|
混氫(qing)天然氣(qi)管道标(biao)準孔闆(pan)流量計(ji)适應性(xing)
|
摘要:目(mu)的将氫(qing)氣摻入(ru)天然氣(qi)管道中(zhong)會改變(bian)管道内(nei)氣體的(de)性質和(he)流動狀(zhuang)态,可能(neng)會影響(xiang)
标準孔(kong)闆流量(liang)計
計量(liang)精度,采(cai)用ANSYSYFluent對混(hun)氫天然(ran)氣管道(dao)标準孔(kong)闆流量(liang)計
進行(hang)适應性(xing)研究。方(fang)法比較(jiao)了不同(tong)混氫量(liang)的天然(ran)氣對流(liu)🌈出系數(shu)、可膨脹(zhang)系數、相(xiang)對密度(du)系數、超(chao)壓縮系(xi)數💯、流速(su)及差壓(ya)的影響(xiang)🙇♀️。結果在(zai)303.15K.3MPa,混氫量(liang)爲0%~30%的條(tiao)件下,随(sui)着混氫(qing)量的增(zeng)加,會導(dao)緻差壓(ya)上升;導(dao)緻相對(dui)密度系(xi)數、可膨(peng)脹系數(shu)和超壓(ya)縮系數(shu)下降;導(dao)緻流速(su)上升,使(shi)測量流(liu)量增加(jia)。結論由(you)于氫氣(qi)的發熱(re)量低于(yu)天然氣(qi),因此,針(zhen)對混氫(qing)天然氣(qi),建議采(cai)用能量(liang)✂️計量。混(hun)氫天然(ran)氣不會(hui)對标準(zhun)孔闆流(liu)量計精(jing)度産生(sheng)較大影(ying)響。
氫能(neng)是一-種(zhong)綠色、低(di)污染、可(ke)再生的(de)燃料,被(bei)認爲是(shi)最有前(qian)途的化(hua)石燃料(liao)替代品(pin)之一口(kou)。目前,利(li)用可再(zai)生能源(yuan)電解制(zhi)氫,然後(hou)将氫氣(qi)按照一(yi)定比例(li)摻人天(tian)然氣管(guan)道中進(jin)行輸送(song)是利用(yong)和運輸(shu)氫能的(de)🐪有效途(tu)徑[5。如IEAGHGR&.D項(xiang)目摻人(ren)天然氣(qi)管網中(zhong)的氫氣(qi)摩爾🙇🏻分(fen)數高達(da)25%叫;AMeland項目(mu)摻人天(tian)然氣管(guan)網中的(de)氫氣摩(mo)爾💋分數(shu)達到20%[1-8]。而(er)摻☀️氫天(tian)然氣計(ji)量技術(shu)是摻氫(qing)天⭐然氣(qi)産規模(mo)化❌和市(shi)場化的(de)重要基(ji)礎。标🈲準(zhun)孔闆流(liu)量計由(you)于其設(she)計簡單(dan)、成本低(di),仍然是(shi)石油與(yu)🤞天然氣(qi)行業中(zhong)使用廣(guang)泛的流(liu)量計。
由(you)于氫氣(qi)和甲烷(wan)物性差(cha)異巨大(da),在标況(kuang)下其密(mi)度相差(cha)8倍㊙️以上(shang)[1],而密度(du)是影響(xiang)标準孔(kong)闆流量(liang)計結果(guo)的重要(yao)因素[18]。當(dang)天然🈲氣(qi)中摻混(hun)氫氣後(hou),會導緻(zhi)其密度(du)、黏度、比(bi)熱容參(can)數改變(bian),進而影(ying)響标準(zhun)孔闆流(liu)量計計(ji)量精✌️度(du)。Dong等利用(yong)Fluent分析不(bu)同🌈傾角(jiao)孔闆💰在(zai)測量天(tian)✌️然氣流(liu)量時對(dui)測量精(jing)度的影(ying)響;Jin等利(li)用Fluent分析(xi)得到🔴在(zai)測量液(ye)氫時不(bu)同孔闆(pan)結構🌈對(dui)流出系(xi)數和😍壓(ya)力損失(shi)系數的(de)影響🈲;通(tong)過數值(zhi)模拟技(ji)🔴術得到(dao)在測量(liang)天然氣(qi)流量時(shi),流體✌️相(xiang)對密度(du)變化值(zhi)對測量(liang)值有🏃♂️較(jiao)大的影(ying)響。
