)很大(da)差别(bie),在技(ji)術和(he)經濟(ji)兩方(fang)面亦(yi)🍉有不(bu)同有(you)效果(guo),分析(xi)它們(men)的特(te)點,對(dui)今後(hou)流量(liang)計的(de)發展(zhan)是✔️有(you)現實(shi)意義(yi)的。
l孔(kong)闆流(liu)量計(ji)
  本世(shi)紀20年(nian)代起(qi)人們(men)就對(dui)流體(ti)流動(dong)特性(xing)對儀(yi)表性(xing)能的(de)⭕影響(xiang)進行(hang)過大(da)量的(de)試驗(yan)研究(jiu),爲了(le)準備(bei)孔闆(pan)流量(liang)計AGA(美(mei)國氣(qi)體協(xie)會)報(bao)告,從(cong)1924年到(dao)1935年美(mei)國進(jin)行過(guo)10年試(shi)驗研(yan)究,研(yan)究項(xiang)日多(duo)達14項(xiang)✔️,其中(zhong)大部(bu)分是(shi)關于(yu)流體(ti)流動(dong)特性(xing)的影(ying)響試(shi)驗。幾(ji)乎同(tong)時歐(ou)洲亦(yi)進行(hang)👣同樣(yang)内容(rong)的孔(kong)闆流(liu)量計(ji)試驗(yan)研究(jiu),這些(xie)都爲(wei)制定(ding)🛀節流(liu)式差(cha)壓🔞流(liu)量計(ji)國際(ji)标準(zhun)奠定(ding)了基(ji)礎。現(xian)在ISO5167中(zhong)關于(yu)節流(liu)裝置(zhi)上下(xia)遊必(bi)要的(de)最短(duan)直管(guan)段長(zhang)度的(de)規🌈定(ding)就是(shi)這些(xie)試驗(yan)🔴研究(jiu)的總(zong)結,在(zai)各㊙️類(lei)流量(liang)計中(zhong)它的(de)數據(ju)是最(zui)具權(quan)威性(xing)的。但(dan)是亦(yi)應看(kan)到,這(zhe)些規(gui)定不(bu)但在(zai)内容(rong)上存(cun)在很(hen)大的(de)争議(yi),而且(qie)在實(shi)際上(shang)也遠(yuan)不能(neng)滿足(zu)現場(chang)的需(xu)要。ISO5167第(di)一版(ban)(1980年)投(tou)票表(biao)決通(tong)過時(shi),孔闆(pan)流量(liang)計資(zi)料主(zhu)要提(ti)🔞供國(guo)美國(guo)卻投(tou)了反(fan)對票(piao),其原(yuan)😄因之(zhi)一就(jiu)是不(bu)同意(yi)标準(zhun)中關(guan)于直(zhi)管段(duan)長度(du)的規(gui)定。由(you)此引(yin)發80年(nian)代歐(ou)洲和(he)美國(guo)對孔(kong)闆🛀🏻流(liu)量計(ji)進行(hang)10餘年(nian)的大(da)規模(mo)研究(jiu)試驗(yan),至今(jin)它已(yi)取得(de)💔巨大(da)的成(cheng)果📐,準(zhun)備對(dui)ISO5167一1(1991年(nian))[,〕進行(hang)修訂(ding),修訂(ding)的主(zhu)要内(nei)容之(zhi)一就(jiu)是🈚關(guan)于直(zhi)管段(duan)長度(du)的規(gui)定。
孔(kong)闆流(liu)量計(ji)爲解(jie)決此(ci)問題(ti)進行(hang)研究(jiu)試驗(yan)有以(yi)下特(te)點♊:
(l)确(que)定幾(ji)種典(dian)型的(de)阻流(liu)件類(lei)型(ISO5167中(zhong)爲7種(zhong)),進行(hang)各種(zhong)口徑(jing)🍉,b值,雷(lei)諾數(shu)範圍(wei)的試(shi)驗,确(que)定在(zai)參比(bi)工作(zuo)條件(jian)下(充(chong)分發(fa)展管(guan)流)所(suo)需的(de)最短(duan)直管(guan)段長(zhang)度。
