摘要:在國(guo)内某海域(yu)油氣構造(zao)評價延長(zhang)測試項目(mu)中,首次💋采(cai)用γ源多相(xiang)流量計
進(jin)行單井計(ji)量。爲了有(you)效提高在(zai)延長測試(shi)中流量計(ji)的測☀️量精(jing)度,研究了(le)γ源多相流(liu)量計的計(ji)量原理,分(fen)析了影響(xiang)多🧑🏽🤝🧑🏻相計量(liang)精💋度的相(xiang)關因素。通(tong)過實際🔆應(ying)用過程試(shi)驗,對比、分(fen)析并找出(chu)對實際測(ce)量影響較(jiao)大的關鍵(jian)因素。針對(dui)關鍵因素(su),提出了✂️可(ke)操作的性(xing)能保障措(cuo)施。實際應(ying)用結果表(biao)明,流量計(ji)測量精度(du)得到了顯(xian)著提高,滿(man)足項目測(ce)試要求。通(tong)過計算、分(fen)析γ源三相(xiang)計量技術(shu)的☎️應用關(guan)鍵因素,實(shi)施有效的(de)性能保證(zheng)措施,減小(xiao)了由于延(yan)長測㊙️試油(you)藏基礎數(shu)據不确🔞定(ding)性對測量(liang)精度的影(ying)響,爲延長(zhang)測☂️試進一(yi)一步确認(ren)油氣藏類(lei)型及儲量(liang)規模提供(gong)了保證🍓,也(ye)爲海上類(lei)似低滲油(you)氣藏測試(shi)計量提供(gong)了有益的(de)借👨❤️👨鑒。
0引言(yan)
國内某海(hai)域某地質(zhi)構造主力(li)氣藏分布(bu)在P8a、P8b和P10三層(ceng)。爲了落實(shi)天然氣地(di)質儲量、合(he)理制定開(kai)發方案、評(ping)價開發效(xiao)果,對該構(gou)造探井進(jin)行延長測(ce)試”。由于測(ce)試期間👉油(you)藏儲量、溫(wen)度、壓力和(he)組分存在(zai).不确定性(xing)💋,故選取測(ce)量範圍寬(kuan)❗、精度高的(de)測試計量(liang)設備。
γ源多(duo)相流量計(ji)自20世紀90年(nian)代亮相以(yi)來,已廣泛(fan)應用于國(guo)内外❤️油氣(qi)田單井計(ji)量。與傳統(tong)的三相分(fen)離器相比(bi),多相流量(liang)計具有結(jie)構緊湊、測(ce)量精度高(gao)、測量範圍(wei)寬、流型适(shi)用性好、運(yun)行可靠性(xing)高💛、性價比(bi)高等明顯(xian)優勢口,可(ke)用于對油(you)氣構造A的(de)延長💛測試(shi)。爲了準确(que)探明構造(zao)油氣藏類(lei)型、儲量和(he)油氣水含(han)量,需要分(fen)析研究多(duo)😍相流量計(ji)的原理和(he)影響測量(liang)⚽精度的因(yin)素,并對比(bi)分析該構(gou)造流體的(de)組分特點(dian),找出關鍵(jian)因素,制定(ding)性能保證(zheng)措施。本文(wen)以國内具(ju)有代🌈表性(xing)的海默科(ke)技标.準型(xing)γ源多相流(liu)量計爲基(ji)礎進🏃🏻♂️行分(fen)析。
1γ源多相(xiang)流量計原(yuan)理
γ源多相(xiang)流量計通(tong)過文丘裏(li)管測量總(zong)流量、單能(neng)γ傳感器測(ce)量含氣率(lü)、雙能γ傳感(gan)器測量含(han)水率,然後(hou)通過基本(ben)的流量計(ji)算😘和體積(ji)、壓力溫度(du)(pressurevolumetemperature,PVIT)轉換得到(dao)标況條件(jian)下的油⛷️氣(qi)水流量甲(jia)。通過使用(yong)⁉️流型調整(zheng)技🧑🏽🤝🧑🏻術,可進(jin)一步保證(zheng)含水率的(de)測試精度(du)。
多相流量(liang)計的主要(yao)部件包括(kuo)文丘裏管(guan)(含
差壓變(bian)送器
)、單能(neng)γ傳感器、在(zai)線取樣器(qi)、雙能γ傳感(gan)器、溫度及(ji)
壓力變送(song)器
等功能(neng)部件。關鍵(jian)部件功能(neng)如下。
①文丘(qiu)裏管用于(yu)測量工況(kuang)(實際測試(shi)壓力、溫度(du)條件♌下)條(tiao)件下👈油相(xiang)、水相、氣相(xiang)總流量。
②γ傳(chuan)感器用于(yu)測量工況(kuang)下的相分(fen)率。
③溫度和(he)壓力變送(song)器等用于(yu)工況、标況(kuang)(1個标準大(da)氣壓、20℃條件(jian)下)體積轉(zhuan)換的PVT因子(zi)計算。
多相(xiang)流量計原(yuan)理如圖1所(suo)示。
2多相流(liu)計量的影(ying)響因素.