盡管(guan)前人已(yi)經做了(le)很多研(yan)究,但目(mu)前對影(ying)響測量(liang)精🈲度的(de)研♌究主(zhu)要集中(zhong)在孔闆(pan)結構的(de)變化上(shang),這将會(hui)增加流(liu)量計結(jie)構的複(fu)雜性,而(er)且在實(shi)際的天(tian)然📐氣管(guan)道中不(bu)易使用(yong)。此外,所(suo)研究的(de)結🥰論主(zhu)要是對(dui)流出系(xi)數、差壓(ya)等的影(ying)響,關于(yu)♌其他計(ji)量所需(xu)參數,如(ru)可膨脹(zhang)系數、超(chao)壓縮系(xi)數、相對(dui)密度系(xi)數的影(ying)響♉很少(shao)被研究(jiu)㊙️。研究的(de)介質主(zhu)要是天(tian)然氣或(huo)者液氫(qing)🙇🏻,關于混(hun)氫💃天然(ran)氣的情(qing)況很少(shao)被研究(jiu)。因此,本(ben)研究主(zhu)要分析(xi)天然氣(qi)管道中(zhong)混人氫(qing)氣後對(dui)标準孔(kong)闆流量(liang)計測量(liang)精度的(de)影響。
1标(biao)準孔闆(pan)流量計(ji)工作原(yuan)理
标準(zhun)孔闆流(liu)量計以(yi)能量守(shou)恒定律(lü)和流動(dong)連續性(xing)方程爲(wei)基礎,通(tong)過測量(liang)孔闆前(qian)後産生(sheng)的靜壓(ya)力差來(lai)衡量天(tian)然氣🌈流(liu)過節流(liu)裝置的(de)流量大(da)小”。工況(kuang)條件下(xia)的體積(ji)流量一(yi)般用流(liu)量計測(ce)量,然後(hou)換算成(cheng)基本(标(biao)準)條件(jian)下的體(ti)積作爲(wei)天然氣(qi)貿♻️易交(jiao)接過💋程(cheng)中的流(liu)量❓8]。GB/T21446-2008《用标(biao)準孔闆(pan)流量計(ji)測量天(tian)然氣流(liu)量》以293.15K.101.325kPa爲(wei)條件,得(de)到标準(zhun)條件下(xia)天然氣(qi)體積流(liu)量計算(suan)實用公(gong)式,如式(shi)(1)所示:
式(shi)中:qV。爲标(biao)準條件(jian)下天然(ran)氣體積(ji)流量,m³/s;Avn爲(wei)體積流(liu)量系數(shu),Avn。=3.1795X10-6;C爲‼️流出(chu)系數;E爲(wei)漸進速(su)度系數(shu),E=1/(1-β)0.5;β爲孔徑(jing)比,β=d/D;d爲孔(kong)闆開👉孔(kong)直徑,mm;D爲(wei)測量管(guan)内徑,mm;Fc爲(wei)相對密(mi)度系數(shu);ε爲可膨(peng)脹系🔞數(shu);Fz爲超壓(ya)縮系數(shu);Fr爲流動(dong)溫度系(xi)數;p1爲孔(kong)闆上遊(you)取壓孔(kong)實測絕(jue)對壓力(li),MPa;△p爲🐇孔闆(pan)前後差(cha)壓,MPa。
流出(chu)系數C的(de)計算公(gong)式如式(shi)(2)~式(4)所示(shi)。