(2)爲(wei)縮短(duan)必要(yao)的直(zhi)管段(duan)長度(du),在上(shang)遊側(ce)安裝(zhuang)流動(dong)調整(zheng)器(整(zheng)流器(qi)📞),開發(fa)出幾(ji)種類(lei)型的(de)流動(dong)調整(zheng)器(ISO5167中(zhong)爲5種(zhong))。
(3)流動(dong)特性(xing)中關(guan)于非(fei)定常(chang)流(如(ru)脈動(dong)流)提(ti)出技(ji)術報(bao)告(ISO5167/TR3313)〔’〕,對(dui)脈動(dong)流的(de)抑制(zhi)及誤(wu)差估(gu)計提(ti)供一(yi)些數(shu)據供(gong)使用(yong)🐉參考(kao)。
盡管(guan)已經(jing)取得(de)上述(shu)成果(guo),但是(shi)要應(ying)付現(xian)場的(de)需要(yao)仍感(gan)很不(bu)滿足(zu):
(l)現場(chang)的阻(zu)流件(jian)類型(xing)遠多(duo)于标(biao)準中(zhong)提供(gong)的,并(bing)且阻(zu)流件(jian)之間(jian)的🐆組(zu)合形(xing)式層(ceng)出不(bu)窮,因(yin)此現(xian)場總(zong)感覺(jiao)有些(xie)問題(ti)有待(dai)解決(jue),例如(ru)天然(ran)氣輸(shu)配氣(qi)計量(liang)站出(chu)🙇‍♀️現較(jiao)普遍(bian)的旋(xuan)風分(fen)離器(qi)和彙(hui)管在(zai)标準(zhun)中就(jiu)沒有(you)🏃🏻‍♂️規定(ding)。
(2)試驗(yan)研究(jiu)需花(hua)費巨(ju)大的(de)人力(li)物力(li),一種(zhong)類型(xing)阻流(liu)件需(xu)進行(hang)各種(zhong)口徑(jing)的試(shi)驗,每(mei)種口(kou)徑有(you)一系(xi)列的(de)♉月值(zhi),還有(you)雷諾(nuo)數(流(liu)量)範(fan)圍變(bian)化的(de)試驗(yan),可以(yi)想象(xiang)✌️,這種(zhong)排列(lie)組合(he)方式(shi)的試(shi)驗工(gong)作量(liang)有多(duo)麽巨(ju)大,實(shi)在是(shi)不勝(sheng)🌐負擔(dan)的一(yi)項工(gong)作。
(3)采(cai)用流(liu)動調(diao)整器(qi)以縮(suo)短直(zhi)管段(duan)長度(du)不是(shi)一種(zhong)好辦(ban)⭐法,它(ta)會帶(dai)來附(fu)加壓(ya)損,流(liu)體中(zhong)雜質(zhi)易在(zai)其中(zhong)堵塞(sai),增加(jia)現場(chang)使用(yong)維護(hu)的工(gong)作量(liang)。
(4)非定(ding)常流(liu)的特(te)例脈(mo)動流(liu)測量(liang)雖然(ran)有一(yi)個ISO技(ji)術報(bao)告(ISO/TR3313)可(ke)參考(kao),但實(shi)際上(shang)孔闆(pan)流量(liang)計是(shi)不适(shi)合用(yong)于脈(mo)動流(liu)測量(liang)⭐的,其(qi)原因(yin)是信(xin)👌号(差(cha)壓)與(yu)流量(liang)爲非(fei)線性(xing)關系(xi)(平方(fang)關系(xi)),引壓(ya)管線(xian)使信(xin)号遲(chi)滞及(ji)畸變(bian),節流(liu)件對(dui)脈動(dong)波産(chan)生障(zhang)礙形(xing)成波(bo)的反(fan)射等(deng)等。
2氣(qi)體超(chao)聲流(liu)量計(ji)
