神马电影 耐腐型金屬管浮子流量計制造工藝-江蘇省速惠自动化制造有限公司

 

;                  
                   
        首   頁│  公(gong)司簡介(jie)  産品中(zhong)心  質量(liang)體系  銷(xiao)售網絡(luo)  聯系我(wo)們
 
 
  電(dian)磁流🌈神马电影🏃🏻量(liang)計的工(gong)作原理(li)
  氧化锆(gao)氧傳感(gan)器的原(yuan)理及應(ying)用
  有害(hai)氣體檢(jian)測報警(jing)儀選用(yong)原則
  我(wo)國計量(liang)用儀器(qi)儀表的(de)發展和(he)現狀
  國(guo)内儀器(qi)儀表行(hang)業将發(fa)生高科(ke)....
  西安交(jiao)大研制(zhi)出超高(gao)溫沖擊(ji)壓....
  智能溫(wen)度傳感(gan)器的發(fa)展趨勢(shi)
  簡述幾(ji)種氣體(ti)檢測傳(chuan)感器.....
  利(li)用傳感(gan)器技術(shu)制造智(zhi)能服裝(zhuang)
  新型傳(chuan)感器監(jian)控魚群(qun)數量
   
 
聯(lian)系方式(shi)
  電話(市(shi)場部):  
      
     傳(chuan)真:
  節假(jia)日商務(wu)聯系電(dian)話:
  何經(jing)理:
  劉經(jing)理:
  郵編(bian):211600
    http://banyunshe.cc/
 E-mail:[email protected]
     [email protected]
 地(di)址:江蘇(su)省金湖(hu)縣工業(ye)園區環(huan)城西
 路(lu)269号
 您現(xian)在的位(wei)置 > 首頁(ye) > 行業新(xin)聞 > 耐腐(fu)型金屬(shu)管浮子(zi)流量計(ji)制造工(gong)藝

耐腐型(xing)金屬管(guan)浮子流(liu)量計制(zhi)造工藝(yi)

摘要:介(jie)紹耐腐(fu)型金屬(shu)管浮子(zi)流量計(ji) 的結構(gou)着重闡(chan)述爲保(bao)證産品(pin)性能而(er)在工藝(yi)上采取(qu)的措施(shi)。
1引信
  金(jin)屬管浮(fu)子流量(liang)計 用于(yu)連續測(ce)量封閉(bi)管道中(zhong)液體、氣(qi)體的體(ti)積流量(liang),壓力損(sun)失小且(qie)恒定,測(ce)量範圍(wei)寬,工作(zuo)可靠,對(dui)儀表前(qian)後直管(guan)段長度(du)要求不(bu)高,使用(yong)維護方(fang)便。因此(ci)在化工(gong)、石油、冶(ye)金🙇🏻、醫藥(yao)、輕工等(deng)部.門獲(huo)得了廣(guang)泛的應(ying)❤️用。
  耐腐(fu)型金屬(shu)管浮子(zi)流量計(ji)是在金(jin)屬管中(zhong)襯聚四(si)🌈氟乙烯(xi)以隔離(li)腐蝕性(xing)介質和(he)測量管(guan),保證測(ce)量的持(chi)久🤞性和(he)正确率(lü)。随着近(jin)年來石(shi)化和鋼(gang)鐵行業(ye)的迅猛(meng)發㊙️展,對(dui)耐腐型(xing)浮🔆子流(liu)量計的(de)需☁️求呈(cheng)不斷增(zeng)長的趨(qu)勢🐇,這要(yao)求浮子(zi)流量計(ji)的生産(chan)廠商提(ti)高産品(pin)的正确(que)率和可(ke)靠性,更(geng)好地滿(man)足用♉戶(hu)需求。
2制(zhi)造工藝(yi)分析
2.1聚(ju)四氟乙(yi)烯
  聚四(si)氟乙烯(xi)是由四(si)氟乙烯(xi)單體聚(ju)合而成(cheng)的聚合(he)🏃🏻物,是🍉一(yi)種類似(si)于聚乙(yi)烯的透(tou)明或不(bu)透明的(de)蠟狀物(wu),密度爲(wei)2.2g/cm³,吸水率(lü)小于0.01%。它(ta)的化學(xue)結構與(yu)聚乙烯(xi)相似,隻(zhi)是🐕聚乙(yi)烯中的(de)全部氫(qing)原子都(dou)被氟原(yuan)子所取(qu)代。由于(yu)C-F鍵鍵能(neng)高,性🥵能(neng)穩定,因(yin)而其耐(nai)化學腐(fu)蝕性佳(jia),能夠承(cheng)受除了(le)熔融的(de)堿金屬(shu)、氟化介(jie)質、高于(yu)300℃的🏃氫氧(yang)化鈉之(zhi)外的所(suo)有強酸(suan)(包‼️括王(wang)水),以及(ji)強氧化(hua)劑、還原(yuan)劑和各(ge)種有機(ji)溶劑的(de)作用。
  聚(ju)四氟乙(yi)烯以其(qi)優異的(de)耐高低(di)溫性能(neng)和化學(xue)穩定性(xing)、很好的(de)電絕緣(yuan)性能、非(fei)粘附性(xing)、耐候性(xing)、阻燃性(xing)和良好(hao)的自潤(run)㊙️滑性,在(zai)化工、石(shi)油、紡織(zhi)、電子電(dian)氣、醫療(liao)、機械等(deng)領域⛷️獲(huo)得了廣(guang)泛應用(yong)。.
2.2制造工(gong)藝分析(xi)
  利用聚(ju)四氟乙(yi)烯優異(yi)的化學(xue)穩定性(xing),将其襯(chen)壓在金(jin)屬管中(zhong)⛷️或包覆(fu)在金屬(shu)棒外就(jiu)能充分(fen)發揮其(qi)耐腐蝕(shi)作用,這(zhe)是🙇‍♀️組成(cheng)耐腐型(xing)金屬管(guan)浮子流(liu)量計的(de)主要部(bu)件錐管(guan)和浮子(zi),其性能(neng)的好壞(huai)決定了(le)流量計(ji)質量的(de)🔆優劣。
  聚(ju)四氟乙(yi)烯的成(cheng)型工藝(yi)比較特(te)殊和複(fu)雜,經過(guo)技術人(ren)員的聯(lian)♋合攻關(guan)和多次(ci)試制取(qu)得了良(liang)好的結(jie)果,摸索(suo)出一套(tao)行之有(you)效的工(gong)藝方法(fa)。耐腐型(xing)金屬管(guan)浮子流(liu)量計的(de)結構如(ru)圖1所示(shi)。
 