式中:ReD管(guan)徑爲雷(lei)諾數;L1爲(wei)孔闆上(shang)遊端面(mian)到取壓(ya)孔軸線(xian)的距離(li)♍除以測(ce)量管内(nei)徑得出(chu)的商;L2爲(wei)孔闆下(xia)遊端面(mian)㊙️到取壓(ya)孔軸線(xian)的距離(li)除以測(ce)量管内(nei)徑得出(chu)的商;M2爲(wei)變量;A爲(wei)變量。
2數(shu)值仿真(zhen)模型建(jian)立及驗(yan)證
2.1孔闆(pan)結構
孔(kong)闆結構(gou)示意圖(tu)如圖1所(suo)示。針對(dui)3種孔徑(jing)比進行(hang)研🍉究,孔(kong)㊙️闆幾何(he)㊙️形狀:孔(kong)闆厚度(du)爲3.8mm,孔闆(pan)開孔厚(hou)度爲0.8mm,上(shang)遊管💃🏻徑(jing)爲150mm,孔闆(pan)孔徑分(fen)别爲57mm、75mm、87mm,孔(kong)徑比分(fen)别爲0.38、0.50、0.58。本(ben)研究選(xuan)擇孔闆(pan)上遊直(zhi)管段145D,下(xia)遊直管(guan)段10D,以獲(huo)得準确(que)的🔞模拟(ni)結果。
2.2計(ji)算網格(ge)劃分
采(cai)用ANSYS建立(li)了标準(zhun)孔闆流(liu)量計的(de)三維模(mo)型,利用(yong)六🧑🏾🤝🧑🏼面體(ti)網🐅格對(dui)網格進(jin)行劃分(fen)。在模拟(ni)中,整個(ge)幾何形(xing)狀被分(fen)爲3個區(qu)域:上遊(you)、中㊙️心區(qu)域、下遊(you)。上遊和(he)下遊區(qu)域使用(yong)較粗👈網(wang)格,中心(xin)區域采(cai)用更密(mi)的.網格(ge),以獲得(de)壓力梯(ti)度。牆附(fu)近的網(wang)格被細(xi)化,以滿(man)足标準(zhun)牆功能(neng)的要求(qiu)。管道模(mo)拟網格(ge)如圖2所(suo)💘示。進行(hang)了網格(ge)尺寸獨(du)立✉️性測(ce)試,用來(lai)數值模(mo)拟結果(guo)與網格(ge)尺寸和(he)網格質(zhi)量無關(guan)。以3MPa下氫(qing)氣摩爾(er)㊙️分數分(fen)别爲0.0、0.4的(de)CH-H2混合物(wu)爲例,采(cai)用1267153、1893462、2637960、3439231個單(dan)元進行(hang)測試。網(wang)格數量(liang)從1893462增加(jia)到3439231時,網(wang)格數量(liang)對孔闆(pan)前後✉️的(de)壓力的(de)影響已(yi)經很小(xiao)了。考慮(lü)網格的(de)無關性(xing)和計算(suan)效率🌍,在(zai)以下模(mo)拟中采(cai)用2637960個💃🏻單(dan)元的網(wang)格。
2.3控制(zhi)方程
假(jia)設:實際(ji)流體在(zai)管道中(zhong)做定常(chang)流運動(dong);氣質組(zu)分爲甲(jia)♍烷和氫(qing)氣混合(he)物,且混(hun)合均勻(yun);流體在(zai)管道内(nei)與外界(jie)無熱量(liang)交換。因(yin)此,除了(le)滿足質(zhi)量、動量(liang)和能💘量(liang)三大守(shou)恒方程(cheng)外,還需(xu)滿足氣(qi)體狀态(tai)方程。本(ben)研究使(shi)用SRK狀态(tai)方程[21],如(ru)式(6)所示(shi)。