  新型(xing)的氣(qi)體超(chao)聲流(liu)量計(ji)采取(qu)多聲(sheng)道配(pei)置的(de)方案(an)來對(dui)💯付速(su)度分(fen)布畸(ji)變及(ji)旋轉(zhuan)流等(deng)不正(zheng)常流(liu)動特(te)性的(de)影響(xiang)☔。例如(ru)📐多聲(sheng)道氣(qi)體超(chao)聲流(liu)量計(ji),其工(gong)作原(yuan)理如(ru)圖l所(suo)示。流(liu)🍉量計(ji)的檢(jian)測件(jian)🏃‍♂️是一(yi)個帶(dai)有5個(ge)超聲(sheng)通道(dao)(聲道(dao))的圓(yuan)形短(duan)管,這(zhe)5個聲(sheng)道是(shi)這樣(yang)組成(cheng)的:采(cai)用2個(ge)具有(you)二次(ci)反射(she)的聲(sheng)道和(he)3個單(dan)反射(she)聲道(dao),它們(men)❄️組成(cheng)爲一(yi)個超(chao)😍聲通(tong)道網(wang)絡,對(dui)整個(ge)管道(dao)橫截(jie)面積(ji)🏃‍♂️都能(neng)進行(hang)🎯分析(xi),在分(fen)析速(su)度分(fen)布畸(ji)✉️變與(yu)旋轉(zhuan)流對(dui)測量(liang)值影(ying)響的(de)基礎(chu)上制(zhi)定儀(yi)表信(xin)号處(chu)理方(fang)案。這(zhe)種解(jie)決不(bu)正常(chang)流動(dong)特性(xing)的方(fang)法有(you)以下(xia)特點(dian)🍓:
(l)氣體(ti)超聲(sheng)流量(liang)計檢(jian)測件(jian)是一(yi)段無(wu)阻礙(ai)物的(de)圓管(guan),與孔(kong)闆流(liu)量計(ji)中有(you)節流(liu)件阻(zu)礙相(xiang)比對(dui)流動(dong)特性(xing)的影(ying)響較(jiao)易分(fen)析。由(you)👉于檢(jian)測件(jian)形狀(zhuang)的特(te)殊性(xing),而超(chao)聲流(liu)量🚶‍♀️計(ji)的檢(jian)測件(jian)是🔆一(yi)段圓(yuan)管,在(zai)流體(ti)力學(xue)專業(ye)資料(liao)中可(ke)以找(zhao)到許(xu)🔞多參(can)考資(zi)🚩料,因(yin)此二(er)者處(chu)理此(ci)問題(ti)所依(yi)靠的(de)背景(jing)資料(liao)有很(hen)大差(cha)别。
(2)氣(qi)體超(chao)聲流(liu)量計(ji)處理(li)此問(wen)題是(shi)采取(qu)分析(xi)對象(xiang),制定(ding)檢測(ce)策略(lue)🚶的方(fang)法,孔(kong)闆流(liu)量計(ji)則進(jin)行一(yi)個個(ge)阻流(liu)件試(shi)驗💁,無(wu)論技(ji)術上(shang)或經(jing)濟上(shang)其效(xiao)率與(yu)效果(guo)都很(hen)不相(xiang)同,氣(qi)體超(chao)聲流(liu)☎️量計(ji)的🌈優(you)點是(shi)顯然(ran)的。
(3)目(mu)前發(fa)展多(duo)聲道(dao)檢測(ce)件隻(zhi)能在(zai)較大(da)口徑(jing)(DN150以上(shang))應🈲用(yong),今後(hou)中小(xiao)口徑(jing)如何(he)解決(jue)相信(xin)氣體(ti)超聲(sheng)流量(liang)計是(shi)會找(zhao)到解(jie)決辦(ban)法的(de)。
多聲(sheng)道氣(qi)體超(chao)聲波(bo)流量(liang)計工(gong)作原(yuan)理圖(tu)
