内射干少妇亚洲69XXX 多種流量計在隧洞排水中應用-江蘇省速惠自动化制造有限公司

 

;                
                 
        首(shou)   頁│  公司簡(jian)介  産品中(zhong)心  質量體(ti)系  銷售網(wang)絡  聯系我(wo)們
氧化(hua)锆氧傳感(gan)器的原理(li)及應用
  有(you)害氣體檢(jian)測報警儀(yi)選用原則(ze)
  我國計量(liang)用儀器儀(yi)表的發展(zhan)和現狀
  國(guo)内儀器儀(yi)表行業将(jiang)發生高科(ke)....
  西安交大(da)研制出超(chao)高溫沖擊(ji)壓....
  采用半(ban)導體精密(mi)溫度傳感(gan)......
  智能溫度(du)傳感器的(de)發展趨勢(shi)
  簡述幾種(zhong)氣體檢測(ce)傳感器.....
  利(li)用傳感器(qi)技術制造(zao)智能服裝(zhuang)
  新型傳感(gan)器監控魚(yu)群數量
   
 
      
      
   (拓展部):
     傳(chuan)真:
  郵編:211600
    http://banyunshe.cc/
 E-mail:[email protected]
     [email protected]
 地址:江蘇(su)省金湖縣(xian)工業園區(qu)環城西
 路(lu)269号
 您現在(zai)的位置 > 首(shou)頁 > 行業新(xin)聞 > 多種流(liu)量計在隧(sui)洞排水中(zhong)應用
  時間(jian):2023-7-31 08:41:00

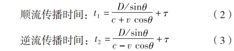
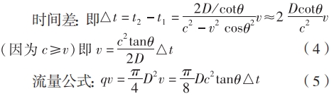
多種流量(liang)計在隧洞(dong)排水中應(ying)用

 
江蘇省(sheng)速惠自动化制造有限公司是一家專(zhuan)業提供 渦(wo)街流量計(ji) 渦輪流量(liang)計 電磁流(liu)量計 的企(qi)業,公司将(jiang)以優質的(de)服務優惠(hui)的價格,服(fu)務新老客(ke)戶。
 版權所(suo)有:江蘇省(sheng)速惠自动化制造有限公司     技術支持(chi)易品網絡(luo)

·
·
 
·
 
·
·