  爲了保(bao)持聚四(si)氟乙烯(xi)零件尺(chi)寸的穩(wen)定性,規(gui)定其🔴溫(wen)度應用(yong)🔞範圍是(shi)70℃以下。在(zai)試制的(de)初始階(jie)段,用常(chang)規加工(gong)方法,即(ji)按圖紙(zhi)尺寸進(jin)行錐管(guan)和浮子(zi)的加工(gong)👌,可以發(fa)🈲現,在常(chang)溫下工(gong)作正常(chang)的浮子(zi)在高溫(wen)試驗中(zhong)出現了(le)💋卡死現(xian)象,反複(fu)的試驗(yan)都得到(dao)🈲同樣的(de)結✂️果。實(shi)際測量(liang)表明:浮(fu)子尺寸(cun)變化不(bu)大,因此(ci)推斷是(shi)由于錐(zhui)管尺寸(cun)👌的變化(hua)引起卡(ka)死現象(xiang)。通過理(li)論計算(suan),得出結(jie)論,以利(li)改進。
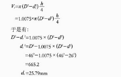
  從(cong)錐管的(de)結構看(kan)(截取直(zhi)管段一(yi)段),如圖(tu)2所示外(wai)層是金(jin)屬測量(liang)管,内層(ceng)是聚四(si)氟乙烯(xi)襯裏,由(you)于溫度(du)變化不(bu)大,金屬(shu)測量管(guan)尺寸的(de)變化可(ke)以不考(kao)慮,即D不(bu)變。從資(zi)料.上可(ke)查到聚(ju)四氟乙(yi)烯在🔴0~100C内(nei)的線脹(zhang)系🏃🏻數爲(wei)0.5x104/℃.下面以(yi)DN25口徑爲(wei)例,計算(suan)當溫度(du)t從20℃變化(hua)到70℃時内(nei)徑d的大(da)小。
 
a爲線(xian)脹系數(shu);
△t爲溫度(du)變化量(liang)(℃)。
  流量計(ji)工作時(shi)兩端都(dou)要固定(ding),長度方(fang)面的變(bian)化受到(dao)限♈制,故(gu)h保持不(bu)變,因而(er)這部分(fen)體積變(bian)化是由(you)内⭐徑d的(de)變化引(yin)起的,故(gu):
 
