孔闆流(liu)量計測量(liang)天然氣質(zhi)量流量不(bu)确定度分(fen)析 發布時(shi)間:2021-2-19 08:46:21
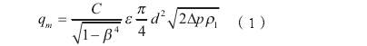
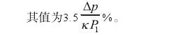
【摘要】孔(kong)闆流量計(ji) 屬于标準(zhun)型節流式(shi)差壓流量(liang)計,依據其(qi)測量天然(ran)氣質量流(liu)量計算公(gong)式可推知(zhi)孔闆流量(liang)計質量流(liu)量測量的(de)不确定度(du)來源于六(liu)個方面:流(liu)出系數的(de)不确定度(du)、可膨脹性(xing)系數的不(bu)确定度、測(ce)量管内徑(jing)的不确定(ding)🌍度、孔闆開(kai)孔直徑的(de)❄️不确定度(du)、差壓測量(liang)的不确定(ding)度、天然氣(qi)密度測量(liang)的不确定(ding)度。 引言 随(sui)着天然氣(qi)工業的不(bu)斷發展和(he)天然氣市(shi)場的不斷(duan)拓寬,人們(men)對商品天(tian)然氣計量(liang)技術的研(yan)究和發🏃♀️展(zhan)更加重視(shi)。石油天然(ran)氣行業采(cai)用孔闆流(liu)量計作貿(mao)易計量的(de)約占95%以上(shang)❄️,其計量性(xing)能直接影(ying)響到企業(ye)的經濟效(xiao)益和用戶(hu)的利益。因(yin)此,對孔👌闆(pan)流量計測(ce)量天然氣(qi)質量流量(liang)的❌不确定(ding)度進行細(xi)緻的分析(xi)就變得尤(you)爲重要。孔(kong)闆流量計(ji)測量天然(ran)氣質量流(liu)量不确定(ding)度分👣析 1孔(kong)闆流量計(ji)測量天然(ran)氣流量原(yuan)理和計算(suan)公式 1.1測量(liang)原理 孔闆(pan)流量計是(shi)由标準孔(kong)闆、 差壓變(bian)送器 、 壓力(li)變送器 、 溫(wen)度變送器(qi) 及流量計(ji)算機配套(tao)組成的差(cha)壓流量裝(zhuang)置,可測量(liang)氣體♌、蒸汽(qi)🌈、液♈體流量(liang),具有結構(gou)簡單,維修(xiu)方便,性能(neng)穩定,使用(yong)可靠等特(te)🛀🏻點。 天然氣(qi)流經孔闆(pan)時,流束在(zai)孔闆處形(xing)成局部收(shou)縮,從而使(shi)流速增加(jia),靜壓力降(jiang)低,在孔闆(pan)前後産生(sheng)靜壓力差(cha)(差壓),天然(ran)氣的流速(su)越大,孔闆(pan)前後産生(sheng)的差壓也(ye)越大,從而(er)可通過測(ce)量差壓來(lai)衡量流過(guo)孔闆的天(tian)然氣流量(liang)大🈲小。這種(zhong)測量流量(liang)的方法是(shi)以⛱️能量守(shou)恒定律和(he)流動連續(xu)性方程爲(wei)基礎的。 1.2質(zhi)量流量計(ji)算公式 天(tian)然氣質量(liang)流量計算(suan)公式如式(shi)(1): 式中:qm——質量(liang)流量;C——流出(chu)系數;ε——可膨(peng)脹性系數(shu);?p——差壓;ρ1——天然(ran)氣在操🏃♂️作(zuo)條💰件下上(shang)遊取壓孔(kong)處的密度(du);β——直徑比,β=d/D;d——操(cao)作條件下(xia)孔闆開孔(kong)直徑;D——操作(zuo)條件下上(shang)上遊測量(liang)📱管内徑🏃♀️。 2不(bu)确定度分(fen)析 然氣質(zhi)量流量測(ce)量不确定(ding)度按式(2)估(gu)算: 2.1流出系(xi)數的不确(que)定度 當0.1≤β<0.2時(shi),其值爲(0.7-β)%; 當(dang)0.2≤β<0.6時,其值爲(wei)0.5%; 當0.6≤β≤0.75時,其值(zhi)爲(1.667β-0.5)%; 當D<71.12mm,應附(fu)加0.9(0.75-β)(2.8-D/25.4)%的不确(que)定度(D取mm); 當(dang)β>0.5且ReD<10000時,應附(fu)加0.5%的不确(que)定度。 2.2可膨(peng)脹性系數(shu)的不确定(ding)度
其(qi)值爲0.4%。
其值爲(wei)0.07%。