  流量(liang)計的(de)幹校(xiao)一一(yi)儀表(biao)系數(shu)的偏(pian)離問(wen)題對(dui)于大(da)口徑(jing)(DN200以🚩上(shang))流量(liang)測量(liang)來說(shuo),流量(liang)計能(neng)否實(shi)行幹(gan)校(無(wu)💃需實(shi)流校(xiao)驗)是(shi)推廣(guang)應用(yong)的一(yi)個關(guan)鍵因(yin)素,某(mou)些情(qing)🍓況下(xia)甚至(zhi)是用(yong)戶采(cai)用與(yu)否的(de)決定(ding)性🔞因(yin)素。孔(kong)闆流(liu)量計(ji)借助(zhu)🧑🏽‍🤝‍🧑🏻國際(ji)上長(zhang)期的(de)試驗(yan)研究(jiu)及實(shi)踐經(jing)驗的(de)🔴總結(jie),早在(zai)30年代(dai)就開(kai)始實(shi)行儀(yi)表的(de)幹校(xiao),這是(shi)它獲(huo)😘得廣(guang)泛應(ying)用的(de)重要(yao)原因(yin)。氣體(ti)✊超聲(sheng)流量(liang)計若(ruo)要在(zai)天然(ran)氣工(gong)業輸(shu)配氣(qi)計量(liang)站得(de)到廣(guang)泛應(ying)用,幹(gan)校可(ke)能😄是(shi)一個(ge)必要(yao)條件(jian),一般(ban)來說(shuo)輸配(pei)氣🏃🏻計(ji)量站(zhan)管線(xian)都是(shi)中大(da)口徑(jing)的。
  幹(gan)校是(shi)儀表(biao)投用(yong)前确(que)定流(liu)量計(ji)儀表(biao)系數(shu)(或流(liu)出系(xi)數)的(de)一種(zhong)方法(fa),但是(shi)更重(zhong)要的(de)是幹(gan)校确(que)定的(de)儀表(biao)系數(shu)在🚶‍♀️現(xian)場🐕是(shi)否适(shi)用以(yi)及能(neng)否保(bao)持長(zhang)期穩(wen)定。
l孔(kong)闆流(liu)量計(ji)
  孔闆(pan)流量(liang)計幹(gan)校後(hou)在現(xian)場使(shi)用時(shi)其流(liu)出系(xi)數可(ke)能偏(pian)離标(biao)準值(zhi)的影(ying)響因(yin)素如(ru)表l所(suo)示。

由(you)表可(ke)見:
(l)結(jie)構的(de)偏離(li)有些(xie)是制(zhi)造時(shi)産生(sheng)的,有(you)些則(ze)是在(zai)長期(qi)使用(yong)中由(you)于流(liu)體介(jie)質腐(fu)蝕、磨(mo)損、沽(gu)污等(deng)造成(cheng)的,後(hou)者是(shi)更難(nan)解決(jue)的📱問(wen)題☎️。
(2)管(guan)線布(bu)置的(de)偏離(li)是普(pu)遍性(xing)的,現(xian)場不(bu)能滿(man)足直(zhi)管🈲段(duan)長🏃🏻度(du)要求(qiu)配置(zhi)流動(dong)調整(zheng)器不(bu)是一(yi)個好(hao)辦法(fa),前面(mian)已談(tan)過,除(chu)此以(yi)外,隻(zhi)有增(zeng)大測(ce)量誤(wu)差了(le)。
(3)使用(yong)的偏(pian)離,現(xian)場情(qing)況千(qian)變萬(wan)化,很(hen)難維(wei)持實(shi)驗室(shi)的參(can)比工(gong)作🚶條(tiao)件,這(zhe)是現(xian)實情(qing)況。對(dui)于天(tian)然氣(qi)工業(ye)在原(yuan)料氣(qi)👣測量(liang)領域(yu)‼️(氣井(jing)到處(chu)理廠(chang)之間(jian)的天(tian)然氣(qi)),這一(yi)問題(ti)更爲(wei)突出(chu),孔闆(pan)流量(liang)計在(zai)此領(ling)域基(ji)本上(shang)是不(bu)适用(yong)的。