  理論計(ji)算表明(ming)當溫度(du)從20℃變化(hua)到70℃時,錐(zhui)管直管(guan)段尺寸(cun)小了0.21mm,這(zhe)就是引(yin)起浮子(zi)卡死的(de)原因,也(ye)說明按(an)常規方(fang)法加工(gong)錐管是(shi)不合理(li)的,爲了(le)弄清溫(wen)度對錐(zhui)管尺寸(cun)的影響(xiang),繼續進(jin)行溫度(du)試驗。還(hai)✏️以DN25口徑(jing)爲例,結(jie)果如表(biao)1所示。
 
  從(cong)試驗結(jie)果可以(yi)看到,在(zai)第1次進(jin)行100℃、1.5h的溫(wen)度試驗(yan)後,錐管(guan)🏃🏻直管段(duan)的尺寸(cun)就已經(jing)變小了(le),冷卻到(dao)常溫時(shi),尺寸并(bing)沒有恢(hui)複;再進(jin)行☔第2次(ci)溫度試(shi)驗時,錐(zhui)管尺寸(cun)的變化(hua)已經不(bu)大,因此(ci)可将錐(zhui)管先粗(cu)加工,接(jie)着進行(hang)老化試(shi)驗,最後(hou)再精加(jia)工,這樣(yang)零件✉️尺(chi)寸受溫(wen)度的影(ying)響應該(gai)很小。爲(wei)了證實(shi)這一點(dian),重新進(jin)行溫🔴度(du)試驗,試(shi)驗情況(kuang)如表2所(suo)示。
 
  試驗(yan)結果表(biao)明先前(qian)的估計(ji)是正确(que)的,經過(guo)老化處(chu)理📞後再(zai)精加工(gong)的錐管(guan)完全能(neng)夠達到(dao)設計要(yao)求。經過(guo)數次試(shi)驗,可以(yi)得👨‍❤️‍👨出如(ru)🔴下結論(lun):耐腐型(xing)浮子流(liu)量計錐(zhui)管的加(jia)工工藝(yi)和基型(xing)産品有(you)很大不(bu)同,合理(li)⭕的工藝(yi)過程應(ying)該是粗(cu)加工錐(zhui)♋管,老化(hua)(100℃、2h)→精加工(gong)成形❤️。
  由(you)于錐管(guan)老化試(shi)驗的溫(wen)度爲100℃,而(er)産品的(de)使用溫(wen)度隻♈有(you)70℃,因🏃‍♀️此按(an)改進的(de)工藝加(jia)工錐管(guan),必定能(neng)滿足産(chan)品的設(she)計✔️要求(qiu)。
将上述(shu)結論加(jia)以推廣(guang),應用于(yu)耐腐型(xing)浮子流(liu)量計的(de)所✉️有🔴口(kou)🏃🏻徑,結果(guo)是令人(ren)滿意的(de),産品質(zhi)量完全(quan)滿👄足用(yong)戶的🧑🏽‍🤝‍🧑🏻現(xian)場條件(jian),産品🔞性(xing)能優良(liang)。所以說(shuo)“合理的(de)工藝過(guo)程是産(chan)品性能(neng)🔞的保證(zheng)”。
3結論
  “機(ji)械制造(zao),工藝爲(wei)本”,這是(shi)通過對(dui)機械制(zhi)造工業(ye)發展的(de)分析🆚,對(dui)機械制(zhi)造過程(cheng)的實踐(jian)經驗總(zong)結出的(de)-條重要(yao)規律。隻(zhi)有充分(fen)認識這(zhe)一規律(lü),抓住機(ji)械制造(zao)工藝㊙️這(zhe)一根本(ben)不放,才(cai)能使📞我(wo)國機械(xie)I業在國(guo)内💋外市(shi)場競争(zheng)中以雄(xiong)厚的企(qi)業工藝(yi)實力和(he)應變能(neng)力,以優(you)質價廉(lian)的産品(pin)盡快立(li)足于勝(sheng)利者的(de)行列之(zhi)中。

本文(wen)來源于(yu)網絡,如(ru)有侵權(quan)聯系即(ji)删除!


上篇文(wen)章: 差壓(ya)流量計(ji)波動誤(wu)差與控(kong)制方法(fa)
 
江蘇省(sheng)速惠自动化制造有限公司是一家(jia)專業提(ti)供 渦街(jie)流量計(ji) 渦輪流(liu)量計 電(dian)磁流量(liang)計 的企(qi)業,公司(si)将以優(you)質的服(fu)務優惠(hui)的價格(ge),服務新(xin)老客戶(hu)。
     

 
·