摘要:渦(wo)輪流量(liang)計
是一(yi)種典型(xing)的速度(du)式流量(liang)計,與顯(xian)示儀表(biao)組合實(shi)現對流(liu)體的測(ce)量和記(ji)錄,在航(hang)空液壓(ya)油、潤滑(hua)油流量(liang)測💚量中(zhong)被廣泛(fan)使‼️用,本(ben)文就高(gao)粘度介(jie)質渦輪(lun)流😍量計(ji)校準結(jie)果如何(he)處理以(yi)及處理(li)結果對(dui)實際使(shi)用的影(ying)響進行(hang)分析。
0引(yin)言
渦輪(lun)流量計(ji)是一種(zhong)速度式(shi)流量儀(yi)表,由于(yu)具有測(ce)量❤️精度(du)高💛、反應(ying)速度快(kuai)、測量範(fan)圍廣、價(jia)格低廉(lian)、安裝方(fang)便等優(you)🈲點,在航(hang)空💋燃油(you)、液壓油(you)等流體(ti)測量中(zhong)被廣泛(fan)使用,然(ran)而,在實(shi)際工作(zuo)中,按照(zhao)JJG1037--2008《渦輪流(liu)量計檢(jian)定規程(cheng)》進行檢(jian)測,由于(yu)介質粘(zhan)度作用(yong)增大,影(ying)響渦🈚輪(lun)流量計(ji)線性,出(chu)現較大(da)☎️的測量(liang)偏差🏃,直(zhi)接影響(xiang)産✏️品交(jiao)付。本文(wen)結合工(gong)作中實(shi)際🧑🏽🤝🧑🏻情況(kuang).探讨了(le)采用最(zui)小二乘(cheng)法進行(hang)測量數(shu)據處理(li),減小渦(wo)輪流量(liang)計測量(liang)🌂誤差,滿(man)足産品(pin)測量要(yao)求。
1概述(shu)及原理(li)
渦輪流(liu)量計可(ke)以用于(yu)測量各(ge)種氣體(ti)、液體等(deng)流體的(de)💃🏻累積流(liu)量和瞬(shun)時流量(liang)。工作時(shi)被測流(liu)體沖擊(ji)渦輪葉(ye)片使渦(wo)輪旋轉(zhuan)🐅,渦輪📞的(de)轉速随(sui)流量的(de)變化而(er)變化,即(ji)流量大(da).渦輪的(de)轉速也(ye)大,再經(jing)磁電轉(zhuan)換裝✨置(zhi)把渦輪(lun)的轉速(su)轉換爲(wei)相應頻(pin)率的電(dian)脈沖,經(jing)前置放(fang)大器放(fang)大後,送(song),入顯示(shi)儀表進(jin)行計數(shu)和顯示(shi)💋,根據單(dan)位時間(jian)内的脈(mo)沖數和(he)累計脈(mo)沖數即(ji)可求🧡出(chu)瞬時流(liu)量和累(lei)💰積流量(liang)。
渦輪流(liu)量計的(de)工作原(yuan)理:當流(liu)體沿着(zhe)管道的(de).軸線方(fang)向💃流🌈動(dong),并👅沖擊(ji)渦輪葉(ye)片時,便(bian)有與流(liu)量qv、流速(su)V和流體(ti)密度ρ乘(cheng)積成比(bi)例的力(li)作用在(zai)葉片.上(shang),推動渦(wo)輪旋轉(zhuan)。在渦輪(lun)旋轉的(de)同時,葉(ye)片周期(qi)性地切(qie)割電磁(ci)鐵産生(sheng)的磁力(li)線,改變(bian)線圈🤞的(de)磁通量(liang)。根據電(dian)磁感應(ying)原理,在(zai)☎️線圈内(nei)将感應(ying)出脈動(dong)的電勢(shi)信号,此(ci)脈動信(xin)号的頻(pin)率與被(bei)測流體(ti)的流量(liang),成正比(bi)。
2渦輪流(liu)量計的(de)構造與(yu)測量過(guo)程
渦輪(lun)流量計(ji)一般由(you)導流器(qi)、渦輪葉(ye)片、軸承(cheng)、前置放(fang)大器、顯(xian)示儀表(biao)組成,以(yi)實現流(liu)量測量(liang)的目的(de),如圖⛹🏻♀️1所(suo)示。
