摘要:金(jin)屬管轉(zhuan)子流量(liang)計
由于(yu)具有結(jie)構簡單(dan)、測量範(fan)圍寬、可(ke)靠性高(gao)、使用維(wei)護方便(bian)等優點(dian),而被廣(guang)泛用于(yu)流量檢(jian)測和過(guo)程控制(zhi)中,當其(qi)測量的(de)流體與(yu)标定的(de)流體不(bu)同時,需(xu)要對測(ce)量值進(jin)行修正(zheng)。對金屬(shu)管轉子(zi)流量計(ji)測量值(zhi)的修正(zheng)公式進(jin)行了推(tui)導,對正(zheng)确安裝(zhuang)使用金(jin)屬管轉(zhuan)子流量(liang)計注意(yi)事項進(jin)行了闡(chan)述。提出(chu)通過對(dui)金屬管(guan)轉子流(liu)量計測(ce)量值公(gong)式的修(xiu)正,正确(que)安裝金(jin)屬管轉(zhuan)子流量(liang)計,可獲(huo)得準确(que)可靠的(de)測量結(jie)果。
0引言(yan)
金屬管(guan)轉子流(liu)量計用(yong)于連續(xu)測量封(feng)閉管道(dao)中液體(ti)和氣體(ti)的體積(ji)流量,具(ju)有結構(gou)簡單、壓(ya)力損失(shi)小、測量(liang)範圍寬(kuan)、可靠性(xing)高、可測(ce)量小流(liu)量及較(jiao)低雷諾(nuo)數流量(liang)、使用維(wei)護方便(bian)等優點(dian)。由于金(jin)屬管轉(zhuan)子流量(liang)計适應(ying)性強,因(yin)此被廣(guang)泛地應(ying)用于流(liu)量測量(liang)和過程(cheng)控制中(zhong)。
金屬管(guan)轉子流(liu)量計出(chu)廠時的(de)刻度值(zhi)是用标(biao)準狀況(kuang)下的水(shui)或空氣(qi)标定的(de),而在實(shi)際工程(cheng)應用中(zhong),金屬管(guan)轉子流(liu)量計測(ce)量的流(liu)體卻不(bu)一定是(shi)水或空(kong)氣。影響(xiang)金屬管(guan)轉子流(liu)量計測(ce)量精度(du)的因素(su)較多,包(bao)括被測(ce)流體的(de)溫度、壓(ya)力、密度(du)、粘度等(deng)。當實際(ji)測量的(de)流體與(yu)标定的(de)流體不(bu)同,或者(zhe)狀态不(bu)同時,必(bi)須對測(ce)量的結(jie)果進行(hang)刻度的(de)換算和(he)修正,同(tong)時,必須(xu)正确地(di)安裝和(he)使用金(jin)屬管轉(zhuan)子流量(liang)計,以獲(huo)得準确(que)、可靠的(de)測量結(jie)果。
1公式(shi)修正
金(jin)屬管轉(zhuan)子流量(liang)計出廠(chang)時是用(yong)标準狀(zhuang)況下的(de)水或空(kong)氣标定(ding)的。如果(guo)流體狀(zhuang)态與标(biao)定狀态(tai)不同,或(huo)者測量(liang)的流體(ti)與标定(ding)的流體(ti)不同時(shi),則直接(jie)讀取的(de)流量值(zhi)是不準(zhun)确的,可(ke)根據流(liu)量基本(ben)方程進(jin)行修正(zheng)。
金屬管(guan)轉子流(liu)量計流(liu)量的基(ji)本方程(cheng)爲:
式中(zhong):α爲流量(liang)系數,與(yu)轉子流(liu)量計結(jie)構和雷(lei)諾數有(you)關;ε爲膨(peng)脹校正(zheng)系數,對(dui)不可壓(ya)縮流體(ti),ε=1;F0爲轉子(zi)周圍環(huan)隙面積(ji),與轉子(zi)懸停高(gao)度h相對(dui)應;Vt爲轉(zhuan)子的體(ti)積;ρt爲轉(zhuan)子材料(liao)密度;ρ爲(wei)流體密(mi)度;A爲轉(zhuan)子最大(da)截面積(ji);g爲重量(liang)加速度(du)。
若F0=c·h(式中(zhong),c與轉子(zi)和錐形(xing)管的尺(chi)寸有關(guan)),則:
1.1氣體(ti)流體的(de)修正
由(you)于轉子(zi)流量計(ji)是用标(biao)準狀态(tai)下(20°C,0.10133MPa)的空(kong)氣标定(ding)的,所以(yi),在測量(liang)氣體流(liu)量時,如(ru)果氣體(ti)不是标(biao)準狀态(tai),或者氣(qi)體的密(mi)度與标(biao)準狀态(tai)的空氣(qi)差異較(jiao)大,則必(bi)須對測(ce)量結果(guo)進行修(xiu)正才能(neng)得到正(zheng)确的流(liu)量值.