  我(wo)國制(zhi)定的(de)天然(ran)氣行(hang)業标(biao)準SY/T6143一(yi)1996《天然(ran)氣流(liu)量的(de)标準(zhun)孔闆(pan)計量(liang)方法(fa))中特(te)别增(zeng)加一(yi)個附(fu)錄(節(jie)流裝(zhuang)置在(zai)使用(yong)中出(chu)現🔞部(bu)分偏(pian)離标(biao)準規(gui)定的(de)處理(li)》說明(ming)天然(ran)氣從(cong)地層(ceng)中開(kai)采出(chu)來,雖(sui)經分(fen)離,除(chu)💞塵和(he)過濾(lü),因其(qi)所含(han)成份(fen)十分(fen)複雜(za),從單(dan)井計(ji)量,集(ji)氣計(ji)量到(dao)配氣(qi)計量(liang),氣質(zhi)組分(fen)各不(bu)相同(tong),所以(yi)節流(liu)裝置(zhi)在作(zuo)用🐆中(zhong)其沖(chong)刷、腐(fu)蝕亦(yi)各不(bu)相同(tong),特别(bie)對孔(kong)闆直(zhi)角人(ren)口邊(bian)緣和(he)測量(liang)管内(nei)壁的(de)沖刷(shua)腐蝕(shi)尤💯爲(wei)嚴重(zhong),因此(ci)在實(shi)際應(ying)用中(zhong)采取(qu)在流(liu)出系(xi)數中(zhong)增加(jia)二個(ge)修正(zheng)系數(shu),即孔(kong)闆人(ren)口尖(jian)銳度(du)修正(zheng)系數(shu)和管(guan)壁粗(cu)糙度(du)修🈚正(zheng)系數(shu)。這種(zhong)解決(jue)辦法(fa)實在(zai)是不(bu)得已(yi)而爲(wei)之,其(qi)效果(guo)并不(bu)理想(xiang)。
  孔闆(pan)流量(liang)計易(yi)于偏(pian)離标(biao)準的(de)原因(yin)應該(gai)從儀(yi)表本(ben)身的(de)工作(zuo)原🔅理(li)與結(jie)構特(te)點去(qu)尋找(zhao)。由于(yu)儀表(biao)特性(xing)取決(jue)于節(jie)流裝(zhuang)置的(de)幾何(he)形狀(zhuang)及尺(chi)寸,現(xian)場的(de)長期(qi)🈲應用(yong)難免(mian)不産(chan)生磨(mo)損、腐(fu)蝕和(he)💃🏻積垢(gou)等使(shi)幾何(he)形狀(zhuang)及尺(chi)寸改(gai)變的(de)情況(kuang),引壓(ya)管線(xian)是孔(kong)闆流(liu)量計(ji)易發(fa)生故(gu)障的(de)部件(jian),據統(tong)計由(you)于引(yin)壓管(guan)線堵(du)塞、洩(xie)漏、凍(dong)結等(deng)使信(xin)号✌️不(bu)正常(chang)約占(zhan)儀表(biao)🛀🏻故障(zhang)率的(de)70%,其他(ta)如不(bu)👅正常(chang)流動(dong)特性(xing)引起(qi)的測(ce)🌍量誤(wu)差隻(zhi)能采(cai)取一(yi)些消(xiao)極的(de)辦法(fa)解決(jue)。
氣體(ti)超聲(sheng)流量(liang)計
  氣(qi)體超(chao)聲流(liu)量計(ji)目前(qian)尚未(wei)普遍(bian)實行(hang)幹校(xiao),但從(cong)儀表(biao)工✏️作(zuo)🏃‍♂️原理(li)及結(jie)構上(shang)看實(shi)行幹(gan)校是(shi)可能(neng)的困(kun),隻是(shi)目前(qian)成熟(shu)程度(du)(幹樣(yang)的必(bi)要條(tiao)件)尚(shang)不能(neng)與孔(kong)闆流(liu)量計(ji)相比(bi),隻🌈要(yao)加強(qiang)理論(lun)探讨(tao)積累(lei)㊙️實踐(jian)經驗(yan),實行(hang)幹校(xiao)隻☎️是(shi)時間(jian)上的(de)問題(ti)。
以下(xia)我們(men)來探(tan)讨一(yi)下幹(gan)校後(hou)會不(bu)會出(chu)現與(yu)孔闆(pan)流量(liang)計一(yi)樣的(de)問題(ti),這是(shi)更爲(wei)重要(yao)的方(fang)面。