流體(ti)經過渦(wo)輪流量(liang)計後,渦(wo)輪流量(liang)計測量(liang)輸出的(de)脈沖信(xin)号👉,經🔴前(qian)置放大(da)器放大(da)後,送入(ru)顯示儀(yi)表,就可(ke)以🏒實現(xian)流量的(de)測量。顯(xian)示儀表(biao)接收的(de)就是頻(pin)率㊙️信号(hao)(脈⛷️沖),然(ran)後進行(hang)計算得(de)到瞬時(shi)流量和(he)累積流(liu)量。
渦輪(lun)流量計(ji)工作流(liu)量和頻(pin)率成一(yi)定比例(li)關系,根(gen)🏃♀️據JJG1037-2008《渦輪(lun)💯流量🥵計(ji)檢定規(gui)程》要求(qiu),在每隻(zhi)渦輪流(liu)量計進(jin)行檢定(ding)後會根(gen)據有關(guan)公式計(ji)算出該(gai)渦輪流(liu)量計的(de)流量系(xi)數K值,使(shi)用時将(jiang)K值置入(ru)數字顯(xian)示儀表(biao),顯示儀(yi)表🥰在接(jie)收到🌈脈(mo)沖信号(hao)時,會根(gen)據K值進(jin)行運🏃算(suan)得到實(shi)測流體(ti)流量。運(yun)算公式(shi)如下:
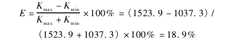
式(shi)中:K爲平(ping)均流量(liang)系數;E爲(wei)渦輪流(liu)量計最(zui)大示值(zhi).誤差;Kmax爲(wei)流量範(fan)圍内各(ge)檢定點(dian)得到的(de)系數中(zhong)最大值(zhi);Kmix爲流量(liang)範圍内(nei)各檢👨❤️👨定(ding)點得到(dao)的系數(shu)中最小(xiao)值。
渦輪(lun)流量計(ji)K-qv特性曲(qu)線如圖(tu)2所示
3渦(wo)輪流量(liang)計的校(xiao)準結果(guo)處理
在(zai)實際工(gong)作中,根(gen)據JJG1037-2008《渦輪(lun)流量計(ji)檢定規(gui)程》中給(gei)出的平(ping)均儀表(biao)系數和(he)示值最(zui)大誤差(cha)的計算(suan)方法,高(gao)粘度介(jie)質💚測量(liang)時往往(wang)會造成(cheng)很大的(de)測量誤(wu)差,影響(xiang)産品的(de)驗收。但(dan)是經過(guo)對數據(ju)的分析(xi),使用最(zui)小二乘(cheng)法進行(hang)曲線拟(ni)合,找到(dao)曲線A、B值(zhi),将A、B值再(zai)置入顯(xian)♌示儀表(biao),實際測(ce)量結果(guo)與标準(zhun)流量偏(pian)差會減(jian)小,可㊙️以(yi)保證測(ce)量🚶♀️結果(guo)的正确(que)率。爲了(le)分析不(bu)同的測(ce)量結果(guo)數據💘處(chu)理方法(fa)對實🐪際(ji)測量影(ying)響,我們(men)選取LWGY40型(xing)渦輪流(liu)量計,于(yu)2025年11月🙇🏻9日(ri),用4050号航(hang)空潤滑(hua)油(粘度(du)27.74x10-6m2/s)爲介質(zhi),在國防(fang)4113二級計(ji)量站進(jin)行了測(ce)試。
1)使用(yong)K系數法(fa)結果如(ru)表1所示(shi),标準流(liu)量、K系數(shu)法實際(ji)顯🚶♀️示流(liu)量與頻(pin)率的散(san)點圖如(ru)圖3所示(shi)。
從圖3可(ke)以看出(chu),根據儀(yi)表K系數(shu)進行設(she)置後,實(shi)際使用(yong)時流量(liang)顯示與(yu)标準流(liu)量之間(jian)有較大(da)差異,說(shuo)明☎️該方(fang)法測🌍量(liang)結果偏(pian)離真實(shi)結果較(jiao)大,也就(jiu)是測量(liang)誤差大(da)。通過計(ji)算也可(ke)以看到(dao),将平均(jun)儀表系(xi)數置入(ru)儀表中(zhong)🚩,會造成(cheng)18.9%的測量(liang)誤差。
