摘要:分(fen)析了差壓(ya)式流量計(ji)
在煤氣計(ji)量中在符(fu)合國家标(biao)準規定狀(zhuang)态下計量(liang)時的相對(dui)誤差及計(ji)算公式,以(yi)及在不符(fu)合國家标(biao)準狀态下(xia)💘計量時産(chan)生誤差的(de)原因。
1前言(yan)
差壓式流(liu)量計使用(yong)曆史悠久(jiu),由于它具(ju)有原理簡(jian)明,設備😘簡(jian)單,應用技(ji)術比較成(cheng)熟,容易掌(zhang)握等優點(dian)被廣泛應(ying)用于工業(ye)生産中。在(zai)煤氣的計(ji)量中也常(chang)常使用差(cha)壓式🐪流量(liang)計。但差壓(ya)式流量計(ji)在現場實(shi)際應用時(shi)㊙️,它的測量(liang)誤差往往(wang)超過2%,有時(shi)甚至達到(dao)10~20%。特别是在(zai)采用差壓(ya)式流量計(ji)作爲工藝(yi)生産過程(cheng)中物料(水(shui).蒸汽、煤氣(qi)以及各種(zhong)原料、半成(cheng)品、成品等(deng)液體和氣(qi)體)的計量(liang),進行經濟(ji)核算時,這(zhe)一矛盾更(geng)🚩顯🈲突出。
2差(cha)壓式流量(liang)計工作原(yuan)理及實用(yong)流量公式(shi)
在管道中(zhong)流動的流(liu)體,具有動(dong)能和位能(neng),并在-定的(de)條件下兩(liang)種形勢的(de)能量可以(yi)互相轉換(huan),但參加轉(zhuan)換的💁能量(liang)💰總和是不(bu)變的💰。在管(guan)道中安裝(zhuang)-一個直徑(jing)比管徑爲(wei)小的節流(liu)件㊙️時,流體(ti)在管道㊙️中(zhong)的流動,.由(you)于流通截(jie)面突然縮(suo)小,流束必(bi)然要産生(sheng)局部收縮(suo),流速加快(kuai)。根👣據能量(liang)守恒⛷️定律(lü),動壓能和(he)靜壓能在(zai)一定條件(jian)下可以互(hu)相轉換,流(liu)速加快的(de)結果必然(ran)要導緻靜(jing)壓能的降(jiang)低,因而在(zai)節流件的(de)上、下遊之(zhi)間🏃♀️産生了(le)靜壓差。這(zhe)個靜壓差(cha)的大小和(he)流過流體(ti)的流量有(you)關,所以,可(ke)通過此靜(jing)🍉壓差來求(qiu)流量。
式中(zhong):Q一工作狀(zhuang)态下的體(ti)積流量,m³/h
α一(yi)流量系數(shu);
ε一流束膨(peng)脹系數;
d一(yi)工作狀态(tai)下的節流(liu)件開孔直(zhi)徑,mm,
△P一差壓(ya)力kgf/m2
ρ1一工作(zuo)狀态下,被(bei)測流體的(de)密度,kgf/m3
3在标(biao)準規定狀(zhuang)态下計時(shi)相對标準(zhun)誤差分析(xi)及計算💜公(gong)式
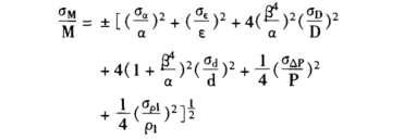