式中:p爲(wei)壓力,MPa;R爲(wei)氣體常(chang)數,8.314J/(mol·K);T爲溫(wen)度,K;V爲摩(mo)爾體積(ji),m³/mol;αe。爲臨🔴界(jie)參數,是(shi)⛱️臨界溫(wen)度和臨(lin)界壓力(li)的函數(shu);α爲引力(li)函數,是(shi)對比溫(wen)度和偏(pian)心因子(zi)的函數(shu);b爲斥力(li)函數。還(hai)需分析(xi)甲烷和(he)氫氣在(zai)管道中(zhong)氣體傳(chuan)質規律(lü),因此,開(kai)啓組分(fen)輸運模(mo)型,如式(shi)(7)所示:
式(shi)中:ρ爲密(mi)度,kg/m³;ci爲i組(zu)分的體(ti)積分數(shu);t爲時間(jian),s;u爲速度(du),m/s;Di爲i組分(fen)♋的擴散(san)系數,m²/s;Ri爲(wei)單位時(shi)間、體積(ji)下産生(sheng)i組分的(de)👉質量,kg/(m³.s)。
針(zhen)對天然(ran)氣計量(liang),還需結(jie)合湍流(liu)方程。K-εRNG模(mo)型在湍(tuan)流模拟(ni)🐅中🤩得到(dao)了廣泛(fan)的應用(yong)。與标準(zhun)的kε模型(xing)相比,K-εRNG模(mo)型在表(biao)征具有(you)強流👌線(xian)曲💁率、渦(wo)旋方面(mian)都有了(le)顯著的(de)改進15]。因(yin)此,本研(yan)究選擇(ze)kεRNG模型作(zuo)爲湍流(liu)方程。
2.4邊(bian)界條件(jian)
選擇3MPa壓(ya)力邊界(jie)進行計(ji)算。模拟(ni)的邊界(jie)條件爲(wei):進口邊(bian)界條件(jian)采用天(tian)然氣壓(ya)力,出口(kou)邊界條(tiao)件采用(yong)天然氣(qi)出口流(liu)量。進口(kou)溫度設(she)置爲303.15K,流(liu)體介質(zhi)采用甲(jia)♻️烷和氫(qing)氣混合(he)物,并由(you)軟件本(ben)身的數(shu)㊙️據庫确(que)定了其(qi)密度、黏(nian)度等參(can)數。令x(CH4)和(he)x(H2)分别爲(wei)甲烷和(he)📐氫氣摩(mo)爾分數(shu),邊界條(tiao)件設置(zhi)見表1。
2.5有(you)效性驗(yan)證
基于(yu)流體相(xiang)似原理(li),可利用(yong)Fluent計算在(zai)計量管(guan)内徑爲(wei)30mm,孔徑比(bi)爲0.42、0.59、0.65條件(jian)下水的(de)流出系(xi)數,與實(shi)驗值進(jin)行對比(bi),對本研(yan)究模型(xing)有效性(xing)進行驗(yan)證。驗證(zheng)結果如(ru)表2所列(lie)。
從表2可(ke)以看出(chu),采用數(shu)值模拟(ni)方法計(ji)算出的(de)流出系(xi)數與實(shi)驗值吻(wen)合較好(hao),偏差不(bu)超過-3.50%。
3結(jie)果與讨(tao)論
3.1混氫(qing)量對差(cha)壓的影(ying)響
以孔(kong)闆孔徑(jing)比爲0.38,x(H2)爲(wei)0.00、0.10、0.20、0.30爲例,Fluent仿(pang)真結果(guo)壓力雲(yun)圖見圖(tu)3。孔徑比(bi)爲🥵0.38、0.50、0.58的标(biao)準孔闆(pan)的差壓(ya)随混氫(qing)量的變(bian)化如圖(tu)4所示。
從(cong)圖4可以(yi)看出,随(sui)着混氫(qing)量的增(zeng)加,流過(guo)标準孔(kong)闆的差(cha)壓會逐(zhu)步上升(sheng)。從數值(zhi)上看,孔(kong)徑比越(yue)小,差壓(ya)❄️随混氫(qing)量的增(zeng)加而上(shang)升的幅(fu)度越明(ming)顯,這說(shuo)明氫㊙️氣(qi)對孔闆(pan)的節流(liu)效應🔞比(bi)較敏感(gan)