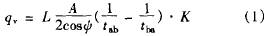
氣(qi)體超(chao)聲流(liu)量計(ji)的流(liu)量方(fang)程。

式(shi)中
qv—體(ti)積流(liu)量;
L—超(chao)聲波(bo)在流(liu)體中(zhong)的傳(chuan)播路(lu)徑長(zhang)度(聲(sheng)道長(zhang)度);
A—管(guan)道橫(heng)截面(mian)面積(ji);
Ψ—超聲(sheng)波傳(chuan)播方(fang)向與(yu)流體(ti)流向(xiang)之間(jian)的夾(jia)角(聲(sheng)道角(jiao));
tab—超聲(sheng)波從(cong)換能(neng)器a到(dao)換能(neng)器b的(de)傳播(bo)時間(jian);
t、—超聲(sheng)波從(cong)換能(neng)器b到(dao)換能(neng)器a的(de)傳播(bo)時間(jian);
K—儀表(biao)系數(shu)。
  由式(shi)(l)可見(jian),體積(ji)流量(liang)的測(ce)量準(zhun)确度(du)決定(ding)于3部(bu)分:時(shi)間差(cha),結構(gou)參🔞數(shu)L,A, Ψ等的(de)測量(liang)誤差(cha)和儀(yi)表系(xi)數K的(de)準确(que)度。
(l)與(yu)孔闆(pan)流量(liang)計相(xiang)比較(jiao),氣體(ti)超聲(sheng)流量(liang)計沒(mei)有如(ru)節流(liu)裝置(zhi)幾何(he)🌏形狀(zhuang)及尺(chi)寸變(bian)化影(ying)響儀(yi)表特(te)性的(de)問🌈題(ti),聲道(dao)長度(du),聲道(dao)角及(ji)管道(dao)橫截(jie)面面(mian)積是(shi)比較(jiao)恒定(ding)的參(can)㊙️數,亦(yi)沒有(you)引壓(ya)管線(xian)之類(lei)易引(yin)起故(gu)障的(de)部☔件(jian),根據(ju)現場(chang)條件(jian)确定(ding)儀表(biao)系數(shu)及維(wei)持長(zhang)期穩(wen)定是(shi)比較(jiao)可能(neng)的。
(2)解(jie)決速(su)度分(fen)布畸(ji)變與(yu)旋轉(zhuan)流的(de)方法(fa)與孔(kong)闆流(liu)量計(ji)不同(tong),沒有(you)阻流(liu)件對(dui)号人(ren)坐的(de)問題(ti),亦不(bu)采用(yong)會引(yin)起副(fu)作🈚用(yong)的🍓流(liu)動調(diao)整器(qi),它是(shi)從聲(sheng)道設(she)置方(fang)案🌏人(ren)手,更(geng)着重(zhong)于軟(ruan)測量(liang)♌方法(fa)解🌐決(jue)問題(ti),便于(yu)應付(fu)現場(chang)複雜(za)多變(bian)的條(tiao)件。
(3)對(dui)非定(ding)常流(liu)測量(liang),氣體(ti)超聲(sheng)流量(liang)計是(shi)完全(quan)适合(he)的,其(qi)原因(yin)由儀(yi)表工(gong)作原(yuan)理與(yu)結構(gou)所決(jue)定:①信(xin)号與(yu)流量(liang)(流速(su))爲線(xian)性關(guan)系;②檢(jian)測件(jian)内無(wu)阻礙(ai)物;③非(fei)接觸(chu)測量(liang);④測量(liang)采用(yong)高速(su)數字(zi)信号(hao)處理(li)技術(shu)。這些(xie)特點(dian)使它(ta)可以(yi)快速(su)響應(ying)流體(ti)流動(dong)的動(dong)态變(bian)化。
其(qi)他儀(yi)表性(xing)能的(de)比較(jiao)
1範圍(wei)度