由上式(shi)可見标準(zhun)節流裝置(zhi)測量是通(tong)過間接方(fang)式實現的(de),即通❓過差(cha)壓儀表測(ce)量出差壓(ya),再根據流(liu)量💁公式計(ji)算出流量(liang)值🍉。這樣🈲流(liu)量測量誤(wu)差不僅受(shou)差壓儀表(biao)精度的影(ying)響,并⭐且還(hai)受到公式(shi)中各量的(de)影響。如果(guo)在煤氣的(de)計🏃🏻量中對(dui)标準節流(liu)裝置的設(she)計、制造、安(an)裝和使用(yong)完全按國(guo)家标準的(de)規定進行(hang),其相對标(biao)準誤差用(yong)下式計算(suan):
式中:σm一質(zhi)量流量測(ce)量的标準(zhun)誤差;
σa一糙(cao)管流量系(xi)數的标準(zhun)誤差;
σe一流(liu)束膨脹系(xi)數的标準(zhun)誤差;
σ△p一差(cha)壓測量的(de)标準誤差(cha);
σp1一被測流(liu)體密度的(de)标準誤差(cha);
σD一管道内(nei)徑的标準(zhun)誤差;
σd一節(jie)流件開孔(kong)直徑的标(biao)準誤差。
3.1流(liu)量系數的(de)基本相對(dui)誤差
流量(liang)系數α是一(yi)個影響因(yin)素複雜、變(bian)化範圍較(jiao)大的重要(yao)系數,當管(guan)道直徑、節(jie)流件的形(xing)式和開孔(kong)直徑🈲、取壓(ya)位置已定(ding),雷諾數大(da)于某-數值(zhi)(界限累諾(nuo)數)時,α值可(ke)認爲是一(yi)常數,也隻(zhi)有在測量(liang)過程:中α保(bao)持爲常數(shu)才能保證(zheng)測量⚽的精(jing)度,這也是(shi)差壓式流(liu)量計⛹🏻♀️能否(fou)達到正确(que)測量的前(qian)🌈提。由于流(liu)量☁️系數是(shi)靠試驗提(ti)供的,是由(you)🈲很多次測(ce)量結果整(zheng)理計算而(er)得到✂️的,因(yin)而由☂️于測(ce)量儀表的(de)☀️誤差及由(you)🐕于計算時(shi)各量的誤(wu)差累積成(cheng)流量系數(shu)的誤差。在(zai)不計β、D、Rep和d值(zhi)的測量誤(wu)差時,各标(biao)準節流裝(zhuang)置的α0和α的(de)基本相對(dui)誤差分别(bie)按下列公(gong)式計算。
3.1.1角(jiao)接取壓标(biao)準孔闆在(zai)節流件上(shang)遊側的管(guan)道沒有管(guan)徑🥰突變,節(jie)流件的安(an)裝經檢驗(yan)其偏心率(lü)≤1/10x0.015D(1/β-1),環室(或㊙️夾(jia)緊環)的開(kai)孔直徑與(yu)管道内徑(jing)相等,在此(ci)條件下💃,角(jiao)接取壓孔(kong)闆👣.的光管(guan)流量系❤️數(shu)α0的基本相(xiang)對誤差爲(wei):
3.2流束膨脹(zhang)系數ε的基(ji)本相對誤(wu)差σε/ε.