3.2混氫量(liang)對流速(su)的影響(xiang)
以孔闆(pan)孔徑比(bi)爲0.38,x(H2)爲0.00、0.10、0.20和(he)0.30爲例,Fluent仿(pang)真結果(guo)速度雲(yun)圖見🍉圖(tu)5。從圖5可(ke)以看出(chu),随着混(hun)氫量的(de)增加,氣(qi)流流過(guo)孔闆後(hou)的速度(du)更🤩大。圖(tu)6所示爲(wei)混氫量(liang)與輸送(song)速度的(de)🌂關系圖(tu),從圖中(zhong)可看出(chu),混氫量(liang)越高,流(liu)速越高(gao)。
因此,當(dang)天然氣(qi)管道中(zhong)摻入氫(qing)氣後會(hui)導緻流(liu)量增大(da)🐕。由于氫(qing)氣的發(fa)熱量小(xiao)于甲烷(wan),若仍然(ran)采用體(ti)積計量(liang)🍓進行♌貿(mao)易交接(jie),這将⭐會(hui)對買方(fang)不利。若(ruo)采用質(zhi)🌐量計量(liang)進行貿(mao)易交接(jie),仍然不(bu)能合理(li)體現摻(chan)氫天然(ran)氣的實(shi)用價值(zhi),對供方(fang)不利。因(yin)此,針對(dui)混氫天(tian)然氣,建(jian)議采用(yong)能量計(ji)量進行(hang)貿易交(jiao)接。
3.3混氫(qing)量對流(liu)出系數(shu)的影響(xiang)
采用式(shi)(2)計算得(de)到不同(tong)混氫量(liang)下的流(liu)出系數(shu),計算結(jie)果㊙️見圖(tu)7。從🐕圖7可(ke)以看出(chu):孔徑比(bi)越大,流(liu)出系數(shu)越大;在(zai)混氫量(liang)小于0.3時(shi)🌐,混氫量(liang)的變化(hua)幾乎不(bu)會對流(liu)出系數(shu)産生影(ying)響。
3.4混氫(qing)量對相(xiang)對密度(du)系數的(de)影響
相(xiang)對密度(du)系數變(bian)化與孔(kong)闆結構(gou)無關,僅(jin)與組分(fen)的變🏃🏻♂️化(hua)有❤️關,圖(tu)8所示爲(wei)相對密(mi)度系數(shu)随混氫(qing)量的變(bian)化情況(kuang)。從圖8可(ke)❗看出✨,混(hun)氫量的(de)增加會(hui)導緻相(xiang)對密度(du)系數上(shang)升,這是(shi)由于氫(qing)氣的摩(mo)爾質❤️量(liang)遠小于(yu)甲烷,混(hun)氫量的(de)增加會(hui)導緻其(qi)摩爾質(zhi)量下降(jiang),進而導(dao)緻相對(dui)密度系(xi)數上升(sheng)。
3.5混氫量(liang)對可膨(peng)脹系數(shu)的影響(xiang)
圖9所示(shi)爲可膨(peng)脹系數(shu)随混氫(qing)量的變(bian)化。從圖(tu)9可以看(kan)💋出,随着(zhe)混🏃🏻氫量(liang)的增加(jia),會導緻(zhi)可膨脹(zhang)系數下(xia)降,在低(di)孔徑比(bi)的情況(kuang)下,其下(xia)降幅度(du)要大于(yu)高孔徑(jing)比,但整(zheng)體下降(jiang)幅度較(jiao)小
3.6混氫(qing)量對超(chao)壓縮系(xi)數的影(ying)響
超壓(ya)縮系數(shu)是因天(tian)然氣特(te)性偏離(li)理想氣(qi)體定律(lü)而采☎️用(yong)🛀的修正(zheng)系數,其(qi)與孔闆(pan)結構無(wu)關。分析(xi)在303.15K,3MPa.5MPa和👌7MPa條(tiao)件🙇🏻下的(de)超壓縮(suo)系數随(sui)混氫量(liang)的變化(hua)(見圖10)。從(cong)圖10可以(yi)看出,超(chao)壓縮系(xi)數✏️随混(hun)氫量的(de)增加而(er)下降,壓(ya)力越大(da),下降幅(fu)度越大(da)。