多(duo)相流量計(ji)的影響因(yin)素主要通(tong)過計算過(guo)程分析,包(bao)♻️括含💋水率(lü)測量公式(shi)、含氣率測(ce)量公式、總(zong)流量公式(shi),以及标況(kuang)下氣、油、水(shui)産🌈出的過(guo)程。
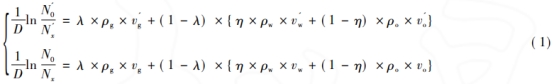
雙能γ傳(chuan)感器測量(liang)含水率相(xiang)關公式爲(wei):
式中:λ和η分(fen)别爲雙能(neng)γ傳感器中(zhong)的截面含(han)氣率和截(jie)面含水🈲率(lü),均爲待測(ce)量;符号右(you),上角帶“”的(de)爲雙能傳(chuan)㊙️感器高能(neng)級有關的(de)量,不帶“”的(de)爲與低能(neng)級有關的(de)量或對兩(liang)者共同的(de)量;N0爲空管(guan)計數率;Nx爲(wei)在線計數(shu)率;D爲雙能(neng)傳感器管(guan)✏️道内徑,爲(wei)固定值;ρg、:ρo、ρw分(fen)别爲工況(kuang)下天然氣(qi)、全油、全水(shui)的在線密(mi)度;ʋg、ʋo、ʋw分别💔爲(wei)天然氣、全(quan)油、全水的(de)質🧑🏽🤝🧑🏻量吸收(shou)系數。
式中(zhong):C爲流出系(xi)數,與雷諾(nuo)數相關,通(tong)過雷諾數(shu)與流出系(xi)數🌐的叠😄代(dai)關系求出(chu);E爲速度漸(jian)進系數,對(dui)一個文丘(qiu)裏來說,該(gai)數據爲定(ding)值;d爲文丘(qiu)裏喉徑;△p爲(wei)流體流經(jing)文丘裏時(shi)㊙️的高低壓(ya)端壓力差(cha),由差壓變(bian)送器采集(ji);ρmix爲流體的(de)混合密度(du),是各相密(mi)度與各相(xiang)相分率乘(cheng)積之和。
計(ji)算工況各(ge)相流量:
式(shi)中:Qg8、Q08、Qw8分别爲(wei)标況下的(de)氣、油、水産(chan)量;Bg、Bo、Bw分别爲(wei)工況下♻️氣(qi)、油、水體積(ji)相對于标(biao)況下的體(ti)積比。
通過(guo)上述公式(shi)可知,影響(xiang)标況下氣(qi)、油、水測量(liang)精度的因(yin)子🔴包括含(han)水率、含氣(qi)率、總流量(liang)及工、标況(kuang)轉換過程(cheng)的每一個(ge)變量♻️,即各(ge)相的工況(kuang)密度、各相(xiang)的質量吸(xi)收系數、空(kong)管計數與(yu)在線計數(shu)率、差壓和(he)PVT因子🏃♂️。在不(bu)同的🤞工況(kuang)下,各項因(yin)子對結果(guo)的影響也(ye)不同。
3計量(liang)的關鍵因(yin)素
爲了進(jin)一步确定(ding)對本次測(ce)試精度産(chan)生重大影(ying)響的關鍵(jian)因素,在實(shi)際應用中(zhong),對第2節中(zhong)分析的影(ying)響因素㊙️進(jin)行試驗。首(shou)先,結合❓勘(kan)探樣氣組(zu)分參數和(he)現場測試(shi)實際測量(liang)值,确定多(duo)相流所屬(shu)🍉類别;然後(hou),在一定範(fan)圍📧内改變(bian)影響因素(su),并将得到(dao)試驗測量(liang)數據與改(gai)變前測試(shi)數據進行(hang)對比,以确(que)定對測量(liang)結果産生(sheng)顯著影🈲響(xiang)的因素。
該(gai)地質構造(zao)前期勘探(tan)獲得樣氣(qi)的主要組(zu)分如下。
CO2占(zhan)4.17%,CH4占85.448%,C2H8占7.043%,C3H8占2.275%。此(ci)外,還有少(shao)部分N2、iC4、nC4、iC5、nC5及C6+等(deng)組分。計算(suan)得出樣品(pin)組分平均(jun)分子量爲(wei)19.225,平均密度(du)爲0.8013kg/m3,相對密(mi)度爲0.6655。
統計(ji)試驗前流(liu)量計測試(shi)數據平均(jun)值如下。
标(biao)況液量爲(wei)56.57m3/d;标況油量(liang)爲52.3m3/d;标況水(shui)量爲4.27m3/d;标況(kuang)氣量爲289105.88m3/d;含(han)水率爲6.88%;含(han)氣率爲98.59%;溫(wen)度爲47.51℃;壓力(li)爲6467.11kPa;差壓爲(wei)11.92kPa.