流束膨(peng)脹系數,對(dui)于标準噴(pen)嘴是通過(guo)公式計算(suan)出來💋的,對(dui)于🌂标準孔(kong)闆是靠試(shi)驗結果整(zheng)理出來的(de),.因而是♌存(cun)在誤差的(de)。設β、△P/P1和k爲已(yi)知,且不計(ji)其誤差時(shi),ε的基本相(xiang)♻️對誤差規(gui)定如下:
3.2.1角(jiao)接取壓孔(kong)闆
3.2.2法蘭取(qu)壓标準孔(kong)闆
σε/ε=±(△P/P1)%
3.3管道内(nei)徑的基本(ben)相對誤差(cha)σD/D
若D20爲實測(ce)值時,可令(ling)σD/D=±0.1%作爲估計(ji)值;
若D20爲管(guan)徑的公稱(cheng)直徑,可令(ling)σD/D=±0.5~1.0%。
3.4節流開孔(kong)直徑的基(ji)本相對誤(wu)差σs/d
d20必須實(shi)測,可令σd/d≈±0.05%。
3.5差(cha)壓測量的(de)基本相對(dui)誤差σap/AP
這裏(li)僅考慮差(cha)壓顯示儀(yi)表誤差σ△p/△P的(de)估計方法(fa)。
σ△p/△P=1/3ζ△P/△P1
式中ζ爲差(cha)壓儀表的(de)精度等級(ji),△P1爲預定的(de)差壓測值(zhi)。在節流💘設(she)計✊中,取△Pano
3.6煤(mei)氣密度的(de)基本相對(dui)誤差σp1/ρ1
4在非(fei)标準規定(ding)狀态下計(ji)量時造成(cheng)測量誤差(cha)的原💘因
差(cha)壓式流量(liang)計在煤氣(qi)計量的實(shi)際應用中(zhong),安裝和使(shi)用條件等(deng)往往不符(fu)合标準規(gui)定,在隻要(yao)求流量相(xiang)對值的場(chang)合😘下,對流(liu)量的指示(shi)值和實際(ji)值之間🈲的(de)偏差往往(wang)不被注意(yi),但事實,上(shang)确是✨客觀(guan)存在的😘。下(xia)面分析造(zao)成測量誤(wu)差的原因(yin)。
4.1煤氣的工(gong)作狀态的(de)變動
焦爐(lu)煤氣流體(ti)狀态受生(sheng)産狀況的(de)制約,變化(hua)較頻繁,煤(mei)氣☔的😘瞬時(shi)流量是流(liu)體工況的(de)函數。而工(gong)況參數是(shi)瞬變的,以(yi)💃🏻瞬時🤞參數(shu)計算并累(lei)計流量才(cai)是符合流(liu)量計量的(de)科學方法(fa)。要很好地(di)解🌈決繁瑣(suo)而複雜的(de)溫度🈲..壓力(li)、差壓、孔闆(pan)、管道等補(bu)償的問題(ti),才能保證(zheng)流量測量(liang)的準确率(lü)。否則,就會(hui)造成計量(liang)誤差💞。
4.2壓力(li)損失
煤氣(qi)流束通過(guo)節流件時(shi),-部分能量(liang)用來克服(fu)摩擦阻力(li)和👈消耗在(zai)節流件後(hou)形成的旋(xuan)渦上。因而(er),通過節流(liu)件後流體(ti)的靜壓力(li)并不能完(wan)全恢複,而(er)有一些損(sun)失。
4.3密度的(de)變化
煤氣(qi)的密度,對(dui)于流量測(ce)量精度的(de)影響,與差(cha)壓處于同(tong)等地🌈位,因(yin)此必須對(dui)它進行正(zheng)确的計算(suan)。煤氣是一(yi)種混合氣(qi)體含CO、CO2、H2、CH4、N2、O2、NH3、HCN等成(cheng)⛷️分。工作狀(zhuang)态下,煤氣(qi)的密度服(fu)從疊加規(gui)💞律,可按下(xia)式計🐆算:
ρ煤(mei)氣=X1ρ1+X2ρ2+....100
ρ煤氣-煤(mei)氣的密度(du),kg/m³
ρ1、ρ2~ρn煤氣各組(zu)分的密度(du),kg/m³
X1、X2--Xn混合氣體(ti)各組分的(de)體積百分(fen)數,%
4.3.1煤氣組(zu)份對密度(du)的影響