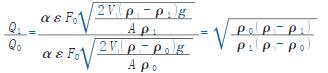
标(biao)準狀況(kuang)下,待測(ce)氣體流(liu)量Q1與标(biao)定值Q0有(you)如下關(guan)系:
式中(zhong):ρ1爲标準(zhun)狀況下(xia),待測氣(qi)體的密(mi)度;ρ0爲标(biao)準狀況(kuang)下,空氣(qi)的密度(du)。
待測氣(qi)體流量(liang)Q1爲:
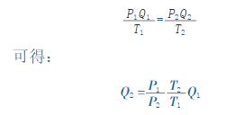
式中(zhong):P2、V2、T2爲某氣(qi)體某一(yi)狀态的(de)壓力、體(ti)積、溫度(du);P1、V1、T1爲某氣(qi)體标準(zhun)狀态的(de)壓力、體(ti)積、溫度(du)。
而對于(yu)某一特(te)定的系(xi)統,流量(liang)Q、體積V和(he)時間t之(zhi)間有如(ru)下關系(xi):
V=Qt
則某狀(zhuang)态下的(de)氣體流(liu)量Q2與标(biao)準狀态(tai)下的流(liu)量Q1之間(jian)可按下(xia)式換算(suan):
1.2液體流(liu)體的修(xiu)正
測量(liang)液體流(liu)量的轉(zhuan)子流量(liang)計是用(yong)常溫下(xia)(20°C)的水進(jin)行标定(ding)的,如果(guo)工業應(ying)用時測(ce)量的液(ye)體不是(shi)水,則需(xu)考慮液(ye)體密度(du)和粘度(du)與水的(de)差異。如(ru)果二者(zhe)密度和(he)粘度接(jie)近,則可(ke)忽略密(mi)度和粘(zhan)度的影(ying)響;如果(guo)二者密(mi)度和粘(zhan)度差異(yi)較大,則(ze)必須對(dui)流量計(ji)的指示(shi)值進行(hang)修正。
出(chu)廠标定(ding)流量值(zhi)Q0與測量(liang)指示值(zhi)Q之間有(you)如下關(guan)系:
式中(zhong):τ爲粘性(xing)摩擦力(li),當τ=0時爲(wei)理想流(liu)體。
2金屬(shu)管流量(liang)計的安(an)裝
爲了(le)保證金(jin)屬管轉(zhuan)子流量(liang)計具有(you)較高的(de)測量精(jing)度,需确(que)保金屬(shu)管轉子(zi)流量計(ji)正确安(an)裝。
(1)金屬(shu)管流量(liang)計選型(xing)或訂貨(huo)時要向(xiang)制造商(shang)提供準(zhun)确的工(gong)藝介質(zhi)信息。如(ru)果制造(zao)商能夠(gou)針對工(gong)藝介質(zhi)進行流(liu)量計的(de)标定,則(ze)可減少(shao)後期測(ce)量值的(de)修正工(gong)作。
(2)當金(jin)屬管轉(zhuan)子流量(liang)計需要(yao)垂直安(an)裝時,其(qi)垂直度(du)應該≤2°;若(ruo)需要水(shui)平安裝(zhuang),則其安(an)裝水平(ping)夾角應(ying)該≤2°。
(3)爲避(bi)免管路(lu)條件影(ying)響流體(ti)流動狀(zhuang)态,進而(er)對金屬(shu)管轉子(zi)流量計(ji)的測量(liang)精度産(chan)生影響(xiang),金屬管(guan)轉子流(liu)量計的(de)進口之(zhi)前必須(xu)保證有(you)>5倍管徑(jing)長度的(de)直管段(duan),而其出(chu)口之後(hou)也要保(bao)證>250mm長度(du)的直管(guan)段。
(4)爲避(bi)免鐵磁(ci)性物質(zhi)和固體(ti)顆粒對(dui)金屬管(guan)轉子流(liu)量計的(de)測量精(jing)度産生(sheng)影響,必(bi)須在流(liu)量計進(jin)口直管(guan)段之前(qian)加裝過(guo)濾器。
(5)如(ru)果金屬(shu)管轉子(zi)流量計(ji)的錐管(guan)和浮子(zi)受到污(wu)染,必須(xu)進行清(qing)洗,以免(mian)影響測(ce)量精度(du)。金屬管(guan)轉子流(liu)量計的(de)日常維(wei)護也要(yao)求定期(qi)對浮子(zi)和錐管(guan)進行清(qing)洗.
爲方(fang)便金屬(shu)管轉子(zi)流量計(ji)的維護(hu)和檢修(xiu),應該考(kao)慮在工(gong)藝管線(xian)上設計(ji)安裝旁(pang)路管道(dao)。
3結語
使(shi)用金屬(shu)管轉子(zi)流量計(ji)測量流(liu)體流量(liang)時,如果(guo)待測的(de)流體與(yu)标定的(de)流體不(bu)同,則會(hui)産生測(ce)量誤差(cha)。通過使(shi)用流體(ti)流量的(de)修正公(gong)式對測(ce)量結果(guo)進行修(xiu)正和正(zheng)确安裝(zhuang)使用金(jin)屬管轉(zhuan)子流量(liang)計,可獲(huo)得準确(que)可靠的(de)測量結(jie)果。
以上(shang)内容來(lai)源于網(wang)絡,如有(you)侵權請(qing)聯系即(ji)删除!