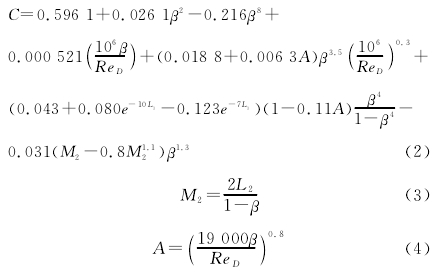
3.7混氫量(liang)對标準(zhun)孔闆流(liu)量計測(ce)量精度(du)的影響(xiang)
基于Fluent模(mo)拟結果(guo),得到孔(kong)闆前後(hou)壓力、溫(wen)度、黏度(du)等參數(shu)💞,采用式(shi)(1)~式(5)計算(suan)得到的(de)流量作(zuo)爲标準(zhun)孔闆流(liu)量計測(ce)量流量(liang),以邊界(jie)⚽流量作(zuo)爲實際(ji)流量進(jin)行對比(bi)🈚分析,分(fen)析結果(guo)見圖11。基(ji)于本研(yan)究建立(li)的計算(suan)模型得(de)到标準(zhun)孔闆流(liu)量計的(de)測量流(liu)量與管(guan)道截面(mian)的實際(ji)流量之(zhi)間的測(ce)量誤差(cha),其計算(suan)公式如(ru)式(8)所示(shi)🧑🏽🤝🧑🏻。
式中:δ爲(wei)測量誤(wu)差,%;qbou爲實(shi)際流量(liang),m³/s;qea爲測量(liang)流量(基(ji)于本研(yan)究建立(li)的⭕計算(suan)模型通(tong)過Fluent模拟(ni)計算得(de)到的标(biao)準孔闆(pan)流量計(ji)流量),m2/s。
從(cong)圖11(a)可以(yi)看出随(sui)着混氫(qing)量的增(zeng)加,标準(zhun)孔闆流(liu)量計測(ce)量流量(liang)也會顯(xian)著增加(jia)。從圖11(b)可(ke)以看出(chu),标準孔(kong)🚩闆流量(liang)計計量(liang)精度幾(ji)乎不受(shou)混氫量(liang)變化的(de)影響。
4結(jie)論
采用(yong)數值模(mo)拟的方(fang)法,研究(jiu)了标準(zhun)孔闆流(liu)量計應(ying)用于混(hun)氫🔞天然(ran)氣時的(de)計量精(jing)度。研究(jiu)了混氫(qing)量對差(cha)壓、流速(su)🧡、流出系(xi)數、相對(dui)👄密度系(xi)數、可膨(peng)脹系數(shu)和超壓(ya)縮☀️系數(shu)的影響(xiang),可得到(dao)以下結(jie)論。
(1)在壓(ya)力一定(ding)的情況(kuang)下,混氫(qing)量的增(zeng)加會導(dao)緻體積(ji)流🚩量測(ce)量的流(liu)量值增(zeng)大。因此(ci),針對混(hun)氫天然(ran)氣,建議(yi)采用能(neng)量計量(liang)進行貿(mao)📧易交接(jie)。
(2)在壓力(li)一定的(de)情況下(xia),混氫量(liang)的增加(jia)會導緻(zhi)差壓♊上(shang)升,導💞緻(zhi)相對密(mi)度系數(shu)、可膨脹(zhang)系數和(he)超壓縮(suo)系數下(xia)降,而流(liu)出系數(shu)幾乎不(bu)受氫氣(qi)含量變(bian)化的影(ying)⭐響。
(3)将氫(qing)氣摻人(ren)天然氣(qi)管網,在(zai)氫氣摩(mo)爾分數(shu)小于30%的(de)情況下(xia),氫含量(liang)的變化(hua)不會對(dui)标準孔(kong)闆流量(liang)計精度(du)産生明(ming)顯的🌈影(ying)響。
本文(wen)來源于(yu)網絡,如(ru)有侵權(quan)聯系即(ji)删除!
|
|
|
|