  孔(kong)闆流(liu)量計(ji)範圍(wei)度窄(zhai)(約爲(wei)3:1一4:1),近(jin)年來(lai)雖從(cong)多方(fang)面采(cai)取措(cuo)施拓(tuo)寬其(qi)範圍(wei)度,如(ru)采用(yong)寬量(liang)程差(cha)壓變(bian)送器(qi),多台(tai)差壓(ya)變送(song)器并(bing)聯使(shi)用,采(cai)用可(ke)換孔(kong)闆節(jie)流裝(zhuang)置以(yi)及智(zhi)能流(liu)量顯(xian)示儀(yi)等等(deng),但與(yu)🈲氣體(ti)超聲(sheng)流量(liang)計相(xiang)比未(wei)免遜(xun)色🐕。氣(qi)體超(chao)聲流(liu)量計(ji)範圍(wei)度可(ke)達⭕40:1(DN150)一(yi)160:l(DN75O),在實(shi)際使(shi)用中(zhong)流量(liang)計⁉️可(ke)測流(liu)量(流(liu)速)下(xia)限值(zhi)是🍓一(yi)個更(geng)重要(yao)的🐇指(zhi)标,我(wo)國大(da)口🌈徑(jing)氣體(ti)管道(dao)系🚶‍♀️統(tong)普遍(bian)運行(hang)低流(liu)速範(fan)圍(流(liu)速上(shang)限值(zhi)僅5m/s,或(huo)更低(di)),使得(de)流量(liang)計選(xuan)型困(kun)難。氣(qi)體超(chao)聲流(liu)量計(ji)下限(xian)流✨速(su)偏差(cha)如表(biao)2所示(shi)。
  如管(guan)徑爲(wei)DN125時,測(ce)量誤(wu)差爲(wei)1%,則下(xia)限流(liu)速可(ke)達:Umin=100×5=500mm/s =0.5 m/s;管(guan)徑爲(wei)🆚DN1600時,測(ce)量誤(wu)差爲(wei)l%,則下(xia)限流(liu)速可(ke)達:Umin =l00×0.4=40mm/s=0.04m/s.

  據(ju)資料(liao)介紹(shao),在天(tian)然氣(qi)輸配(pei)氣計(ji)量站(zhan)中,一(yi)座用(yong)孔闆(pan)流量(liang)計做(zuo)爲計(ji)量儀(yi)表的(de)計量(liang)站,爲(wei)滿足(zu)範圍(wei)度⛱️的(de)要求(qiu),需🚶‍♀️設(she)置4條(tiao)DN400mm管線(xian),如采(cai)用氣(qi)體超(chao)聲流(liu)量計(ji)則隻(zhi)需設(she)置2條(tiao)DN600mm管線(xian)或一(yi)條ND700mm管(guan)線,這(zhe)樣采(cai)用氣(qi)體超(chao)聲流(liu)量計(ji)可🤞節(jie)省一(yi)次性(xing)投資(zi)10一40%,節(jie)省占(zhan)地空(kong)間50一(yi)75%,并且(qie)精度(du)更高(gao),工作(zuo)更穩(wen)定,維(wei)護量(liang)更少(shao)。
2壓力(li)損失(shi)
  孔闆(pan)流量(liang)計以(yi)壓損(sun)大著(zhe)稱,而(er)氣體(ti)超聲(sheng)流量(liang)計恰(qia)是無(wu)壓💰損(sun)(僅相(xiang)當于(yu)一段(duan)管道(dao))儀表(biao),對于(yu)大口(kou)徑,這(zhe)個特(te)點很(hen)重要(yao),它可(ke)以節(jie)約能(neng)耗或(huo)适用(yong)于低(di)靜壓(ya)氣體(ti)管道(dao)系統(tong)的測(ce)量。
3儀(yi)表造(zao)價
  對(dui)于孔(kong)闆流(liu)量計(ji)随着(zhe)口徑(jing)增大(da),檢測(ce)件造(zao)價及(ji)安🌈裝(zhuang)成本(ben)大幅(fu)度提(ti)高,而(er)氣體(ti)超聲(sheng)流量(liang)計的(de)檢測(ce)件制(zhi)造成(cheng)本與(yu)口徑(jing)大小(xiao)的關(guan)系僅(jin)相當(dang)于管(guan)道價(jia)值的(de)增加(jia),因此(ci)它是(shi)一種(zhong)特别(bie)适用(yong)于大(da)口徑(jing)的儀(yi)表。