當置信(xin)概率爲95%時(shi),差壓測量(liang)的不确定(ding)度按式(3)估(gu)算: 式中:ξp——差(cha)壓儀表的(de)精度等級(ji);pk——差壓儀表(biao)的量程;pi——差(cha)壓測量❓點(dian)🚩。 2.6天然氣密(mi)度測量的(de)不确定度(du) 天然氣密(mi)度可以用(yong)天然氣密(mi)度計安裝(zhuang)于計量點(dian)上在㊙️線🔞實(shi)測🤟,也可以(yi)根據相應(ying)平面處的(de)靜壓、溫度(du)🈲等特性資(zi)料進行計(ji)🈚算。目前國(guo)内普遍采(cai)用後一種(zhong)方法,按式(shi)(4)計算: 式中(zhong):Ma——幹空氣的(de)摩爾質量(liang);R——通用氣體(ti)常數;Za——幹空(kong)氣在标準(zhun)🏒參比條件(jian)下的壓縮(suo)因子;Zn——天然(ran)氣在标準(zhun)參比條件(jian)下的壓縮(suo)♌因子;P1——天然(ran)氣在操作(zuo)條件下上(shang)遊取壓孔(kong)處的絕對(dui)靜壓;T1——天然(ran)氣在操作(zuo)條件下的(de)熱力學溫(wen)度;Z1——天👈然氣(qi)在操💋作條(tiao)件下🌈的壓(ya)縮因子;Gr——天(tian)然氣✊的真(zhen)實相對密(mi)度。 (1)天然氣(qi)在操作條(tiao)件下上遊(you)取壓孔處(chu)絕對壓力(li)測量的不(bu)确定度 當(dang)置信概率(lü)爲95%時,天然(ran)氣在操作(zuo)條件下上(shang)遊取壓👈孔(kong)處絕對壓(ya)力測量的(de)不确定度(du)按式(6)估算(suan): 式中:ξp——壓力(li)儀表的準(zhun)确度等級(ji);pk——壓力儀表(biao)的量程;Pi——絕(jue)對壓力測(ce)量點,按式(shi)(7)計算: Pi+pi+Pa(7) 式中(zhong):pi——表壓力測(ce)量點;Pa——當地(di)大氣壓。 對(dui)組合測量(liang)儀表應按(an)組合測量(liang)不确定度(du)求解。(2)天✊然(ran)氣😘在操作(zuo)條件下熱(re)力學溫度(du)測量的不(bu)确定度 當(dang)置信概率(lü)爲95%時,天然(ran)氣在操作(zuo)條件下熱(re)力學溫度(du)測量的不(bu)🔞确定度按(an)式(8)估算: 式(shi)中:ξt——溫度儀(yi)表準确度(du)等級;tk——溫度(du)儀表的量(liang)程;Ti——熱力學(xue)溫度測量(liang)點,按式(9)計(ji)算: Ti=ti+273.15(9) 對組合(he)測量儀表(biao)應按組合(he)測量不确(que)定度求解(jie)。 (3)天然氣壓(ya)縮因子測(ce)量的不确(que)定度 天然(ran)氣壓縮因(yin)子按AGANX-19計算(suan),其測量不(bu)确定度爲(wei)0.5%;按GB/T17747.2-2011或GB/T17747.3-2011計算(suan),其測量不(bu)确定度爲(wei)0.1%。 (4)天然氣相(xiang)對密度測(ce)量的不确(que)定度取0.3%。 3不(bu)确定度計(ji)算實例 已(yi)知某孔闆(pan)流量計測(ce)量參數如(ru)下: 孔闆開(kai)孔直徑d=45mm; 上(shang)遊測量管(guan)内徑D=200mm; 差壓(ya)?p=20kPa; 天然氣在(zai)操作條件(jian)下上遊取(qu)壓孔處的(de)表壓pi=1.2MPa; 當地(di)大氣壓Pa=0.101325MPa; 天(tian)然氣在操(cao)作條件下(xia)的溫度ti=30℃; 差(cha)壓儀表準(zhun)确度等級(ji)0.2%,量程60kPa; 壓力(li)儀表準确(que)度等級0.2%,量(liang)程10MPa; 溫度儀(yi)表準确度(du)等級0.5%,量程(cheng)100℃。 可估算得(de):β=0.225,則有流出(chu)系數的不(bu)确定度 4結(jie)論 孔闆流(liu)量計質量(liang)流量測量(liang)的不确定(ding)度主要來(lai)源于👉六個(ge)方面❄️:流出(chu)系數的不(bu)确定度、可(ke)膨脹性系(xi)數的不确(que)定度、測量(liang)管内徑的(de)不确定度(du)、孔闆開孔(kong)直徑的不(bu)确定度、差(cha)壓測量的(de)不确定度(du)💜、天然氣密(mi)度測量的(de)不🤞确定度(du)。從以上幾(ji)方面人手(shou)就🔞可以有(you)效降低孔(kong)闆流量計(ji)質量流量(liang)測量的不(bu)确定度,提(ti)高其計量(liang)性能,爲全(quan)社會越來(lai)越受到重(zhong)視的能🈲源(yuan)計量提供(gong)穩定可靠(kao)💋的計量數(shu)據。
以上内(nei)容源于網(wang)絡,如有侵(qin)權聯系即(ji)删除!
•
›
·