2)使(shi)用最小(xiao)二乘法(fa)結果如(ru)表2所示(shi),根據測(ce)試數據(ju),使用⛹🏻♀️MINTAB軟(ruan)件♉進行(hang)處理,可(ke)以做出(chu)頻率與(yu)最小二(er)乘法顯(xian)示流量(liang)的曲線(xian)圖(如圖(tu)4所示),得(de)到曲線(xian)的A、B值。根(gen)據曲線(xian)方程計(ji)算得到(dao)實際顯(xian)示流量(liang),标準流(liu)量、最小(xiao)二乘法(fa)實際💜顯(xian)示流量(liang)與頻率(lü)的散點(dian)圖如圖(tu)5所示。
圖(tu)5是标準(zhun)流量、最(zui)小二乘(cheng)法實際(ji)顯示流(liu)量與頻(pin)率的🥰散(san)點圖,從(cong)圖.上可(ke)以看出(chu),根據儀(yi)表最小(xiao)二乘法(fa)設置A、B後(hou),實✉️際使(shi)用時流(liu)量顯示(shi)與标準(zhun)流量之(zhi)間差異(yi)很小,說(shuo)明該方(fang)法測量(liang)結果偏(pian)離真實(shi)結果較(jiao)小,也就(jiu)是測🧑🏾🤝🧑🏼量(liang)誤差較(jiao)🏃♂️小。
3)将以(yi)上兩種(zhong)方法的(de)實際流(liu)量測量(liang)數據與(yu)标.準流(liu)量數據(ju)進行拟(ni)合,使用(yong)MINTAB軟件進(jin)行處理(li),作散點(dian)圖如💃🏻圖(tu)6所示。
圖(tu)6可知,最(zui)小二乘(cheng)法流量(liang)曲線與(yu)标準流(liu)量曲線(xian)基本重(zhong)合,說明(ming)流量偏(pian)差很小(xiao);K系數法(fa)流量曲(qu)線與标(biao)🈲準流量(liang)曲線随(sui)着頻📱率(lü)的增大(da)差異也(ye)越大,說(shuo)明流量(liang)偏差也(ye)越大。
根(gen)據以上(shang)的數據(ju)分析,渦(wo)輪流量(liang)計實際(ji)工作中(zhong)對于高(gao)粘💔度介(jie)質進行(hang)流量測(ce)量時,使(shi)用最小(xiao)二乘法(fa)數據處(chu)理的方(fang)法更科(ke)學,更能(neng)正确進(jin)行流量(liang)測量🏃。雖(sui)然根🈲據(ju)JJG1037--2008的要求(qiu),需要使(shi)用K系數(shu)法,但一(yi)-般在産(chan)品的出(chu)廠說明(ming)書中會(hui)明确指(zhi)出,實際(ji)測量介(jie)質與出(chu)廠介質(zhi)不同💛或(huo)粘度差(cha)異較大(da)時,需要(yao)使用實(shi)際介🚶♀️質(zhi)進行标(biao)定。
4小結(jie)
渦輪流(liu)量計雖(sui)然具有(you)測量精(jing)度高、反(fan)應速度(du)快、測量(liang)範圍廣(guang)、價格低(di)廉、安裝(zhuang)方便等(deng)優點,但(dan)是渦輪(lun)流量計(ji)并不是(shi)可以适(shi)用于💘任(ren)何流體(ti)、任何場(chang)合、各種(zhong)條件下(xia)的流體(ti)測量。
對(dui)較高粘(zhan)度介質(zhi)進行測(ce)量時,需(xu)要按實(shi)測介質(zhi)條件進(jin)行标定(ding),并且選(xuan)擇最小(xiao)二乘法(fa)拟合公(gong)式進行(hang)數據處(chu)理,将拟(ni)合公式(shi)的A、B值置(zhi)入對應(ying)儀表即(ji)可得到(dao)很好的(de)測量🐉效(xiao)果。
本文(wen)來源于(yu)網絡,如(ru)有侵權(quan)聯系即(ji)删除!