4使(shi)用維(wei)護
  孔(kong)闆流(liu)量計(ji)由3部(bu)分組(zu)成:節(jie)流裝(zhuang)置、 差(cha)壓變(bian)送器(qi) 和流(liu)量顯(xian)示儀(yi)。在現(xian)場惡(e)劣工(gong)作條(tiao)件作(zuo)用下(xia)節流(liu)裝置(zhi)👄與差(cha)壓變(bian)送器(qi)及其(qi)連接(jie)部分(fen)引壓(ya)管線(xian)是使(shi)用維(wei)護的(de)☔重點(dian)❗,天然(ran)氣輸(shu)配氣(qi)計量(liang)站爲(wei)經常(chang)檢查(cha)孔闆(pan)的質(zhi)量,常(chang)增設(she)旁路(lu)管或(huo)采用(yong)價格(ge)昂貴(gui)的可(ke)換孔(kong)闆節(jie)流裝(zhuang)置,這(zhe)些都(dou)使儀(yi)表及(ji)其輔(fu)助設(she)備造(zao)🈚價增(zeng)加,也(ye)增♻️加(jia)了維(wei)護工(gong)作量(liang)。氣體(ti)超聲(sheng)流量(liang)計檢(jian)🏃‍♂️測件(jian)比較(jiao)牢固(gu),維護(hu)工作(zuo)量少(shao),甚至(zhi)可做(zuo)成插(cha)人式(shi)探頭(tou),在不(bu)💞斷流(liu)情況(kuang)下取(qu)出維(wei)修。
  氣(qi)體超(chao)聲流(liu)量計(ji)與孔(kong)闆流(liu)量計(ji)在天(tian)然氣(qi)工業(ye)中的(de)應用(yong)進行(hang)💋一些(xie)比較(jiao),由上(shang)述可(ke)見,在(zai)大口(kou)徑測(ce)量方(fang)面,氣(qi)體超(chao)聲流(liu)量🌂計(ji)無疑(yi)更爲(wei)優越(yue)。孔闆(pan)流量(liang)計畢(bi)竟已(yi)經發(fa)展數(shu)十年(nian)至上(shang)百年(nian)曆史(shi),全世(shi)界流(liu)量工(gong)作者(zhe)都對(dui)它進(jin)行過(guo)巨大(da)的理(li)論與(yu)實踐(jian)工作(zuo),取🍉得(de)極爲(wei)豐富(fu)的經(jing)驗,相(xiang)比之(zhi)下,氣(qi)體超(chao)聲流(liu)量計(ji)僅🔆剛(gang)嶄露(lu)頭角(jiao),尚需(xu)通過(guo)實踐(jian)走向(xiang)成熟(shu),至于(yu)中🤟小(xiao)口徑(jing)方面(mian),需作(zuo)更多(duo)的工(gong)作⭐。

以(yi)上内(nei)容源(yuan)于網(wang)絡,如(ru)有侵(qin)權聯(lian)系即(ji)删除(chu)!

下篇(pian)文章(zhang): 一種(zhong)對稱(cheng)多孔(kong)孔闆(pan)差壓(ya)式流(liu)量計(ji)設計(ji) 上篇(pian)文章(zhang) 氣體(ti)渦輪(lun)流量(liang)計精(jing)度探(tan)讨
 
江(jiang)蘇省(sheng)速惠自动化制造有限公司是一(yi)家專(zhuan)業提(ti)供 渦(wo)街流(liu)量計(ji) 渦輪(lun)流量(liang)計 電(dian)磁流(liu)量計(ji) 的企(qi)業,公(gong)司将(jiang)以優(you)質的(de)服務(wu)優惠(hui)的價(jia)格,服(fu)務新(xin)老客(ke)戶。
 版(ban)權所(suo)有:江(jiang)蘇省(sheng)速惠自动化制造有限公司       技術(shu)支持(chi)易品(pin)網絡(luo)

·
·