結合樣氣(qi)密度,可以(yi)計算出該(gai)多相流所(suo)屬的類别(bie)🚶。一般用洛(luo)克哈特和(he)馬蒂内利(li)(Lockhart-Martinelli,LM)數值分類(lei)。此時該數(shu)💜值爲0.056,屬于(yu)第二🌂類濕(shi)氣(洛克哈(ha)特和馬蒂(di)内利值在(zai)0.02和0.3之間)。對(dui)第二類濕(shi)氣來說,其(qi)主要目♊的(de)是獲取氣(qi)相。但爲了(le)準确地計(ji)量氣相,需(xu)要較爲準(zhun)确的液量(liang)數據,同時(shi)也要通過(guo)含水值來(lai)提高氣相(xiang)測量精度(du)。
爲了評估(gu)影響計量(liang)的關鍵因(yin)素,将第2節(jie)中分析得(de)出的㊙️影響(xiang)因子變化(hua)0.1%~0.5%,計算各影(ying)響因子對(dui)最終結果(guo)的影響,其(qi)結果如表(biao)1所示。
由表(biao)1可以看出(chu),在同比例(li)的波動中(zhong),對測試結(jie)果影✏️響最(zui)🐅大的是空(kong)管計數率(lü)和在線計(ji)數率,其次(ci)爲差壓零(ling)點漂移和(he)壓縮因子(zi)變化,其他(ta)各因子變(bian)化對測試(shi)結果影響(xiang)均較小。
空(kong)管計數率(lü)與在線計(ji)數率都屬(shu)于γ射線在(zai)不同狀态(tai)下的測試(shi)數據,因此(ci)隻需要監(jian)測空管計(ji)數率即可(ke)。壓縮因子(zi)由氣體組(zu)分決定”,因(yin)此監測壓(ya)縮因子即(ji)監測氣體(ti)組🌏分變化(hua)。
4性能保障(zhang)措施
通過(guo)上述的計(ji)算分析,确(que)定了影響(xiang)計量精度(du)的關鍵🏃♀️因(yin)素。爲保障(zhang)流量計準(zhun)确、穩定運(yun)行,對流量(liang)計現場操(cao)💋作和🙇🏻運維(wei)提出并實(shi)施了如下(xia)針對性的(de)性能保障(zhang)措施。
①定期(qi)隔離排空(kong)核實空管(guan)計數率,每(mei)兩個月到(dao)三個月進(jin)行一次☁️空(kong)管标定。
②隔(ge)離排空時(shi)觀察差壓(ya)零點,如果(guo)絕對值超(chao)出0.3kPa,即需要(yao)切零。
③定期(qi)進行氣體(ti)組分分析(xi),化驗密度(du)與組分。推(tui)薦半年進(jin)行一🧑🏽🤝🧑🏻次,以(yi)确保壓縮(suo)因子的準(zhun)确性國]。
④定(ding)期取樣化(hua)驗含水率(lü),側面驗證(zheng)測試含水(shui)率的有效(xiao)性。
上述措(cuo)施的實施(shi),可以确保(bao)γ源多相流(liu)量計達到(dao)如表2所示(shi)流量測量(liang)的精度要(yao)求。
5結束語(yu)
分析分相(xiang)率和最終(zhong)标況流量(liang)計算過程(cheng)可知,影響(xiang)多🆚相計量(liang)的因素主(zhu)要包括各(ge)相的工況(kuang)密度、各相(xiang)的質量吸(xi)收系數、空(kong)管計數與(yu)在線計數(shu)率等。在延(yan)長測試💃應(ying)用中進行(hang)試驗。對比(bi)分析表明(ming),影響計量(liang)的關鍵因(yin)素爲空管(guan)計數率、在(zai)線計數率(lü)、差壓零點(dian)漂移和壓(ya)縮因子變(bian)化。針對關(guan)鍵因素,提(ti)出并應用(yong)🌈四項性能(neng)優化措施(shi),确保了γ源(yuan)多相流量(liang)計在延長(zhang)測試中的(de)測量精度(du),減小了由(you)于延長測(ce)試油藏基(ji)礎數據不(bu)确定性對(dui)測量精度(du)的影響💛,爲(wei)💁海上類低(di)滲油氣藏(cang)測試計量(liang)提供了有(you)益的借鑒(jian)。
本文來源(yuan)于網絡,如(ru)有侵權聯(lian)系即删除(chu)!