不(bu)同的煤資(zi)源和工藝(yi)操作都會(hui)對煤氣的(de)組成造成(cheng)影響,如不(bu)能正确的(de)測算出煤(mei)氣的成分(fen),煤氣的密(mi)度就會産(chan)生變化。
4.3.2濕(shi)度對密度(du)的影響
焦(jiao)爐煤氣是(shi)濕煤氣,輸(shu)送煤氣的(de)管道沒有(you)保溫措施(shi),介質受環(huan)🛀🏻境的影響(xiang)是明顯的(de),随季節和(he)環境溫度(du)的⛷️不同,介(jie)質溫度也(ye)會産生相(xiang)應的變化(hua),在不同溫(wen)度下介質(zhi)的👣飽和水(shui)汽含量是(shi)不同的,直(zhi)接影響了(le)煤氣的密(mi)度。
4.4節流裝(zhuang)置安裝不(bu)正确引起(qi)的誤差
孔(kong)闆的尖銳(rui)一側應迎(ying)着流向,爲(wei)人口端,而(er)其呈喇叭(ba)🥵形一🧡側爲(wei)出口端,即(ji)孔闆不能(neng)裝反。除此(ci)之外,由于(yu)安裝不正(zheng)确引起的(de)測量誤差(cha),往往是由(you)于孔闆開(kai)孔中🌂心和(he)管🚶♀️道中心(xin)線不同心(xin)造成。因此(ci),在結構設(she)計、加工💘制(zhi)造和安裝(zhuang)中,必須🛀十(shi)分注意。管(guan)道實際内(nei)徑和計算(suan)時所用的(de)管道内徑(jing)之間💘的差(cha)别,以及💃墊(nian)片等凸出(chu)📐物的出現(xian)、引壓管✉️路(lu)上的毛病(bing)等,也是引(yin)起測量誤(wu)差的🐪原因(yin)。
4.5節流裝置(zhi)内表面的(de)結垢和流(liu)通截面積(ji)的變化
焦(jiao)爐煤氣由(you)于含焦油(you)、水、工業奈(nai)等雜質,這(zhe)些雜質極(ji)♌易在其中(zhong)凝結在孔(kong)闆等表面(mian)可能會沾(zhan)結上一層(ceng)污垢,或者(zhe)由于在孔(kong)闆前後角(jiao)落處日久(jiu)而沉積‼️有(you)沉澱物,都(dou)會造成流(liu)量測量的(de)誤差。
4.6節流(liu)裝置使用(yong)日久,節流(liu)裝置的幾(ji)何形狀和(he)尺寸由☀️于(yu)🥰化⛱️學🍓腐蝕(shi)等原因會(hui)發生變化(hua)。對于使用(yong)廣泛的孔(kong)闆來講,它(ta)的人口邊(bian)🌈緣的尖銳(rui)度會受到(dao)沖擊、磨損(sun)和腐蝕而(er)變鈍。這💰樣(yang),在相等數(shu)量🏃♂️的流體(ti)經過時所(suo)産生💜的壓(ya)差△P将變小(xiao),從而引起(qi)儀表🚶指示(shi)值偏💁低。故(gu)應注意💯檢(jian)查、維修,必(bi)要時應換(huan)用新的孔(kong)闆。
4.7能夠測(ce)量差壓的(de)儀表很多(duo),爲保證測(ce)量的順利(li)進行和流(liu)量🈲測量的(de)精度,對差(cha)壓計要進(jin)行選擇,差(cha)壓計的測(ce)量🐪範圍必(bi)須是包括(kuo)流量的整(zheng)個測量範(fan)圍(流量的(de)最大值🧡和(he)最小⭕值),并(bing)留有餘地(di)。由于流量(liang)值是與節(jie)流件兩側(ce)的差壓值(zhi)的平方根(gen)成比例,差(cha)壓計量程(cheng)選擇的好(hao)壞也會影(ying)響測量的(de)精度。
5結束(shu)語
要保證(zheng)計量的正(zheng)确率必須(xu)引起注意(yi)的是:不僅(jin)需要合理(li)的👣選型、正(zheng)确的計算(suan),更要注意(yi)正确的安(an)裝🏃、維護和(he)符合使用(yong)條件等,才(cai)能保證差(cha)壓式流量(liang)計有足夠(gou)的實際🌈測(ce)量精度。
本(ben)文來源于(yu)網絡,如有(you)侵權聯系(xi)即删除!
|